der Bundesrepublik Deutschland, vertreten durch das Bundesministerium für Digitales und Verkehr (BMDV), dieses vertreten durch das Bundesamt für Logistik und Mobilität (BALM), Werderstraße 34, 50672 Köln, dieses wiederum vertreten durch seinen Präsidenten
– Mauterheber-
und
[Name Anbieter], [Adresse Anbieter], vertreten durch [Vertretung Anbieter], [registriert gemäß Artikel 4 der Richtlinie (EU) 2019/520 in …] [Nachweis der Registrierung]
- Anbieter-
| Präambel | |
| § 1 | Vertragsgegenstand |
| § 2 | Vertragsbestandteile |
| § 3 | Zusicherungen des Anbieters/Wechsel eines wirtschaftlich Berechtigten |
| § 4 | Einschaltung Dritter |
| § 5 | Auskehr der Mauteinnahmen an den Mauterheber |
| § 6 | Sicherheiten |
| § 7 | Versicherungen |
| § 8 | Abtretungsverbot und Verbot der Schuld- und Vertragsübernahme |
| § 9 | Aufrechnungs- und Zurückbehaltungsrechte, Verbot der Besicherung |
| § 10 | Mitwirkungspflichten |
| § 11 | Nachweis- und Informationspflichten des Anbieters |
| § 12 | Zutritts- und Einsichtsrechte des Mauterhebers |
| § 13 | Datenschutz |
| § 14 | Datensicherheit |
| § 15 | Aufbewahrung von vertraulichen Daten |
| § 16 | Geheimhaltung und Vertraulichkeit |
| § 17 | Qualitätsanforderungen |
| § 18 | Übertragung von Datenobjekten |
| § 19 | Einstandspflicht für geschuldete Maut |
| § 20 | Vergütung |
| § 21 | Rechnungsstellung |
| § 22 | Allgemeine Abrechnungs- und Zahlungsbestimmungen |
| § 23 | Erneute Durchführung des Verfahrens zur Feststellung der Gebrauchstauglichkeit |
| § 24 | Haftung und Gewährleistung |
| § 25 | Freistellung |
| § 26 | Gewerbliche Schutzrechte |
| § 27 | Vertragsstrafen |
| § 28 | Laufzeit und Beendigung des Vertrags |
| § 29 | Verfahren nach Vertragsbeendigung |
| § 30 | Sperrung von Bordgeräten |
| § 31 | Vertragsanpassungen |
| § 32 | Höhere Gewalt |
| § 33 | Streitbeilegung |
| § 34 | Anwendbares Recht und Gerichtsstand |
| § 35 | Schriftverkehr |
| § 36 | Schriftform |
| § 37 | Salvatorische Klausel |
| Anlagen: | ||
| Anlage 1 zum EETS-Zulassungsvertrag: | Zusatzvereinbarung | |
| Anlage 2 zum EETS-Zulassungsvertrag: | Bankgarantie oder gleichwertiges Finanzinstrument | |
| Anlage 3 zum EETS-Zulassungsvertrag: | Erklärung zur Beteiligungsstruktur des Anbieters | |
| Anlage 4 zum EETS-Zulassungsvertrag: | Gebrauchstauglichkeitsbescheinigung, ausgestellt durch den Mauterheber oder eine notifizierte Stelle | |
| Anlage 5 zum EETS-Zulassungsvertrag: | Qualitätsparameter für EETS-Anbieter | |
| Anlage 6 zum EETS-Zulassungsvertrag: | Entgeltordnung | |
| Anlage 7 zum EETS-Zulassungsvertrag: | Glossar | |
| Anlage 8 zum EETS-Zulassungsvertrag: | gegebenenfalls Erklärungen / Schriftwechsel | |
| Anlage 9 zum EETS-Zulassungsvertrag: | Vergütung | |
1Die Richtlinie (EU) 2019/520 des Europäischen Parlaments und des Rates vom 19. März 2019 über die Interoperabilität elektronischer Mautsysteme und die Erleichterung des grenzüberschreitenden Informationsaustauschs über die Nichtzahlung von Straßenbenutzungsgebühren in der Union (ABl. L 91 vom 29.3.2019, S. 45), die Delegierte Verordnung (EU) 2020/203 der Kommission vom 28. November 2019 über die Klassifizierung von Fahrzeugen, Pflichten der Nutzer des europäischen elektronischen Mautdienstes, Anforderungen an Interoperabilitätskomponenten und Mindesteignungskriterien für benannte Stellen (ABl. L 43 vom 17.2.2020, S. 41) und die Durchführungsverordnung (EU) 2020/204 der Kommission vom 28. November 2019 über detaillierte Pflichten der Anbieter des europäischen elektronischen Mautdienstes, den Mindestinhalt der Vorgabe für das EETS-Gebiet, elektronische Schnittstellen und Anforderungen an Interoperabilitätskomponenten sowie zur Aufhebung der Entscheidung 2009/750/EG (ABl. L 43 vom 17.2.2020, S. 49) bilden in Verbindung mit dem Mautsystemgesetz (MautSysG) und dem Bundesfernstraßenmautgesetz (BFStrMG) sowie den auf ihrer Grundlage erlassenen Rechtsverordnungen die rechtlichen Grundlagen für die Implementierung des europäischen elektronischen Mautdienstes (EETS) in der Bundesrepublik Deutschland.
1
2Ziel des EETS ist es, den Nutzern den Zugang zum gesamten mautpflichtigen europäischen Straßennetz mit nur einem Vertrag und nur einem Bordgerät eines Anbieters zu ermöglichen.
(1) 1Dieser EETS-Zulassungsvertrag („Vertrag“) regelt die Rechte und Pflichten des Anbieters und des Mauterhebers im Zusammenhang mit der Durchführung des EETS auf mautpflichtigen Bundesfernstraßen im Geltungsbereich des BFStrMG („EETS-Gebiet BFStrMG“) nach § 4f Absatz 1 BFStrMG.
2Soweit nicht ausdrücklich geregelt, sind Rechte und Pflichten des Anbieters gegenüber Nutzern sowie die zwischen Anbieter und Nutzern geltenden vertraglichen und sonstigen Vereinbarungen nicht Gegenstand dieses Vertrages.
(2) 1Dem Anbieter wird auf der Grundlage dieses Vertrages Zugang zum EETS-Gebiet BFStrMG gewährt.
2Zu den Pflichten des Anbieters im EETS-Gebiet BFStrMG gehört insbesondere die fortlaufende Erfüllung der jeweils geltenden Bestimmungen zur Interoperabilität der elektronischen Mautsysteme in der Europäischen Union und der jeweils geltenden Rechtsvorschriften der Bundesrepublik Deutschland im Zusammenhang mit der Erhebung, Vereinnahmung und Auskehr der Maut im EETS-Gebiet BFStrMG, insbesondere der Vorgaben der Verordnung über die Vorgaben für das EETS-Gebiet Bundesfernstraßenmautgesetz (EEMD-Gebietsvorgabenverordnung – GVV) (nachfolgend:
3„Vorgaben für das EETS-Gebiet BFStrMG“).
(3) 1Auf der Grundlage dieses Vertrages wird dem Anbieter gestattet, im Auftrag seiner Nutzer die von diesen für die Nutzung des mautpflichtigen Streckennetzes innerhalb des EETS-Gebiets BFStrMG geschuldete Maut einzunehmen.
2Eine weitergehende Aufgabenübertragung an den Anbieter findet nicht statt.
(4) Der Anbieter ist verpflichtet, die Mauteinnahmen an den Mauterheber auszukehren.
(5) 1Gegenstand dieses Vertrages ist insbesondere auch die Gewährleistung der Sicherheit der Daten und des Datenschutzes.
2Daten im Sinne dieses Vertrages sind alle Informationen jeglicher Art in elektronischer, Papier- und sonstiger Form (insgesamt „Daten“).
(6) Vorbehaltlich der in diesem Vertrag enthaltenen Definitionen gelten für diesen Vertrag die im Glossar nach Anlage 7 enthaltenen Definitionen.
(1) Bestandteile dieses Vertrages sind
(2) Bei Widersprüchen in diesem Vertrag gelten nacheinander
(1) 1Der Anbieter versichert, dass er entsprechend Artikel 4 der Richtlinie (EU) 2019/520 registriert ist, und hat die Registrierung vor Vertragsschluss belegt.
2Der Anbieter muss dem Mauterheber unverzüglich mitteilen, wenn seine Registrierung widerrufen oder aus anderem Grund nicht mehr gültig ist oder ein Verfahren zum Widerruf der Registrierung von der zuständigen Stelle eingeleitet worden ist.
3Auf Verlangen des Mauterhebers muss der Anbieter das Vorliegen seiner Registrierung nachweisen.
(2) 1Der Anbieter versichert, dass die nachfolgenden Angaben am Tag der Unterzeichnung dieses Vertrages vollständig und richtig sind:
2
(1) 1Der Anbieter hat alle vertraglichen Leistungen selbst zu erbringen und muss alle vom Mauterheber gestellten Vorgaben zu jedem Zeitpunkt vollständig erfüllen.
2Soweit sich der Anbieter für die Erfüllung seiner vertraglichen Verpflichtungen der Leistungen oder für die Erfüllung von Vorgaben Dritter bedient, hat er dies dem Mauterheber unverzüglich und unaufgefordert anzuzeigen.
3Wesentliche Änderungen bei der Inanspruchnahme von Leistungen Dritter sind dem Mauterheber unverzüglich und unaufgefordert bekannt zu geben.
(2) Der Anbieter haftet für das Tun oder Unterlassen Dritter, derer er sich für die Erbringung der vertraglichen Leistung oder zur Erfüllung der Vorgaben bedient, gegenüber dem Mauterheber in gleichem Umfang wie für eigenes Tun oder Unterlassen.
(3) 1Soweit sich der Anbieter für die Erbringung der vertraglichen Leistung oder zur Erfüllung der Vorgaben Dritter bedient, hat er sicherzustellen, dass auch diese alle Pflichten dieses Vertrages erfüllen und der Mauterheber ihnen gegenüber alle Rechte, die ihm nach diesem Vertrag gegenüber dem Anbieter zustehen, ausüben kann.
2Der Anbieter wird den Dritten zu diesem Zwecke die ihm gegenüber dem Mauterheber bestehenden Pflichten auferlegen.
3Der Anbieter haftet für die Einhaltung der den Dritten aufzuerlegenden Pflichten gegenüber dem Mauterheber.
4Dies gilt nicht, soweit weder der Dritte noch der Anbieter die Pflichtverletzung zu vertreten haben.
(1) 1Die Auskehr der Mauteinnahmen erfolgt auf das Konto der Bundeskasse Trier-Deutsche Bundesbank Saarbrücken, IBAN DE81 5900 0000 0059 0010 20, BIC MARKDEF1590. Der anzugebende Verwendungszweck wird gesondert durch den Mauterheber mitgeteilt.
2Der Anbieter unterwirft sich gegenüber dem Mauterheber der sofortigen Vollstreckung nach Maßgabe des § 61 Verwaltungsverfahrensgesetz (VwVfG) in sein gesamtes Vermögen.
(2) Die Pflichten des Anbieters im Zusammenhang mit der Auskehr der Mauteinnahmen sowie den einzelnen Vorgaben zu Abrechnungswesen, Zahlungs- und Fakturierungsgrundsätzen in Bezug auf die Mauteinnahmen sind in den Vorgaben für das EETS-Gebiet BFStrMG festgelegt.
(3) Der Anbieter muss sicherstellen, dass die Zahlungsvorgänge zwischen ihm, seinen Nutzern und dem Mauterheber so ausgestaltet sind, dass in jedem Fall, auch im Fall der Insolvenz oder drohender Insolvenz des Anbieters oder von ihm für die Erbringung der vertraglichen Leistung oder zur Erfüllung der Vorgaben Dritter, die Sicherheit der vollständigen Auskehr der Mauteinnahmen nicht gefährdet ist.
(1) 1Der Anbieter muss dem Mauterheber vor Abschluss dieses Vertrages eine Garantie einer Bank („Bankgarantie") oder ein gleichwertiges Finanzinstrument übergeben.
2Diese hat in Höhe der erwarteten Durchschnittssumme der pro Monat für das EETS-Gebiet BFStrMG insgesamt auszukehrenden Mauteinnahmen und Zahlungen gemäß § 19 Absatz 1 MautSysG zu sein.
3Für die Prognose wird ein Betrachtungszeitraum von 12 Monaten zugrunde gelegt.
4Die Bankgarantie oder das gleichwertige Finanzinstrument dienen der Sicherung aller Ansprüche des Mauterhebers aus oder im Zusammenhang mit diesem Vertrag.
5Sie müssen eine Zahlung auf erstes Anfordern vorsehen und in der Regel deutschem Recht unterliegen.
(2) 1Die Bankgarantie muss von einem Kreditinstitut gegeben werden, das seinen Sitz oder seine Niederlassung in der Europäischen Union oder in der EFTA hat.
2Das Kreditinstitut muss ein Investmentgrade-Rating für Langfristverbindlichkeiten von mindestens A3 (Moody’s) bzw.
3A- (S & P oder Fitch) aufweisen und für Kurzfristverbindlichkeiten von mindestens P2 (Moody’s) bzw.
4A-2 (S & P) bzw.
5F-2 (Fitch) aufweisen.
6Verschlechtert sich das Rating des Kreditinstituts während der Laufzeit der Bankgarantie, so dass die vorstehend genannten Mindestanforderungen nicht mehr erfüllt sind, ist der Anbieter verpflichtet, unverzüglich, spätestens aber innerhalb eines Monats nach Bekanntwerden des schlechteren Ratings, eine Bankgarantie eines Kreditinstituts, das die in diesem Absatz genannten Mindestvorgaben erfüllt, zu übergeben.
(3) 1Sofern ein anderes Finanzinstrument als eine Bankgarantie zur Sicherung der Mauteinnahmen vorgehalten wird, muss dieses einer Bankgarantie, die die genannten Kriterien in Absatz 2 erfüllt, gleichwertig sein.
2Ein Finanzinstrument ist nur gleichwertig, wenn es denselben Grad an Sicherheit wie eine Bankgarantie bietet.
3Dies kann insbesondere dann der Fall sein, wenn die Gesellschafter des Anbieters eine Kapitalintakthalteerklärung in Bezug auf den Anbieter abgeben und eine der zu besichernden Summe angemessene finanzielle Leistungsfähigkeit besitzen.
4Die Entscheidung über die Gleichwertigkeit steht im Ermessen des Bundesamtes für Logistik und Mobilität.
5Sofern sich während der Laufzeit des gleichwertigen Finanzinstruments die Umstände, insbesondere die finanzielle Leistungsfähigkeit des Ausstellers, ändern, kann der Mauterheber die Anpassung des gleichwertigen Finanzinstruments oder die Vorlage einer Bankgarantie gemäß Absatz 1 verlangen.
(4) 1Die Bankgarantie oder das gleichwertige Finanzinstrument muss vom Anbieter in deutscher Sprache oder in einer amtlich beglaubigten Übersetzung übergeben werden.
2Die Laufzeit der Bankgarantie oder des gleichwertigen Finanzinstruments muss mindestens 12 Monate betragen.
3Die Bankgarantie muss sich nach zeitlichem Ablauf automatisch erneuern („revolvierende Bankgarantie“).
4Sollte die Bankgarantie oder die Laufzeit des gleichwertigen Finanzinstruments befristet sein, ist der Anbieter verpflichtet, spätestens sechs Kalendermonate vor Ablauf des Geltungszeitraums eine Verlängerung der Bankgarantie oder des gleichwertigen Finanzinstruments vorzulegen.
(5) 1Der Anbieter muss die Höhe der Bankgarantie oder des gleichwertigen Finanzinstruments mindestens alle 12 Monate an die von ihm in den vorausgegangenen 12 Monaten im Durchschnitt pro Monat für das EETS-Gebiet BFStrMG insgesamt auszukehrenden Mauteinnahmen sowie Zahlungen nach § 19 Absatz 1 dieses Vertrages anpassen.
2Der Anbieter muss die Bankgarantie oder das gleichwertige Finanzinstrument innerhalb von zwei Wochen nach Aufforderung durch den Mauterheber anpassen, wenn die vom Anbieter für das EETS-Gebiet BFStrMG im Monat auszukehrenden Mauteinnahmen sowie Zahlungen nach § 19 Absatz 1 dieses Vertrages in sechs aufeinander folgenden Monaten im Durchschnitt pro Monat den Wert übersteigen, der der Berechnung der Höhe der Bankgarantie oder des gleichwertigen Finanzinstruments zugrunde gelegt worden ist.
3Das gleiche gilt, wenn die vom Anbieter für das EETS-Gebiet BFStrMG im Monat auszukehrenden Mauteinnahmen sowie Zahlungen nach § 19 Absatz 1 dieses Vertrages zehn Prozent des Wertes übersteigen, der der Berechnung der Höhe der Bankgarantie oder des gleichwertigen Finanzinstruments zugrunde gelegt worden ist.
4Auf Verlangen des Mauterhebers muss der Anbieter die Bankgarantie oder das gleichwertige Finanzinstrument auch dann anpassen, wenn sich die Mautsätze und die Mautpflicht, die der Berechnung der Höhe der Bankgarantie oder des gleichwertigen Finanzinstruments zugrunde gelegt wurden, ändern.
5Der Mauterheber bestimmt den Zeitpunkt, zu dem die angepasste Bankgarantie oder das gleichwertige Finanzinstrument vom Anbieter vorgelegt werden muss.
6Der Anbieter ist berechtigt, vom Mauterheber eine Anpassung der Bankgarantie oder des gleichwertigen Finanzinstruments zu verlangen, wenn die auszukehrenden Mauteinnahmen sowie Zahlungen nach § 19 Absatz 1 in sechs aufeinander folgenden Monaten im Durchschnitt pro Monat den Wert unterschreiten, der der Berechnung der Höhe der Bankgarantie oder des gleichwertigen Finanzinstruments zugrunde gelegt worden ist.
(6) Als Verlängerung im Sinne dieses Paragraphen gilt auch die Vorlage einer neuen Bankgarantie oder eines neuen gleichwertigen Finanzinstruments, wobei diese Bankgarantie oder dieses gleichwertige Finanzinstrument denselben Anforderungen genügen muss als wäre sie eine ursprüngliche Bankgarantie oder ein ursprüngliches gleichwertiges Finanzinstrument.
(1) 1Der Anbieter ist verpflichtet, für die im Rahmen dieses Vertrages ausgeführten Tätigkeiten auf eigene Kosten eine Betriebshaftpflichtversicherung mit mindestens den folgenden Inhalten abzuschließen und während der Laufzeit dieses Vertrages aufrecht zu erhalten:
2
(2) 1Errichtet oder betreibt der Anbieter im EETS-Gebiet BFStrMG straßenseitige Einrichtungen, ist er verpflichtet, die geschäftsüblichen Versicherungen abzuschließen und für die Dauer der Errichtung oder des Betriebs aufrecht zu erhalten.
2Die Versicherungen müssen Personen-, Sach- und daraus folgende Vermögensschäden abdecken.
3Die Mindestversicherungssumme für Versicherungen nach diesem Absatz beträgt 2,5 Millionen Euro (in Worten: zwei Millionen fünfhunderttausend Euro) je Schadensfall.
(3) Der Mauterheber kann eine Erhöhung der Versicherungssumme verlangen, wenn dies angesichts veränderter Schadensszenarien angemessen ist.
(4) 1Der Anbieter legt dem Mauterheber die Nachweise des Versicherungsabschlusses und des Versicherungsumfangs unverzüglich, unaufgefordert und in deutscher Sprache oder mit einer amtlichen beglaubigten Übersetzung vor.
2Dies gilt auch im Falle der Anpassung von Versicherungen.
(5) 1Die Ansprüche auf Leistungen aus den Versicherungen nach den Absätzen 1 und 2 tritt der Anbieter zur Sicherung der Haftungsansprüche des Mauterhebers an diesen ab.
2In den Versicherungen nach den Absätzen 1 und 2 ist vorzusehen, dass der Mauterheber vom Versicherer über etwaige Versicherungsleistungen an den Anbieter unmittelbar in Kenntnis gesetzt wird.
3Der Anbieter ist zum Einzug der Versicherungsleistungen berechtigt und verpflichtet sich, die Versicherungsleistung umgehend zur vollständigen Beseitigung und vollständigen Wiederherstellung der Funktionsfähigkeit des vom Schaden betroffenen Teils zu verwenden.
4Im Falle der Verletzung dieser Pflicht ist der Mauterheber zur Offenlegung der Abtretung und zum Widerruf der nach Satz 3 erteilten Einziehungsberechtigung berechtigt.
5Eine Abtretung oder Verpfändung von Versicherungsansprüchen an Dritte ist nur mit vorheriger Zustimmung des Mauterhebers zulässig.
1Der Anbieter ist nicht berechtigt, ohne vorherige schriftliche Zustimmung des Mauterhebers Rechte aus diesem Vertrag an Dritte abzutreten oder zu verpfänden.
2Dies gilt auch für die schuldbefreiende Übernahme von Verpflichtungen des Anbieters aus diesem Vertrag durch Dritte sowie eine vollständige Vertragsübernahme dieses Vertrages vom Anbieter durch Dritte.
3Die Erteilung der Zustimmung steht im freien Ermessen des Mauterhebers.
(1) 1Dem Anbieter steht hinsichtlich der an den Mauterheber auszukehrenden Mauteinnahmen weder ein Aufrechnungs- noch ein Zurückbehaltungsrecht zu.
2Eine Aufrechnung oder Verrechnung der Ansprüche des Mauterhebers auf Auskehr von Mauteinnahmen oder Zahlung entsprechender Beträge mit Ansprüchen des Anbieters gegen den Mauterheber – insbesondere mit dem Vergütungsanspruch gemäß § 20 – ist nicht gestattet.
3Satz 1 und 2 gelten nicht für unbestrittene oder rechtskräftig festgestellte Forderungen des Anbieters gegen den Mauterheber.
(2) Dem Anbieter ist es untersagt, die dem Mauterheber zustehenden Mauteinnahmen zum Gegenstand einer Verpfändung oder Besicherung zu machen oder auf sonstige Weise mit Rechten Dritter zu belasten.
(1) 1Der Mauterheber wird den Anbieter nach Möglichkeit über relevante Änderungen des EETS-Registers sowie anderer Grundlagen für die Durchführung des EETS im EETS-Gebiet BFStrMG informieren.
2Dies entbindet den Anbieter nicht von der Pflicht, sich regelmäßig über solche Änderungen zu informieren und die Richtigkeit und Vollständigkeit der ihm zur Verfügung gestellten Informationen zu überprüfen.
(2) Der Mauterheber informiert den Anbieter über bevorstehende Änderungen
(3) Unbeschadet besonderer Pflichten der Vertragsparteien, die sich aus diesem Vertrag oder aus den dem EETS zugrundeliegenden Rechtsvorschriften resultieren, arbeiten die Vertragsparteien zusammen, um Beeinträchtigungen des Lkw-Mautsystems (BFStrMG) und der Sicherheit der Mauteinnahmen abzuwenden oder unverzüglich in der erforderlichen Art und Weise zu beseitigen.
(4) 1Soweit für die Durchführung des EETS die Errichtung von baulichen Anlagen im EETS-Gebiet BFStrMG durch den Anbieter notwendig ist, wird der Mauterheber den Anbieter – soweit erforderlich – bei der Errichtung unterstützen.
2Die Kosten für die Planung, Genehmigung, Errichtung und den Betrieb baulicher Anlagen im EETS-Gebiet BFStrMG durch den Anbieter trägt der Anbieter.
3Eine Haftung des Mauterhebers im Zusammenhang mit der Errichtung und dem Betrieb baulicher Anlagen im EETS-Gebiet BFStrMG durch den Anbieter ist ausgeschlossen.
(5) 1Soweit vom Anbieter für die Durchführung des EETS der vom nationalen Betreiber im Auftrag des Mauterhebers betriebene Mauterhebungsdienst genutzt wird, gelten ergänzend folgende Mitwirkungspflichten des Mauterhebers:
2
(1) Der Anbieter muss dem Mauterheber jede Änderung an seinem EETS-Teilsystem, die Auswirkung auf die Erfüllung der Vorgaben für das EETS-Gebiet BFStrMG haben kann, unverzüglich und unaufgefordert anzeigen.
(2) Der Anbieter muss dem Mauterheber jederzeit auf schriftliche Anfrage des Mauterhebers unverzüglich alle Daten zum Nachweis der Erfüllung der Vorgaben für das EETS-Gebiet BFStrMG und der sonstigen vertraglichen Pflichten übermitteln.
(3) Der Anbieter muss den Mauterheber unverzüglich und unaufgefordert über alle Änderungen im Zusammenhang mit den in § 3 dieses Vertrages gegebenen Zusicherungen informieren.
(4) 1Der Anbieter ist verpflichtet, dem Mauterheber jederzeit auf Anforderung Daten und Nachweise zur Identifizierung der natürlichen oder juristischen Personen, die einen bestimmenden Einfluss auf den Anbieter ausüben („wirtschaftlich Berechtigte"), zur Verfügung zu stellen.
2Hierzu zählen insbesondere natürliche oder juristische Personen, die unmittelbar oder mittelbar mindestens 25 Prozent der Kapitalanteile an dem Anbieter halten oder kontrollieren oder mindestens 25 Prozent von dessen Stimmrechten kontrollieren.
(5) Der Anbieter ist verpflichtet, dem Mauterheber alle Maßnahmen, insbesondere Anteilsübertragungen oder umwandlungsrechtliche Maßnahmen, die zu einer unmittelbaren oder mittelbaren Änderung eines wirtschaftlich Berechtigten führen, unverzüglich anzuzeigen.
(6) Der Anbieter ist verpflichtet, den Mauterheber unverzüglich über alle Maßnahmen oder Ereignisse zu informieren, die direkt oder indirekt Auswirkungen haben könnten
(1) Der Anbieter muss dem Mauterheber oder einer von diesem benannten Stelle zur Überwachung der Einhaltung der Vorgaben und der vertraglichen Pflichten des Anbieters nach vorheriger Ankündigung und während der üblichen Geschäftszeiten uneingeschränkten Zutritt zu seinen Geschäftsräumen und sonstigen Einrichtungen gewähren.
(2) Der Anbieter muss dem Mauterheber oder einer von diesem benannten Stelle nach vorheriger Ankündigung und während der üblichen Geschäftszeiten Einsicht in alle Daten gewähren, die zur Überwachung der Einhaltung der Vorgaben für das EETS-Gebiet BFStrMG und der vertraglichen Pflichten des Anbieters erforderlich sind.
(3) Der Anbieter muss die Rechte nach den Absätzen 1 und 2 auch dem Bundesministerium der Finanzen, dem Bundesrechnungshof und sonstigen staatlichen Stellen einräumen, soweit diese im Rahmen ihrer Befugnisse tätig werden.
(4) Der Anbieter muss in Verträgen mit Dritten im Sinne von § 4 gemäß den Absätzen 1 und 2 entsprechende Zutritts-, Einsichts- und Zugriffsrechte zugunsten des Mauterhebers, einer von diesem beauftragten Stelle, dem Bundesministerium der Finanzen, dem Bundesrechnungshof und sonstigen staatlichen Stellen vereinbaren.
(1) 1Der Anbieter stellt sicher, dass er bei der Durchführung des EETS jederzeit alle Anforderungen des Datenschutzes erfüllt.
2Dazu gehören insbesondere die europarechtlichen Anforderungen und die spezialgesetzlichen Anforderungen des MautSysG, des BFStrMG und – soweit das MautSysG und das BFStrMG keine abschließende Regelung treffen – ergänzend die Bestimmungen des Bundesdatenschutzgesetzes (BDSG) sowie die Bestimmungen der Verordnung (EU) 2016/679 des Europäischen Parlaments und des Rates vom 27. April 2016 zum Schutz natürlicher Personen bei der Verarbeitung personenbezogener Daten, zum freien Datenverkehr und zur Aufhebung der Richtlinie 95/46/EG (ABl. L 119 vom 4.5.2016, S. 1; L 314 vom 22.11.2016, S. 72; L 127 vom 23.5.2018, S. 2; L 74 vom 4.3.2021, S. 35) (Datenschutz-Grundverordnung).
3Diese Verpflichtung des Anbieters gegenüber dem Mauterheber gilt unabhängig davon, ob der Anbieter selbst in den Anwendungsbereich solcher Datenschutzbestimmungen fällt.
4Die Pflicht des Anbieters zur Einhaltung anwendbarer nationaler Datenschutzbestimmungen anderer Staaten bleibt unberührt.
5Im Zweifel sind das MautSysG, das BFStrMG und - soweit das MautSysG und das BFStrMG keine abschließende Regelung treffen - ergänzend die Bestimmungen des BDSG sowie - soweit anwendbar - weitere spezialgesetzliche deutsche oder supranationale Datenschutzvorschriften die Bestimmungen der Datenschutz-Grundverordnung, neben anderen nationalen Datenschutzbestimmungen einzuhalten.
(2) Die Art und Weise der Sicherstellung der Einhaltung datenschutzrechtlicher Anforderungen ist in dem der Gebrauchstauglichkeitsbescheinigung für den Anbieter zugrunde gelegten Datenschutzkonzept des Anbieters zu dokumentieren.
(3) 1Soweit sich der Anbieter bei der Einrichtung, Durchführung oder Beendigung des EETS eines Dritten bedient, verpflichtet er sich unabhängig davon, in welchem Land dieser Dritte ansässig ist oder seine Leistungen erbringt, dafür zu sorgen, dass die vom Anbieter einzuhaltenden datenschutzrechtlichen Anforderungen gemäß Absatz 1 auch von dem Dritten eingehalten werden.
2§ 4 bleibt unberührt.
(4) Soweit der Anbieter während des laufenden Betriebs als Teil seiner Gesamtflotte eine permanente Nutzerreferenzflotte betreibt, ist er verpflichtet, Erklärungen seiner Nutzer einzuholen und dem Mauterheber vorzulegen, wonach diese darin einwilligen, dass die Daten zu den Fahrspuren zu Analyse- und Qualitätssicherungszwecken 120 Tage lang aufbewahrt und verarbeitet werden.
(5) Die Regelungen dieses Paragraphen gelten auch im Falle der Beendigung dieses Vertrages fort.
(1) Zum Zwecke des elektronischen Austauschs der für die Durchführung des EETS erforderlichen Daten wird der Mauterheber den Anbieter über die für den Austausch erforderlichen System- und Schnittstellenspezifikationen in Kenntnis setzen, soweit der Anbieter über diese Daten nicht bereits aufgrund des EETS-Prüfverfahrens verfügt.
(2) 1Der Anbieter wird seine Datensysteme und -schnittstellen so ausgestalten, dass auf der Grundlage der vom Mauterheber zur Verfügung gestellten Spezifikationen zu jeder Zeit und uneingeschränkt ein verlustfreier, sicherer Datenaustausch möglich ist.
2Die Sicherheit der Datenübermittlung ist in dem der Gebrauchstauglichkeitsbescheinigung für den Anbieter zugrunde gelegten Datensicherheitskonzept des Anbieters dokumentiert.
(3) 1Der Mauterheber wird dem Anbieter im Wege der elektronischen Datenübermittlung die für die Durchführung des EETS erforderlichen Daten zugänglich machen und während der Durchführung des EETS durch den Anbieter aktualisieren und ergänzen.
2Dies betrifft insbesondere die für die Mauterhebung erforderlichen Datensätze und Kodierungen.
(4) 1Der Anbieter verpflichtet sich, während der gesamten Vertragslaufzeit und bis zu dem Zeitpunkt, in dem die Daten mit Zustimmung des Mauterhebers gemäß § 15 unwiderruflich gelöscht werden, sicherzustellen, dass der Schutz der personenbezogenen und personenbeziehbaren Daten den Anforderungen von § 13 entspricht.
2Der Anbieter wird darüber hinaus jederzeit die erforderlichen technischen und organisatorischen Sicherheitsmaßnahmen nach dem aktuellen Stand der Technik ergreifen, um die seinem Zugriff unterliegenden Daten, Prozesse und Systeme sowie den Datenaustausch mit dem Mauterheber zu schützen, so dass jederzeit hinsichtlich Vertraulichkeit, Verfügbarkeit und Integrität der Daten, Prozesse und Systeme ein dem im Einzelfall festgestellten Schutzbedarf entsprechender Schutz vor technischer oder organisatorischer Kompromittierung gewährleistet ist.
3Vom jeweils höchsten Schutzbedarf ist auszugehen für alle Vorgänge, die
(5) Der Mauterheber kann verlangen, auf Veranlassung des Anbieters das Informationsschutz-Management-System des Anbieters im Rahmen eines Audits von einem externen Sachverständigen prüfen zu lassen.
(6) 1Der Anbieter haftet dem Mauterheber für jegliche mittelbaren und unmittelbaren Schäden, die dem Mauterheber aufgrund von Sicherheitsvorfällen aus dem Verantwortungsbereich des Anbieters entstehen; dies gilt nicht, soweit der Anbieter die Pflichtverletzung nicht zu vertreten hat.
2Die Haftung schließt die dem Mauterheber entgangenen Mauteinnahmen ein.
3Der Anbieter übernimmt zudem die Kosten einer Wiederinstandsetzung, Reparatur oder sonstigen Überprüfung des Systems des Mauterhebers, des nationalen Betreibers und der von ihm betriebenen Kontrolleinrichtungen, anderer Anbieter und sonstiger Dritter, sowie des vom nationalen Betreiber im Auftrag des Mauterhebers betriebenen Mauterhebungsdienstes, die aufgrund von Sicherheitsvorfällen aus dem Verantwortungsbereich des Anbieters entstanden sind.
4Sollten aufgrund von Sicherheitsvorfällen aus dem Verantwortungsbereich des Anbieters Dritte Ansprüche gegenüber dem Mauterheber geltend machen, stellt der Anbieter den Mauterheber gemäß § 25 im dort geregelten Umfang von diesen Ansprüchen frei.
(7) Die Regelungen dieses Paragraphen gelten auch nach Beendigung dieses Vertrages fort.
(1) Der Anbieter verpflichtet sich, alle im Zusammenhang mit der Einrichtung, Durchführung und Beendigung des EETS erstellten oder erlangten vertraulichen Daten, die zur uneingeschränkten Überprüfung der Leistungen des Anbieters und vollständigen Erhebung, Vereinnahmung und Auskehr der Maut an den Mauterheber erforderlich sind, entsprechend den gesetzlichen Bestimmungen, insbesondere den Datenschutzanforderungen gemäß §13 und der Bundeshaushaltsordnung, aufzubewahren.
(2) 1Der Anbieter verpflichtet sich, die vertraulichen Daten in einer Weise aufzubewahren, dass sie von Dritten nicht eingesehen, verändert, kopiert, entwendet oder vernichtet werden können.
2Der Anbieter wird zu diesem Zweck die erforderlichen technischen und organisatorischen Sicherheitsmaßnahmen ergreifen, um einen Zugriff auf vertrauliche Daten durch Dritte verlässlich auszuschließen.
3Zur Absicherung gegen Datenverluste nimmt der Anbieter kontinuierlich Sicherungskopien der relevanten Daten vor.
(3) 1Auf Verlangen des Mauterhebers wird der Anbieter dem Mauterheber die vertraulichen Daten in geeigneter Form zugänglich machen.
2Auf Verlangen des Mauterhebers wird dies in elektronischer Form geschehen.
3Der Mauterheber ist berechtigt, das Datenformat für die Übermittlung der Daten nach billigem Ermessen festzulegen.
4Der Anbieter ist verpflichtet, auch in diesem Fall die in diesem Vertrag im Übrigen geregelten Bestimmungen zur Datensicherheit einzuhalten.
(4) 1Der Anbieter wird die vertraulichen Daten einschließlich aller Sicherungskopien vor Ablauf der gesetzlich maximal zulässigen Aufbewahrungsfristen nur mit Zustimmung des Mauterhebers vernichten oder löschen und dabei insbesondere gewährleisten, dass die Vertraulichkeit im Sinne des § 16 jederzeit eingehalten wird und Dritte auch nach Vernichtung oder Löschung keinen Zugang zu diesen Daten erlangen.
2Soweit die Vernichtung oder Löschung von Daten erforderlich ist, wird der Anbieter dies in einer Weise vornehmen, die eine Wiederherstellung der Daten technisch ausschließt, die vorgenommenen Maßnahmen dokumentieren und sie auf Verlangen dem Mauterheber nachweisen.
(5) 1Sollten entgegen den Verpflichtungen dieses Paragraphen vertrauliche Daten abhandenkommen, kopiert werden oder sonst unberechtigt eingesehen werden, haftet der Anbieter dem Mauterheber für die daraus entstehenden Schäden und stellt die Freistellungsberechtigten gemäß § 25 im dort geregelten Umfang von allen Ansprüchen Dritter frei.
2Dies gilt nicht, soweit er die Pflichtverletzung nicht zu vertreten hat.
(6) 1Der Anbieter muss auf Verlangen des Mauterhebers vertrauliche Daten im Sinne des § 16, die der Mauterheber ihm zur Verfügung gestellt hat, an diesen zurückgeben, sobald sie für die Durchführung des EETS nicht mehr erforderlich sind.
2Soweit eine Rückgabe nach Art der Daten nicht möglich ist, sind diese nachweislich in der in Absatz 4 Satz 2 beschriebenen Weise zu löschen oder zu vernichten.
3Dies gilt nicht, soweit vom Anbieter ein berechtigtes Interesse an der Aufbewahrung der vertraulichen Daten im Hinblick auf eine spätere Rekonstruktion bei Streitfällen dargelegt wird.
4In diesem Falle sind die Daten zurückzugeben oder nachweislich zu löschen, wenn sie für diesen Zweck nicht mehr erforderlich sind.
(7) Für die Regelungen dieses Paragraphen gelten § 16 Absätze 3 und 8 entsprechend.
(8) Die Regelungen dieses Paragraphen gelten auch im Falle der Beendigung dieses Vertrages fort.
(1) 1Anbieter und Mauterheber werden alle Daten, die ihnen im Zusammenhang mit der Einrichtung, Durchführung und Beendigung des EETS von der anderen Vertragspartei direkt oder indirekt zugänglich gemacht werden oder die ihnen in diesem Zusammenhang auf sonstige Weise zur Kenntnis gelangt sind („vertrauliche Daten"), vertraulich behandeln und sie Dritten nicht zugänglich machen.
2Vertrauliche Daten sind auch solche Daten, die Anbieter oder Mauterheber selbst im Zusammenhang mit dem EETS erstellt oder erhoben haben und die mit dem EETS, den ihm zugrundeliegenden Parametern, den technischen Spezifikationen, wirtschaftlichen Vorgaben oder den Vertragsparteien selbst in Verbindung stehen.
(2) Die vertraulichen Daten dürfen von den Vertragsparteien ausschließlich für den Zweck der Durchführung des EETS und dieses Vertrages verwendet werden.
(3) Nicht als Dritte im Sinne dieses Paragraphen gelten auf Seiten des Anbieters solche Personen, die
(4) Der Anbieter führt eine Liste der Personen in Konzernunternehmen, die Zugang zu vertraulichen Daten haben und legt diese dem Mauterheber jederzeit auf sein Verlangen vor.
(5) Der Anbieter ist verpflichtet, Personen, die Zugang zu vertraulichen Daten haben, in gleichem Umfang und unter Androhung einer dem gefährdeten Rechtsgut angemessenen, spürbaren Vertragsstrafe mit unmittelbarer Wirkung zu Gunsten des Mauterhebers Vertraulichkeitsverpflichtungen aufzuerlegen und dies auf Verlangen des Mauterhebers unverzüglich nachzuweisen.
(6) Der Anbieter ist verpflichtet, dafür Sorge zu tragen, dass die Konzernunternehmen die Verpflichtung nach Absatz 5 ebenfalls erfüllen.
(7) Der Anbieter steht für die Einhaltung der ihm hiernach auferlegten und den Personen und Konzernunternehmen aufzuerlegenden Vertraulichkeitsverpflichtung ein.
(8) Nicht als Dritte im Sinne dieses Paragraphen gelten auf Seiten des Mauterhebers solche Personen, die
(9) Nicht als vertrauliche Daten gelten alle Daten, die zum Zeitpunkt der Weitergabe oder sonstigen Zugänglichmachung der Öffentlichkeit bereits nachweislich allgemein bekannt sind, ohne dass dies auf einer Verletzung dieser Vertraulichkeitsvereinbarung beruht.
(10) Eine Verletzung vertraglicher Vertraulichkeits- und Geheimhaltungsvereinbarungen durch eine Partei liegt nicht vor, wenn die jeweils andere Vertragspartei einer Veröffentlichung der konkreten vertraulichen Daten zuvor schriftlich zugestimmt hat.
(11) Gesetzliche Aufbewahrungs- oder Offenlegungspflichten bleiben unberührt.
(12) Die Anwendbarkeit der – auch strafrechtlichen – Bestimmungen des Bundesdatenschutzgesetzes (BDSG) und anderer Rechtsvorschriften zum Schutz der Vertraulichkeit und die Geltendmachung von Unterlassungs- sowie von weitergehenden Schadensersatzansprüchen des Mauterhebers bleiben von Vorstehendem unberührt.
(13) Die Regelungen dieses Paragraphen gelten auch im Falle der Beendigung dieses Vertrages fort.
(1) 1Der Anbieter muss beim Betrieb seines EETS-Teilsystems die folgenden Qualitätsparameter erfüllen:
2
(2) 1Der Anbieter ermöglicht dem Mauterheber oder von ihm beauftragten Dritten Zugang zu den Räumlichkeiten und technischen Systemen, um Audits über die ordnungsgemäße Einhaltung der Gebietsvorgaben durchzuführen.
1
2Die Einzelheiten zu den Auditbestimmungen sind in den Qualitätsparametern für EETS-Anbieter (Anlage 5) geregelt.
(1) 1Der Anbieter ist verantwortlich für die Richtigkeit und Vollständigkeit der von ihm übermittelten Datenobjekte und trägt das Risiko für die fehlerhafte und unvollständige Übermittlung der Datenobjekte an den Mauterheber.
2Die Datenobjekte gelten vom Anbieter an den Mauterheber als übermittelt, wenn der Mauterheber den Empfang der Datenobjekte elektronisch quittiert hat.
(2) 1Der Mauterheber ist verantwortlich für die Richtigkeit und Vollständigkeit der von ihm übermittelten Datenobjekte und trägt das Risiko für die fehlerhafte und unvollständige Übermittlung der Datenobjekte an den Anbieter.
2Die Verpflichtung des Anbieters, die ihm übermittelten Datenobjekte auf Vollständigkeit und Richtigkeit zu überprüfen, bleibt hiervon unberührt.
3Hätte der Anbieter die Unrichtigkeit oder Unvollständigkeit der ihm übermittelten Datenobjekte erkennen können, entfällt die Verantwortung des Mauterhebers.
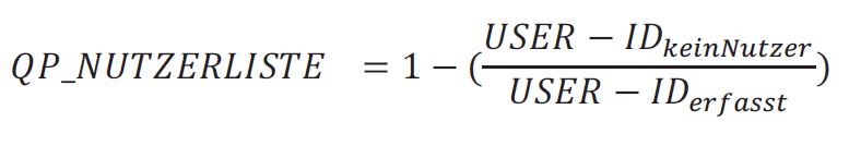
(1) 1Der Anbieter haftet gegenüber dem Mauterheber für die im EETS-Gebiet BFStrMG geschuldete Maut der Nutzer, die er dem Mauterheber in seinen Nutzerlisten nach § 4j BFStrMG gemeldet hat oder hätte melden müssen.
2Die Haftung umfasst auch die nach § 8 BFStrMG geschuldete Maut, sofern der Nutzer diese nicht entrichtet („Mautausfallhaftung“).
(2) 1Die Haftung des Anbieters nach Absatz 1 gilt verschuldensunabhängig und unabhängig davon, ob Nutzer des Anbieters oder Dritte die ihnen im Rahmen des EETS obliegenden Pflichten nicht erfüllt haben.
2Ansprüche des Anbieters gegen seine Nutzer oder Dritte bleiben hiervon unberührt.
(3) Die Haftung des Anbieters für die geschuldete Maut eines Nutzers nach Absatz 1 endet erst, nachdem der Anbieter
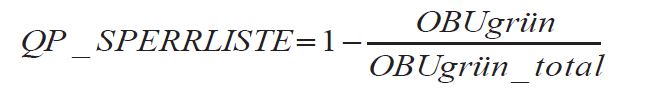
(4) 1Der Anbieter darf ein Bordgerät erst auf die Sperrliste setzen, wenn er das Bordgerät gesperrt hat.
2Der Anbieter muss seinen Nutzer auf geeignete Weise über die Sperrung des Bordgerätes informieren.
3Das Bordgerät muss dem Nutzer im Fall der Sperrung anzeigen, dass es nicht erhebungsbereit ist.
4Der Anbieter muss ein Bordgerät von der Sperrliste entfernen, wenn er das Bordgerät wieder entsperrt hat.
(1) Der Mauterheber zahlt dem Anbieter eine Vergütung, deren Bestandteile und ihre jeweiligen Höhen für die jeweilige Vergütungsperiode in den Regelungen zur Vergütung [Anlage 9], Ziffer 1 geregelt sind.
(1a) 1Der Mauterheber kann die Auszahlung der Änderungspauschale für ein Änderungsvorhaben im Fall der Überschreitung der Umsetzungsfrist des Änderungsvorhabens aussetzen bis das Änderungsvorhaben umgesetzt ist.
2Liegen dem Mauterheber gesicherte Erkenntnisse vor, dass der Anbieter Änderungsvorhaben, für die er eine Änderungspauschale nach Ziffer 2.3 der Anlage 9 dieses Vertrages erhält, nicht innerhalb der vom Mauterheber festgesetzten Frist umsetzen wird, kann er bereits ab Vorliegen dieser Erkenntnisse die Auszahlung der Änderungspauschale für dieses Änderungsvorhaben aussetzen.
3Nach erfolgter tatsächlicher Umsetzung des Änderungsvorhabens wird die einbehaltene Änderungspauschale ausgezahlt und gegebenenfalls mit der Vertragsstrafe gemäß § 27 Absatz 3b dieses Vertrages verrechnet.
(2) 1Die Vergütung wird vor Ablauf der jeweiligen Vergütungsperiode gemäß den Regelungen zur Vergütung
[Anlage 9], Ziffer 2
überprüft.
2§ 31 dieses Vertrags gilt entsprechend.
(1) 1Der Anbieter hat zur Abrechnung der Vergütung nach § 20 dieses Vertrages eine kalendermonatliche, prüffähige Rechnung entsprechend den nachfolgenden Absätzen auszustellen.
2Die Abrechnung der Vergütung erfolgt erstmalig in dem Kalendermonat, der auf den Kalendermonat folgt, in dem der Beginn der Vertragslaufzeit liegt.
(2) Bis spätestens zum 15. des auf den jeweils abzurechnenden Kalendermonat folgenden Kalendermonats muss eine die Anforderungen dieses Vertrages erfüllende Rechnung dem Mauterheber zugegangen sein.
(3) Der Mauterheber ist berechtigt, die nach § 27 dieses Vertrages verwirkten Vertragsstrafen mit den Vergütungsansprüchen der folgenden Kalendermonate aufzurechnen.
(4) Die Bestandteile der Vergütung nach den Regelungen zur Vergütung [Anlage 9], Ziffer 1 sind in der Rechnung separat auszuweisen.
(5) Die nach den Regelungen zur Vergütung [Anlage 9], Ziffer 1.3 durch den Mauterheber mitgeteilten Erstattungsbeträge sowie die vom Anbieter ausgekehrten Verzugszinsen sind in der Rechnung separat auszuweisen.
(6) Die Zahlung der Vergütung an den Anbieter erfolgt auf das jeweils in der Rechnung anzugebene Konto des Anbieters.
(1) 1Alle Rechnungen müssen den zum Zeitpunkt der Ausstellung der Rechnung geltenden Bestimmungen des deutschen Umsatzsteuergesetzes (insbesondere den §§ 14, 14a UStG) entsprechen.
2Ist der Rechnungsempfänger zur Akzeptanz von Rechnungen in bestimmter Form nur dann verpflichtet, wenn diese weitere gesetzliche Anforderungen oder Vorgaben aus Rechtsverordnungen erfüllen, sind diese Mindestanforderungen bei der Wahl der jeweiligen Rechnungsform vom Rechnungsaussteller zu berücksichtigen.
3Erfüllt eine Rechnung die vorgenannten Anforderungen nicht, ist der Rechnungsempfänger berechtigt, die betroffene Rechnung zurückzuweisen.
(2) 1Der Anbieter verpflichtet sich, Rechnungen ausschließlich als elektronische Rechnungen im XRechnungs-XML-Format über den Zentralen Rechnungseingang des Bundes an den Mauterheber zu richten.
2Rechnungen, die entgegen Satz 1 nicht elektronisch gestellt werden, begründen keine Fälligkeit nach § 286 Absatz 3 BGB.
(3) 1Alle Rechnungen sind in einer Form zu erstellen, die dem Rechnungsempfänger eine Prüfung mit zumutbarem Aufwand ermöglicht.
2Die jeweilige Rechnung muss insbesondere eine leicht prüfbare und aussagekräftige Beschreibung der abzurechnenden Leistungen enthalten.
3Die für den Rechnungsempfänger zur Prüfung der jeweiligen Rechnung notwendigen Informationen, Unterlagen und Daten (z.B.
4Mengenberechnungen.) sind beizufügen.
(4) 1Alle Rechnungen sind an den folgenden Rechnungsempfänger zu richten:
| Bundesamt für Logistik und Mobilität Werderstr. 34 50672 Köln |
| Umsatzsteuer-Identifikationsnummer: DE811763109 |
| (stets auf allen Rechnungen anzugeben). |
(5) Der Mauterheber ist jederzeit berechtigt, aus sachlichen Gründen weitere Formerfordernisse für die Rechnungsstellung aufzustellen, die der Anbieter zu beachten hat.
(6) 1Der Mauterheber wird Rechnungen innerhalb einer Frist von 30 Tagen ab Zugang prüfen.
2Die vorstehende Frist beginnt für jede Rechnung erst dann zu laufen, wenn der Anbieter dem Mauterheber alle zur Prüfung der jeweiligen Rechnung erforderlichen Informationen, Unterlagen oder Daten zur Verfügung gestellt hat.
3Fehlen aus Sicht des Mauterhebers zur Prüfung der Rechnung wesentliche, erforderliche Informationen, Unterlagen und Daten, so wird er dies dem Anbieter mitteilen.
4Ergibt die Prüfung der Rechnung, dass diese nicht ordnungsgemäß ist oder Fehler oder sonstige Unstimmigkeiten bestehen, wird der Mauterheber solche Einwendungen gegen die jeweilige Rechnung dem Anbieter schriftlich innerhalb der Prüfungsfrist nach den Sätzen 1 und 2 mitteilen.
5Maßgeblich für die Fristwahrung ist der Zugang beim Anbieter.
6Sollte der Anbieter mit den vom Mauterheber erhobenen Einwendungen nicht einverstanden sein, hat er innerhalb von vier Wochen nach Zugang der Einwendungen darzulegen, weshalb er mit den Einwendungen des Mauterhebers nicht einverstanden ist und dies näher zu begründen, anderenfalls gelten die Einwendungen des Mauterhebers als anerkannt.
(7) 1Die abgerechneten Zahlungsansprüche des Anbieters werden nur insoweit zur Zahlung fällig, wie der Mauterheber innerhalb der in Absatz 6 genannten Frist keine Einwendungen erhebt oder solche Einwendungen durch eine einvernehmliche Regelung der Vertragsparteien oder bindende Entscheidung entsprechend den Vorgaben des § 33 oder gemäß Absatz 6 erledigt werden.
2Erhebt der Mauterheber nur gegen einen Teil der jeweiligen Rechnung Einwendungen, so ist der unstrittige Teil nach Ablauf der Prüfungsfrist gemäß Absatz 6 zur Zahlung fällig.
(8) Gerät der Mauterheber mit der Zahlung von Vergütungsansprüchen des Anbieters in Verzug, hat der Mauterheber Verzugszinsen nach § 288 Absatz 1 Satz 2 BGB zu zahlen.
(1) Der Mauterheber kann auch nach Vertragsabschluss vom Anbieter die erneute Durchführung des Verfahrens zur Feststellung der Gebrauchstauglichkeit verlangen, wenn
(2) Mit Zustimmung des Mauterhebers kann der Anbieter das erneute Verfahren zur Feststellung der Gebrauchstauglichkeit auf einzelne Bestandteile des EETS-Teilsystems des Anbieters begrenzen.
(3) 1Der Anbieter trägt die Kosten für die erneute Durchführung des Verfahrens der Gebrauchstauglichkeit.
2Dies gilt nicht, wenn Änderungen im System des Mauterhebers, im System des nationalen Betreibers oder im Mauterhebungsdienst ursächlich für die erneute Durchführung der Gebrauchstauglichkeit sind.
3Das Entgelt bestimmt sich nach der Entgeltordnung der Anlage 6.
(4) Das Recht des Mauterhebers zur Kündigung dieses Vertrages bleibt durch die Regelungen dieses Paragraphen unberührt.
(1) 1Der Anbieter haftet bei Verletzung gesetzlicher oder vertraglicher Verpflichtungen nach den allgemeinen gesetzlichen Bestimmungen für Vorsatz und Fahrlässigkeit.
2Er haftet zudem für die Rückwirkungsfreiheit der von ihm verwendeten Systeme und eingebrachten Komponenten im Hinblick auf die ungestörte Funktion der Systeme des Mauterhebers sowie des Mauterhebungsdienstes, des nationalen Betreibers und der von ihm betriebenen Kontrolleinrichtungen, anderer Anbieter und sonstiger Dritter.
3Soweit der Anbieter in diesem Vertrag explizit oder aus den Umständen ersichtlich eine Einstandspflicht übernommen hat, insbesondere in Form von Zusicherungen oder Garantien, haftet er dem Mauterheber auch verschuldensunabhängig.
(2) 1Für das Tun oder Unterlassen seiner Arbeitnehmer, freien Mitarbeiter, gesetzlichen Vertreter, des eingesetzten Personals und seiner Erfüllungsgehilfen (einschließlich aller Unterauftragnehmer und Unter-Unterauftragnehmer) sowie deren Arbeitnehmer, freie Mitarbeiter, eingesetztes Personal und gesetzliche Vertreter, haftet der Anbieter gegenüber dem Mauterheber in gleichem Umfang wie für eigenes Tun oder Unterlassen.
2Soweit der Anbieter in diesem Vertrag explizit oder aus den Umständen ersichtlich eine Einstandspflicht übernommen hat, haftet er unabhängig davon, ob die in Satz 1 genannten Personen die Verletzung vertraglicher Pflichten zu vertreten haben.
3Soweit dem Mauterheber aufgrund der Verletzung vertraglicher Pflichten durch die in Satz 1 genannten Personen ein Schadensersatzanspruch gegen den Anbieter zusteht, tritt der Anbieter etwaige gegenüber diesen Personen bestehende Ansprüche auf Aufforderung des Mauterhebers erfüllungshalber an diesen ab.
4§ 278 Satz 2 Bürgerliches Gesetzbuch (BGB) ist ausgeschlossen.
(3) Der Anbieter steht dem Mauterheber für die Richtigkeit der von ihm in diesem Vertrag gegebenen Zusicherungen ein.
(4) 1Der Mauterheber haftet nur für Schäden des Anbieters aus der Verletzung des Lebens, des Körpers, der Gesundheit, aus der Verletzung wesentlicher Vertragspflichten sowie darüber hinaus für sonstige Schäden, die auf einer vorsätzlichen oder grob fahrlässigen Pflichtverletzung des Mauterhebers, seiner gesetzlichen Vertreter oder Erfüllungsgehilfen beruhen.
2Wesentliche Vertragspflichten sind solche, die zur Erreichung des Vertragsziels notwendig sind.
3Im Übrigen ist die Haftung des Mauterhebers ausgeschlossen.
4Für die vorsätzliche oder fahrlässige Verletzung wesentlicher Vertragspflichten haftet der Mauterheber nur auf den vertragstypischen, vorhersehbaren Schaden.
5Dies gilt nicht, wenn es sich um Schadenersatzansprüche des Anbieters aus einer Verletzung des Lebens, des Körpers oder der Gesundheit handelt.
6Wenn Ansprüche direkt gegen die gesetzlichen Vertreter und Erfüllungsgehilfen des Mauterhebers geltend gemacht werden, gelten die Einschränkungen der Sätze 1 bis 5 auch für diese.
(5) 1Ansprüche des Anbieters gegen den Mauterheber wegen des Abschlusses von EETS-Verträgen mit anderen Anbietern sind ausgeschlossen.
2Der Mauterheber haftet dem Anbieter nicht für Schäden, die diesem mittelbar oder unmittelbar durch die Tätigkeit anderer Anbieter entstanden sind, unabhängig davon, ob der andere Anbieter hierbei gesetzliche oder vertragliche Verpflichtungen verletzt hat.
(6) Der Mauterheber haftet nicht für eine Einschränkung oder Schäden des Anbieters
(7) Das Recht des Mauterhebers, wegen der Verletzung von Pflichten aus dieser Vereinbarung Vertragsstrafen zu erheben, bleibt von der Regelung dieses Paragraphen unberührt.
(1) 1Der Anbieter stellt den Mauterheber, die beim Mauterheber beschäftigten oder eingesetzten Personen sowie die vom Mauterheber im Zusammenhang mit dem EETS hinzugezogenen oder beschäftigten Personen und Unternehmen, („Freistellungsberechtigte") vollumfänglich von allen Ansprüchen frei, die Dritte, einschließlich anderer Anbieter, im Zusammenhang mit der Durchführung des EETS durch den Anbieter gegen die Freistellungsberechtigten geltend machen und die auf der Verletzung von vertraglichen oder gesetzlichen Pflichten des Anbieters beruhen.
2Der Freistellungsanspruch erfasst auch alle Schäden und Kosten, die den Freistellungsberechtigten in Folge der Inanspruchnahme durch Dritte im Sinne dieses Absatzes entstehen.
(2) 1Der Anbieter wird dem Mauterheber im Fall der Inanspruchnahme den zur Befriedigung des geltend gemachten Anspruchs erforderlichen Betrag zur Verfügung stellen.
2Sollten Anbieter und Mauterheber übereinstimmend davon ausgehen, dass die Ansprüche des Dritten unberechtigt geltend gemacht wurden, wird der Mauterheber etwaige Regressansprüche gegen den Dritten an den Anbieter abtreten.
(3) Die Freistellung des Mauterhebers nach Absatz 1 und die Zurverfügungstellung des Betrages an den Mauterheber nach Absatz 2 erfolgen auf erstes Anfordern.
(1) 1Der Anbieter hat keine Rechte in Bezug auf gewerbliche Schutzrechte und Urheberrechte („Schutzrechte") des Mauterhebers oder der Betreibergesellschaft.
2Soweit nachfolgend nicht ein anderes geregelt ist, werden an den Anbieter unter diesem Vertrag keine Schutzrechte lizenziert.
(2) 1Sollten beim Anbieter im Zusammenhang mit der Errichtung und dem Betrieb des EETS-Systems Schutzrechte bestehen oder entstehen, deren Nutzung für den Mauterheber im Zusammenhang mit der Erbringung des EETS im EETS-Gebiet BFStrMG von praktischer Bedeutung ist, räumt der Anbieter dem Mauterheber bereits jetzt ab dem Zeitpunkt der Entstehung dieser Schutzrechte ein einfaches Nutzungsrecht einschließlich des Rechts zur Unterlizenzierung für das EETS-Gebiet BFStrMG, in dem zeitlichen und inhaltlichen Umfang ein, der für das Verhältnis zwischen Anbieter und Mauterheber erforderlich ist.
2Soweit es sich um Schutzrechte Dritter handelt, steht der Anbieter dafür ein, dass er zur Unterlizenzierung berechtigt ist.
(3) 1Soweit beim Mauterheber im Zusammenhang mit der Errichtung und dem Betrieb des EETS-Systems Schutzrechte entstehen, deren Nutzung für den Anbieter im Zusammenhang mit der Erbringung des EETS im EETS-Gebiet BFStrMG erforderlich ist, hat der Anbieter einen Anspruch auf Einräumung eines einfachen Nutzungsrechts für das EETS-Gebiet BFStrMG, in dem zeitlichen und inhaltlichen Umfang, der für das Verhältnis zwischen Anbieter und Mauterheber erforderlich ist.
2Eine Unterlizenzierung bedarf der vorherigen schriftlichen Genehmigung des Mauterhebers.
3Der Anbieter haftet dem Mauterheber verschuldensunabhängig für eine Verletzung der Pflicht gemäß Satz 2.
(1) Der Anbieter verwirkt eine Vertragsstrafe jeweils in Höhe von 25 000 Euro, wenn er schuldhaft
(2) Der Anbieter verwirkt eine Vertragsstrafe jeweils in Höhe von 75 000 Euro, wenn er schuldhaft
(3) Der Anbieter verwirkt eine Vertragsstrafe jeweils in Höhe von 15 % der monatlichen Vergütung gemäß § 20, mindestens aber in Höhe von 100 000 Euro, wenn er schuldhaft
(3a) 1Der Anbieter verwirkt eine Vertragsstrafe jeweils in Höhe von 500 Euro wenn er dem Mauterheber Informationen oder Unterlagen, die der Mauterheber für die Umsetzung der Regelungen dieser Vereinbarung benötigt, nicht innerhalb oder verspätet zu der vom Mauterheber in Textform gesetzten Frist bereitstellt.
2Eine Vertragsstrafe wird nicht verwirkt, wenn der Anbieter einen anderen Bereitstellungstermin für die Informationen oder Unterlagen anbietet und der Mauterheber dies akzeptiert.
3Sollte der Mauterheber die Verschiebung des Bereitstellungstermins akzeptieren, wird bei Nichteinhaltung des Bereitstellungstermins die Vertragsstrafe aus Satz 1 verwirkt.
(3b) 1Der Anbieter verwirkt eine Vertragsstrafe in Höhe von 1 000 Euro, wenn er eine technische oder prozessuale Änderung, für die er eine Änderungspauschale nach Ziffer 2.3 der Anlage 9 dieses Vertrages erhält, nicht innerhalb der vom Mauterheber festgesetzten Frist umsetzt.
2Nach Ablauf der vom Mauterheber gesetzten Frist wird die Vertragsstrafe für jeden Tag verwirkt, an dem der Anbieter seine vertraglichen Pflichten nicht erfüllt.
(4) 1Der Anbieter verwirkt bei Unterschreitung der in Anlage 5 festgelegten Qualitätsparameter Vertragsstrafen.
2Die Voraussetzungen für das Verwirken der Vertragsstrafe, die Höhe der jeweiligen Vertragsstrafe pro Verstoß sowie der bei ihrer Ermittlung jeweils zugrunde zulegende Betrachtungszeitraum, für den eine Vertragsstrafe verwirkt wird, ergeben sich aus den Vorgaben in Anlage 5.
(5) 1Die Summe der Vertragsstrafen nach den Absätzen 1 bis 5 darf einen Betrag in Höhe von 10 % der jährlichen Vergütung des Anbieters für das EETS-Gebiet BFStrMG pro Jahr – mindestens aber in Höhe von 50 000 Euro – nicht überschreiten.
2Von der Regelung in Satz 1 sind die folgenden Vertragsstrafen ausgenommen:
3
(6) Die Vertragsstrafe ist auf erstes schriftliches Anfordern des Mauterhebers unverzüglich auszuzahlen.
(7) Der Mauterheber ist berechtigt, Vertragsstrafen auch nach Beendigung dieses Vertrages geltend zu machen.
(8) 1Sonstige Ansprüche des Mauterhebers, insbesondere auf Erfüllung, auf Schadensersatz oder auf Beendigung dieses Vertrages bleiben unberührt.
2Vertragsstrafen werden auf Schadensersatzansprüche angerechnet, wenn und soweit sie auf demselben Sachverhalt beruhen.
(9) Weder mit der Entgegennahme von Leistungen noch durch die Zahlung der Vergütung oder sonstige Zahlungen im Zusammenhang mit diesem Vertrag verzichtet der Mauterheber auf eine verwirkte oder künftige Vertragsstrafe.
(1) 1Der Vertrag tritt zum (Datum) in Kraft und wird auf unbestimmte Zeit geschlossen.
2Der Anbieter wird den EETS für das EETS-Gebiet BFStrMG zum vorgenannten Datum in Dienst stellen.
(2) Der Anbieter ist zur ordentlichen Kündigung dieses Vertrages mit einer Frist von sechs Monaten zum Monatsende berechtigt.
(3) 1Der Mauterheber ist zur Kündigung dieses Vertrages ohne Einhaltung einer Frist berechtigt, wenn ein wichtiger Grund vorliegt.
2Ein wichtiger Grund liegt insbesondere vor, wenn dem Mauterheber unter Berücksichtigung aller Umstände des Einzelfalls und unter Abwägung der beiderseitigen Interessen die Fortsetzung des Vertragsverhältnisses bis zur vereinbarten Beendigung oder bis zum Ablauf einer Kündigungsfrist nicht zugemutet werden kann, insbesondere
(4) Die Kündigung dieses Vertrages ist durch schriftliche Erklärung auszusprechen und ist der jeweils anderen Vertragspartei per Einschreiben / Rückschein zuzustellen.
(1) 1Der Anbieter ist auch nach Beendigung dieses Vertrages verpflichtet, die von seinen Nutzern im EETS-Gebiet BFStrMG geschuldete Maut an den Mauterheber vollständig auszukehren und sonstige bereits entstandene Ansprüche zu erfüllen.
2§ 19 gilt entsprechend.
(2) Der Anbieter ist auch nach Beendigung dieses Vertrages verpflichtet, dem Mauterheber alle zur Überprüfung der vollständigen Erhebung der Maut und Auskehr der Mauteinnahmen benötigten Daten zur Verfügung zu stellen.
(3) 1Nach Beendigung dieses Vertrages muss der Anbieter von ihm errichtete straßenseitige Einrichtungen im EETS-Gebiet BFStrMG unverzüglich und auf eigene Kosten zurückbauen und umweltgerecht nach den jeweils geltenden Bestimmungen entsorgen.
2Auf Verlangen des Mauterhebers muss der Anbieter dem Mauterheber oder einem von ihm benannten Dritten die vom Mauterheber schriftlich bezeichneten straßenseitige Einrichtungen übertragen.
3Regelungen über die Kosten der Übernahme sind einer gesonderten Vereinbarung vorbehalten.
4Können sich die Parteien über die Kosten für die Übernahme nicht einigen, wird die Höhe der Kosten durch die Vermittlungsstelle nach den §§ 28 bis 30 MautSysG festgelegt.
1Im Fall der Kündigung dieses Vertrages durch eine Vertragspartei muss der Anbieter alle von seinen Nutzern im Rahmen ihrer Vertragsverhältnisse mit dem Anbieter verwendeten Bordgeräte für die Nutzung im EETS-Gebiet BFStrMG spätestens bis zum Ablauf der Kündigungsfrist, bei fristloser Kündigung unverzüglich, sperren.
2Im Falle der Insolvenz oder drohender Insolvenz des Anbieters muss der Anbieter die Bordgeräte nach Satz 1 unverzüglich sperren.
(1) 1Der Anbieter ist verpflichtet, mit dem Mauterheber diejenigen Änderungen und Ergänzungen zu diesem Vertrag zu vereinbaren, die aufgrund von Änderungen des geltenden Rechts erforderlich sind.
2Stimmt der Anbieter den erforderlichen Vertragsanpassungen oder -ergänzungen nicht oder nicht innerhalb angemessener Frist zu, ist der Mauterheber zur Kündigung dieses Vertrages ohne Einhaltung einer Frist berechtigt.
3§ 28 Absatz 4 gilt entsprechend.
(2) Unabhängig vom Wirksamwerden von Vertragsänderungen und -ergänzungen hat der Anbieter die sich aus der Änderung geltenden Rechts ergebenden Verpflichtungen zu erfüllen.
1Wird einer Vertragspartei die Erfüllung einer ihr nach diesem Vertrag obliegenden Verpflichtung infolge höherer Gewalt oder anderer objektiv unabwendbarer Ereignisse zeitweise oder dauernd unmöglich, informiert sie die andere Vertragspartei unverzüglich schriftlich hierüber.
2Die betroffenen Rechte und Pflichten der Vertragsparteien ruhen für den entsprechenden Zeitraum.
3Das Recht zur Kündigung bleibt durch diese Regelung unberührt.
(1) Den Vertragsparteien steht es frei, im Falle von Streitigkeiten über den Inhalt oder die Auslegung dieses Vertrages die Vermittlungsstelle nach den §§ 28 bis 30 MautSysG anzurufen.
(2) Die Anrufung der Vermittlungsstelle hindert nicht die Inanspruchnahme von behördlichen oder gerichtlichen Rechtsschutzmöglichkeiten in der Bundesrepublik Deutschland oder der Europäischen Union.
(1) Dieser Vertrag und seine Auslegung unterliegen deutschem Recht unter Ausschluss der kollisionsrechtlichen Vorschriften und der United Nations Convention on the International Sales of Goods (UNCISG).
(2) Ausschließlicher Gerichtsstand ist Köln.
(1) 1Sämtliche Mitteilungen gemäß oder im Zusammenhang mit diesem Vertrag sind in Textform und in deutscher Sprache abzufassen und an die mit dem Mauterheber abgestimmten E-Mail-Adressen zu richten.
2Satz 1 gilt nicht für förmliche Zustellungen, diese sind schriftlich und in deutscher Sprache abzufassen.
(2) 1Förmliche Zustellungen an den Mauterheber in Zusammenhang mit diesem Vertrag sind an die folgende Anschrift zu richten:
1
2Bundesamt für Logistik und Mobilität (BALM), Werderstraße 34, 50672 Köln (Empfangsberechtigter)
(3) Mitteilungen an den Anbieter im Zusammenhang mit diesem Vertrag sind an die mit dem Anbieter abgestimmten E-Mail-Adressen zu richten.
(4) 1Für förmliche Zustellungen an den Anbieter im Zusammenhang mit diesem Vertrag muss der Anbieter einen Zustellungsbevollmächtigten mit Sitz in der Bundesrepublik Deutschland nennen; ein Widerruf ist nur durch schriftliche Mitteilung und unter Benennung eines anderen Zustellungsbevollmächtigten mit Sitz in der Bundesrepublik Deutschland wirksam.
2Förmliche Zustellungen an den Anbieter sind an die folgende Anschrift zu richten:
2
3(Zustellungsbevollmächtigter in der Bundesrepublik Deutschland).
(5) Die Vertragsparteien werden einander Änderungen der Anschriften nach den Absätzen 2 bis 4, insbesondere in der Person des Zustellungsbevollmächtigten oder des Empfangsberechtigten, unverzüglich mitteilen.
1Änderungen und Ergänzungen dieses Vertrages bedürfen der Schriftform, soweit nicht eine notarielle Beurkundung gesetzlich erforderlich ist.
2Dies gilt auch für die Aufhebung des Schriftformerfordernisses.
3Die Anwendung von § 126 Absatz 3 BGB ist ausgeschlossen.
4Sämtliche Änderungen und Ergänzungen sind in deutscher Sprache abzufassen.
1Sollten einzelne Bestimmungen dieses Vertrags unwirksam oder undurchführbar sein, so berührt dies nicht die Wirksamkeit der übrigen Vertragsbestimmungen.
2Die unwirksame oder undurchführbare Bestimmung ist durch eine solche zu ersetzen, die dem entspricht, was die Parteien vereinbart hätten, wenn sie die Unwirksamkeit oder Undurchführbarkeit bei Abschluss dieses Vertrags erkannt hätten.
2
3Unterschriften
zwischen
der Bundesrepublik Deutschland, vertreten durch das Bundesministerium für Digitales und Verkehr (BMDV), dieses vertreten durch das Bundesamt für Logistik und Mobilität (BALM), Werderstraße 34, 50672 Köln, dieses wiederum vertreten durch seinen Präsidenten
- Mauterheber –
und
(Name Anbieter), (Adresse Anbieter), vertreten durch (Vertretung Anbieter), (registriert gemäß Artikel 4 der Richtlinie (EU) 2019/520 in …) (Nachweis der Registrierung)
- Anbieter -
Diese Zusatzvereinbarung ergänzt den Vertrag über die Durchführung des Europäischen elektronischen Mautdienstes auf Bundesfernstraßen im Geltungsbereich des Bundesfernstraßenmautgesetzes (EETS-Zulassungsvertrag).
3In der in § 1 Absatz 2 des EETS-Zulassungsvertrags in Bezug genommenen EEMD-Gebietsvorgabenverordnung sind in Anlage 1 Nummer 2 Schnittstellen benannt, über die das Teilsystem des EETS-Anbieters verfügen muss und die gemäß den Vorgaben des Mauterhebers zu bedienen sind.
4Vorgaben für die Schnittstellen mit IT-Unterstützung stellt der Mauterheber durch die entsprechenden Spezifikationen der Datenobjekte und der jeweiligen Schnittstellen zur Übertragung der Datenobjekte öffentlich zur Verfügung (Schnittstellenspezifikationen).
Die untenstehenden Übermittlungsfristen zu den genannten Schnittstellen gelten unmittelbar und ergänzen die Schnittstellenspezifikation SST 001 und konkretisieren einige der in den Spezifikationen genannten Richtwerte der Schnittstellenspezifikationen SST 001, 002, 005, 006, 007 und 008.
SST 001, Sperrliste
(Dokument 4.3.2_EETS_SST_001, Kapitel Kommunikationsabläufe):
6Die Übertragung der EETS-Sperrliste (Sperrliste) vom EETS-Anbieter an den Mauterheber erfolgt periodisch.
7Das Zeitintervall, nach dem eine erneute Übertragung stattfinden muss, beträgt maximal 24 Stunden.
7
8Die Häufigkeit wird über den Parameter „SST001-Aufruffrequenz“ angegeben (Übermittlung einmal pro Tag).
9Dadurch ist gewährleistet, dass die aktuellen Sperrinformationen zeitnah weiterverarbeitet werden können.
9
10SST 002a, Nutzerlisten
(Dokument 4.3.3_EETS_SST_002, Kapitel Kommunikationsabläufe):
11Die Nutzerliste (Userlist) wird periodisch an das EETS-Teilsystem des Mauterhebers übermittelt.
12Die Häufigkeit der Übertragung ist über den Parameter „SST002a-Aufruffrequenz“ (Übermittlung aufgrund der großen Datenmengen frühestens alle vier Stunden und spätestens alle 24 Stunden, um die Aktualität der Daten zu gewährleisten) gegeben.
12
13SST 005, Fahrspurdaten
(Dokument 4.3.14_EETS_SST_005, Kapitel Kommunikationsabläufe):
14Der EETS Anbieter soll für Bordgeräte, die den Mauterhebungsdienst des Mauterhebers nutzen, regelmäßig die Fahrspurdaten übertragen, wobei die Häufigkeit über den Parameter „SST005 Aufruffrequenz“ (Übermittlung alle zwei Stunden) gegeben ist.
15Dies gilt auch, wenn die maximale Anzahl für ein Transaktions-Paket noch nicht erreicht ist.
16Die Zeitdauer zwischen Befahrung des EETS-Gebiets BFStrMG, das heißt der Zeitpunkt, zu dem das EETS-Bordgerät eine Position erfasst hat, und dem Eingang der Fahrspurdaten beim Mautbetreiber ist durch den Parameter "SST005 Übermittlungsfrist" (maximal 72 Stunden) gegeben.
16
17SST 006, abschnittsbezogene Erhebungsdaten
(Dokument 4.3.4_EETS_SST_006, Kapitel Kommunikationsabläufe):
18Der EETS-Anbieter soll für Bordgeräte, die den Mauterhebungsdienst des Mauterhebers nicht nutzen, regelmäßig die abschnittsbezogenen Erhebungsdaten übertragen, wobei die Häufigkeit über den Parameter „SST006-Aufruffrequenz“ (Übermittlung alle 24 Stunden) gegeben ist.
19Dies gilt auch, wenn die maximale Anzahl für ein Transaktions-Paket noch nicht erreicht ist.
20Die Zeitdauer zwischen Befahrung eines mautpflichtigen Abschnitts und dem Eingang der entsprechenden abschnittsbezogenen Erhebungsdaten beim Mauterheber ist durch den Parameter "SST006-Übermittlungsfrist" (maximal 72 Stunden) gegeben.
20
21SST 007, Mautbuchungsnachweise
(Dokument 4.3.5_EETS_SST_007, Kapitel Kommunikationsabläufe):
22Der EETS-Anbieter soll für Bordgeräte, die den Mauterhebungsdienst des Mauterhebers nicht nutzen, regelmäßig die Mautbuchungsnachweise übertragen, wobei die Häufigkeit über den Parameter „SST007-Aufruffrequenz“ (Übermittlung alle 24 Stunden) gegeben ist.
23Dies gilt auch, wenn die maximale Anzahl für ein Transaktions-Paket noch nicht erreicht ist.
24Die Zeitdauer zwischen erfolgreicher Übermittlung der abschnittsbezogenen Erhebungsdaten und dem Eingang der Mautbuchungsnachweise, in denen darauf referenziert wird, ist durch den Parameter "SST007-Übermittlungsfrist" (maximal 72 Stunden) gegeben.
24
25SST 008, Tagesberichte
(Dokument 4.3.6_EETS_SST_008, Kapitel Kommunikationsabläufe):
26Die Häufigkeit der Übermittlung des Tagesberichts ist über den Parameter „SST008-Aufruffrequenz“ (werktäglich) gegeben.
27Das gilt auch in den Fällen, in denen keine Auskehr vom EETS-Anbieter vorgenommen wurde.
28Dabei ist zu berücksichtigen, dass alle Berichte am auf den Stichtag folgenden Werktag übermittelt werden müssen.
29Die Zeitdauer zwischen Beginn des auf den Stichtag folgenden Werktages und Eingang des Tagesberichts beim Mauterheber ist durch den Parameter "SST008-Übermittlungsfrist" (maximal 15 Stunden) gegeben.
Sofern der EETS-Anbieter durch den Mauterheber zugelassen wurde oder sich in der Phase 3 (Pilotbetrieb) befindet, muss er dem Mauterheber unaufgefordert 25 EETS-Fahrzeuggeräte, die jeweils den im Produktivsystem eingesetzten Software- und Hardwarestand aufweisen zur Verfügung stellen.
31Der Mauterheber wird die EETS-Fahrzeuggeräte dem nationalen Mautbetreiber (Toll Collect GmbH) bereitstellen, damit dieser sie bei Bedarf im Rahmen von Tests zur Sicherstellung der Rückwirkungsfreiheit der EETS-Fahrzeuggeräte auf die Kontrolleinrichtungen des nationalen Mautbetreibers und den Mauterhebungsdienst (MED) verwenden kann.
32Der EETS-Anbieter ist für die Wartung und Instandhaltung der EETS-Fahrzeuggeräte verantwortlich.
Der Mauterheber betreibt einen technischen Service Desk, der dem EETS-Anbieter über eine zentrale E-Mailadresse sowie telefonische Hotline zur Verfügung steht, um Störungen (Incidents), technische Probleme oder Auffälligkeiten in Bezug auf die Schnittstellen, die ausgetauschten Daten oder die Anbindung zwischen seinem System und den Systemen des Mauterhebers und des nationalen Mautbetreibers zu melden.
34Der Service Desk ist 24 Stunden an jedem Tag des Jahres erreichbar und wird Meldungen unverzüglich bearbeiten.
34
35Der EETS-Anbieter muss dem Mauterheber ebenfalls einen Service Desk bereitstellen, um Störungen (Incidents) mit Bezug zu Schnittstellen, den ausgetauschten Daten oder der Anbindung zwischen dem System des Mauterhebers und des EETS-Anbieters telefonisch oder per E-Mail zu melden.
36Sollte eine Störung vom Mauterheber erkannt werden, aber keine Meldung an den EETS-Anbieters über die Störung möglich sein (zum Beispiel außerhalb von Geschäftszeiten, Nichterreichbarkeit), übernimmt der Mauterheber keine Haftung für Schäden oder Störungen in den Prozessen und Systemen des EETS-Anbieters, die aus einer unterlassenen oder verspäteten Bearbeitung der Störung durch den EETS-Anbieter resultieren.
[Beizufügen.]
[Beizufügen.]
Die folgenden Regelungen definieren vertragliche Bestimmungen für den Vertrag des Mauterhebers mit einem EETS-Anbieter hinsichtlich der Sicherstellung der Qualitätsanforderungen, die in den Gebietsvorgaben festgelegt wurden und das Leistungssoll beschreiben.
3Zur kontinuierlichen Überprüfung der Qualität des Systems des EETS-Anbieters werden täglich die Übertragung von Maut- und Auskehrdaten und die Einhaltung von Qualitätsparametern geprüft und ggf. auch Audits durchgeführt.
4Für EETS-Anbieter, die den vom nationalen Betreiber im Auftrag des Mauterhebers betriebenen Mauterhebungsdienst (MED) nutzen, gelten teilweise andere Qualitätsanforderungen als für EETS-Anbieter, die dies nicht tun.
5Auf diese Qualitätsanforderungen wird im Folgenden besonders hingewiesen.
Die folgenden definierten Qualitätsparameter werden entsprechend dieser Anlage (Anlage 5 zum EETS-Zulassungsvertrag) berechnet und überwacht.
7In dieser Anlage und im EETS-Zulassungsvertrag § 27 „Vertragsstrafen“ und § 28 „Laufzeit und Beendigung des Vertrages“ werden konkret die Auswirkungen hinsichtlich der Erfüllung und Überschreitung bzw.
8Nicht-Erfüllung der Qualitätsparameter beschrieben und bestimmt.
8
9Folgende Qualitätsparameter werden zur Überwachung der Erfüllung des Leistungssolls herangezogen.
Die Erfassungsquote EQ_nonMED wird ausschließlich für EETS-Anbieter angewendet, die den Mauterhebungsdienst des Mauterhebers nicht nutzen.
10
11Die Erfassungsquote EQ_nonMED dient der Bestimmung der Qualität der korrekten Erkennung befahrener Abschnitte des mautpflichtigen Straßennetzes.
11
12Die Erfassungsquote EQ_nonMED berechnet sich wie folgt:
| EQ = 0,9 * FM + 0,1 * FS |
| mit |
| FM (Fremdauslesung mobil): DSRC-Auslesungen mit mobilen Kontrolleinrichtungen |
| FS (Fremdauslesung stationär): DSRC-Auslesungen mit ortsgebundenen (stationären) Kontrolleinrichtungen |
| Für die Ermittlung der Teilquoten FM und FS gilt: |
![]() |
![]() |
| MFMkorrekt: Anzahl der in der Stichprobe mit mobilen Kontrollen erfassten korrekt vorgenommenen Mauterhebungen im automatischen Mauterhebungssystem. |
| MFMgesamt: Anzahl der in der Stichprobe mit mobilen Kontrollen erfassten korrekt und nicht korrekt vorgenommenen Mauterhebungen im automatischen Mauterhebungssystem. |
| MFSkorrekt: Anzahl der in der Stichprobe mit stationären Kontrollen erfassten korrekt vorgenommenen Mauterhebungen im automatischen Mauterhebungssystem. |
| MFSgesamt: Anzahl der in der Stichprobe mit stationären Kontrollen erfassten korrekt und nicht korrekt vorgenommenen Mauterhebungen im automatischen Mauterhebungssystem. |
Die Datenerhebung erfolgt durch DSRC-Auslesung der in den kontrollierten Fahrzeugen angebrachten EETS-Fahrzeuggeräte.
14Die Stichprobe besteht aus allen mit einem EETS-Fahrzeuggerät ausgestatteten Fahrzeugen, bei denen eine DSRC-Auslesung erfolgreich durchgeführt wurde und bei denen ein mautpflichtiger Abschnitt durch den Mauterheber eindeutig bestimmt werden kann.
15Die Stichprobe besteht des Weiteren nur aus jenen Fahrzeugen, in denen das EETS-Fahrzeuggerät Erhebungsbereitschaft anzeigt.
16Die Ermittlung der Erfassungsquote EQ_nonMED erfolgt auf der Basis von Daten, die im Rahmen der Kontrolle im gesamten mautpflichtigen Streckennetz erhoben werden.
Eine Mauterhebung gilt als korrekt, wenn für das eindeutig identifizierbare Fahrzeug der in den abschnittsbezogenen Erhebungsdaten übermittelte erkannte Abschnitt dem aufgrund der DSRC-Daten der Kontrolleinrichtungen des Mauterhebers bestimmten tatsächlich befahrenen Abschnitt entspricht.
18Andernfalls gilt die Mauterhebung als nicht korrekt.
19Ausgenommen sind jeweils diejenigen Fälle, in denen der Mautpflichtige nachweislich gegen seine Mitwirkungspflicht verstoßen oder eine unerlaubte Manipulation vorgenommen hat.
20Die Beweislast dafür liegt beim EETS-Anbieter.
20
21Die Erfassungsquote EQ_nonMED wird für jeden Kalendermonat durch den Mauterheber als Zwischenergebnis ermittelt und auf drei Stellen nach dem Komma kaufmännisch gerundet.
22Die Messdatenauswertung erfolgt durch den Mauterheber.
23Der Mauterheber stellt dem EETS-Anbieter spätestens 30 Tage nach Ende des Kalendermonats die ermittelte Erfassungsquote EQ_nonMED sowie Informationen und die zugrunde gelegten eigenen Daten zu identifizierten Schlechtfällen zur Verfügung.
24Der EETS-Anbieter kann diese Informationen und Daten prüfen und dem Mauterheber das Ergebnis seiner Prüfung sowie eventuelle Einwendungen innerhalb von 30 Tagen nach Übermittlung der Ergebnisse durch den Mauterheber übermitteln.
25Einwendungen gegen das vom Mauterheber übermittelte Ergebnis sind nur insoweit zulässig, als der EETS-Anbieter nachweist, dass die Ermittlung der Erfassungsquote EQ_nonMED entgegen den Vorgaben dieses Anhangs QP sowie ggf. der Verfahrensbeschreibung erfolgt ist oder die zugrunde gelegten eigenen Daten des Mauterhebers unrichtig sind.
26Der Mauterheber wird das Ergebnis der Prüfung durch den EETS-Anbieter innerhalb von weiteren 30 Tagen prüfen und die Erfassungsquote EQ_nonMED für den jeweiligen Kalendermonat endgültig feststellen und in Form eines Berichts übermitteln.
26
27Basierend auf den Positionsdaten der Kontrolleinrichtung wird jedem erhobenen Messfall ein Abschnitt zugeordnet.
28Ist keine eindeutige Zuordnung zu einem Abschnitt möglich, dann wird der zugehörige Messfall verworfen.
28
29Einem Gutfall für die Messung der Erfassungsquote EQ_nonMED muss eine korrekte Erhebung in allen folgenden Unterpunkten zugrunde liegen.
30Als Schlechtfall gilt jeder Fall, dem mindestens in einem der folgenden Unterpunkte keine korrekte Erhebung zugrunde liegt:
30
31Der Mauterheber behält sich vor, weitere Details der praktischen Umsetzung der Messdatenauswertung in einer verbindlichen Verfahrensbeschreibung festzulegen, die sich innerhalb des in diesem Anhang QP vorgegebenen Rahmens bewegt.
31
32Der EETS-Anbieter muss einen Zielwert für
die Erfassungsquote EQ_nonMED
von mindestens
99,500 %
erreichen.
33Falls der EETS-Anbieter einen Zielwert von 95,000 % innerhalb eines Kalenderjahres in mehr als zwei Monaten oder in zwei aufeinanderfolgenden Monaten unterschreitet, ist der Mauterheber berechtigt, den Vertrag mit dem EETS-Anbieter zu kündigen (§ 28 Absatz 3 Satz 2 Nummer 16 EETS-Zulassungsvertrag).
34Wird die Erfassungsquote EQ_nonMED in Höhe von 99,500 % nicht erreicht, verwirkt der EETS-Anbieter eine Vertragsstrafe in Höhe von 0,05 % der ausgekehrten Mauteinnahmen im relevanten Betrachtungszeitraum je angefangenen Zehntelprozentpunkt der Unterschreitung des Zielwerts der Erfassungsquote EQ_nonMED.
35Der relevante Betrachtungszeitraum umfasst das Kalenderjahr.
36Die ausgekehrten Mauteinnahmen (ME) im relevanten Betrachtungszeitraum t ermitteln sich wie folgt:
| MEt = WZt - Rt - Zt | |
| WZt = | auf dem Konto des Mauterhebers gemäß § 5 des EETS-Zulassungsvertrags und gemäß den Vorgaben der EEMD-Gebietsvorgabenverordnung in Summe wertgestellte Zahlungen in Euro im Betrachtungszeitraum |
| Rt = | Betrag in Euro der gemäß Anlage 9, Nummer 1.3 des EETS-Zulassungsvertrags positiv beschiedenen Erstattungsverlangen im Betrachtungszeitraum |
| Zt = | Betrag in Euro der im Betrachtungszeitraum vom EETS-Anbieter ausgekehrten Verzugszinsen |
Die Erfassungsquote EQ_MED wird ausschließlich für EETS-Anbieter angewendet, die den Mauterhebungsdienst des Mauterhebers nutzen.
40Die Erfassungsquote EQ_MED dient der Bestimmung der Qualität der korrekten Mauterhebung für Befahrungen des mautpflichtigen Straßennetzes, bezogen auf den vom EETS-Anbieter zu verantwortenden Anteil der Mauterhebung.
41Die Erfassungsquote EQ_MED berechnet sich wie folgt:
| EQ = 0,9 * FM + 0,1 * FS |
| mit |
| FM (Fremdauslesung mobil): DSRC-Auslesungen mit mobilen Kontrolleinrichtungen |
| FS (Fremdauslesung stationär): DSRC-Auslesungen mit ortsgebundenen (stationären) Kontrolleinrichtungen |
| Für die Ermittlung der Teilquoten FM und FS gilt: |
![]() |
![]() |
| MFMkorrekt: Anzahl der in der Stichprobe mit mobilen Kontrollen erfassten korrekt vorgenommenen Mauterhebungen im automatischen Mauterhebungssystem. |
| MFMgesamt: Anzahl der in der Stichprobe mit mobilen Kontrollen erfassten korrekt und nicht korrekt vorgenommenen Mauterhebungen im automatischen Mauterhebungssystem. |
| MFSkorrekt: Anzahl der in der Stichprobe mit (stationären) Kontrollen erfassten korrekt vorgenommenen Mauterhebungen im automatischen Mauterhebungssystem. |
| MFSgesamt: Anzahl der in der Stichprobe mit (stationären) Kontrollen erfassten korrekt und nicht korrekt vorgenommenen Mauterhebungen im automatischen Mauterhebungssystem. |
Die Datenerhebung erfolgt durch DSRC-Auslesung der in den kontrollierten Fahrzeugen angebrachten EETS-Fahrzeuggeräte.
43Die Stichprobe besteht aus allen mit einem EETS-Fahrzeuggerät ausgestatteten Fahrzeugen, bei denen eine DSRC-Auslesung erfolgreich durchgeführt wurde und bei denen ein mautpflichtiger Abschnitt durch den Mauterheber eindeutig bestimmt werden kann.
44Die Stichprobe besteht des Weiteren nur aus jenen Fahrzeugen, in denen das EETS-Fahrzeuggerät Erhebungsbereitschaft anzeigt.
45Die Ermittlung der Erfassungsquote EQ_MED erfolgt auf der Basis von Daten, die im Rahmen der Kontrolle im gesamten mautpflichtigen Streckennetz erhoben werden.
Eine Mauterhebung gilt bezogen auf den vom EETS-Anbieter zu verantwortenden Anteil als korrekt, wenn
48
49Die Erfassungsquote EQ_MED wird für jeden Kalendermonat durch den Mauterheber als Zwischenergebnis ermittelt und auf drei Stellen nach dem Komma kaufmännisch gerundet.
50Die Messdatenauswertung erfolgt durch den Mauterheber.
51Der Mauterheber stellt dem EETS-Anbieter spätestens 30 Tage nach Ende des Kalendermonats die ermittelte Erfassungsquote EQ_MED sowie Informationen und die zugrunde gelegten eigenen Daten zu den, bezogen auf den vom EETS-Anbieter zu verantwortenden Anteil der Mauterhebung, identifizierten Schlechtfällen zur Verfügung.
52Der EETS-Anbieter kann diese Informationen und Daten prüfen und dem Mauterheber das Ergebnis seiner Prüfung sowie eventuelle Einwendungen innerhalb von 30 Tagen nach Übermittlung der Ergebnisse durch den Mauterheber übermitteln.
53Einwendungen gegen das vom Mauterheber übermittelte Ergebnis sind nur insoweit zulässig, als der EETS-Anbieter nachweist, dass die Ermittlung der Erfassungsquote EQ_MED entgegen den Vorgaben dieses Anhangs QP sowie ggf. der Verfahrensbeschreibung erfolgt ist oder die zugrunde gelegten eigenen Daten des Mauterhebers unrichtig sind.
54Der Mauterheber wird das Ergebnis der Prüfung durch den EETS-Anbieter innerhalb von weiteren 30 Tagen prüfen und die Erfassungsquote EQ_MED für den jeweiligen Kalendermonat endgültig feststellen und in Form eines Berichts übermitteln.
54
55Für eventuelle Vertragsstrafen ist das Ergebnis nach obenstehender Formel unter Berücksichtigung der Werte für den jeweiligen Betrachtungszeitraum heranzuziehen.
55
56Basierend auf den Positionsdaten der Kontrolleinrichtung wird jedem erhobenen Messfall ein Abschnitt zugeordnet.
57Ist keine eindeutige Zuordnung zu einem Abschnitt möglich, dann wird der zugehörige Messfall verworfen.
57
58Einem Gutfall für die Messung der Erfassungsquote EQ_MED muss eine korrekte Erhebung in allen folgenden Unterpunkten zugrunde liegen.
59Als Schlechtfall gilt jeder Fall, dem mindestens in einem der folgenden Unterpunkte keine korrekte Erhebung zugrunde liegt:
60
61Der EETS-Anbieter muss einen Zielwert für die
Erfassungsquote EQ_MED
von mindestens
99,500 %
erreichen.
62Falls der EETS-Anbieter einen Zielwert von 95,000 % innerhalb eines Kalenderjahres in mehr als zwei Monaten oder in zwei aufeinanderfolgenden Monaten unterschreitet, ist der Mauterheber berechtigt, den Vertrag mit dem EETS-Anbieter zu kündigen (§ 28 Absatz 3 Satz 2 Nummer 16 EETS-Zulassungsvertrag).
63Wird die Erfassungsquote EQ_MED in Höhe von 99,500 % nicht erreicht, verwirkt der Anbieter eine Vertragsstrafe in Höhe von 0,05 % der ausgekehrten Mauteinnahmen im relevanten Betrachtungszeitraum je angefangenem Zehntelprozentpunkt der Unterschreitung des Zielwerts der Erfassungsquote EQ_MED.
64Der relevante Betrachtungszeitraum umfasst das Kalenderjahr.
65Die ausgekehrten Mauteinnahmen (ME) im relevanten Betrachtungszeitraum t ermitteln sich wie folgt:
| MEt = WZt - Rt - Zt | |
| WZt = | auf dem Konto des Mauterhebers gemäß § 5 des EETS-Zulassungsvertrags und gemäß den Vorgaben der EEMD-Gebietsvorgabenverordnung in Summe wertgestellte Zahlungen in Euro im Betrachtungszeitraum |
| Rt = | Betrag in Euro der gemäß Anlage 9 Nummer 1.3 des EETS-Zulassungsvertrags positiv beschiedenen Erstattungsverlangen im Betrachtungszeitraum |
| Zt = | Betrag in Euro der im Betrachtungszeitraum vom EETS-Anbieter ausgekehrten Verzugszinsen |
Für Betrachtungszeiträume, die einen Zeitraum umfassen, in dem ein EETS-Anbieter seine Bordgeräte auf den Mauterhebungsdienst migriert (Migrationsphase), wird eine kombinierte Erfassungsquote ermittelt.
69Die kombinierte Erfassungsquote wird nach der folgenden Formel ermittelt:
| EQ = 0,9 * FM + 0,1 * FS |
| mit |
| FM (Fremdauslesung mobil): DSRC-Auslesungen mit mobilen Kontrolleinrichtungen |
| FS (Fremdauslesung stationär): DSRC-Auslesungen mit ortsgebundenen (stationären) Kontrolleinrichtungen |
| Für die Ermittlung der Teilquoten FM und FS gilt: |
![]() |
![]() |
| MFMkorrekt: Anzahl der in der Stichprobe mit mobilen Kontrollen erfassten korrekt vorgenommenen Mauterhebungen im automatischen Mauterhebungssystem. |
| MFMgesamt: Anzahl der in der Stichprobe mit mobilen Kontrollen erfassten korrekt und nicht korrekt vorgenommenen Mauterhebungen im automatischen Mauterhebungssystem. |
| MFSkorrekt: MFSkorrekt: Anzahl der in der Stichprobe mit (stationären) Kontrollen erfassten korrekt vorgenommenen Mauterhebungen im automatischen Mauterhebungssystem. |
| MFSgesamt: Anzahl der in der Stichprobe mit (stationären) Kontrollen erfassten korrekt und nicht korrekt vorgenommenen Mauterhebungen im automatischen Mauterhebungssystem. |
| Hinweis: In die Anzahl MFMkorrekt und MFMgesamt bzw. MFSkorrekt und MFSgesamt gehen sowohl die Fälle, die im Betrachtungszeitraum über den MED erhoben wurden, und die Fälle, die im Betrachtungszeitraum mittels eigener Erkennung des EETS-Anbieters erhoben wurden, ein. |
69
70Die Auswertung der Messfälle von Fahrzeuggeräten, die mittels eigener Erkennung des EETS-Anbieters erhoben wurden, erfolgt nach den Vorgaben der Nummer 3.1.2.
Die Auswertung der Messfälle von Fahrzeuggeräten, die über den MED erhoben wurden, erfolgt nach den Vorgaben der Nummer 3.2.2.
Für die kombinierte Erfassungsquote liegt die Zielvorgabe ebenfalls bei 99,500 %.
71In Bezug auf Vertragsstrafen bei Unterschreitung der Quote im Betrachtungszeitraum gelten die Regelungen gemäß Nummer 3.2.2 entsprechend.
Ziel der Quote ist die Messung der korrekten DSRC Kommunikation zwischen den EETS-Fahrzeuggeräten mit den automatischen Kontrolleinrichtungen des Mauterhebers, wobei alle abrechnungsrelevanten Daten (Fahrzeugparameter und Vertragsparameter) korrekt und vollständig übermittelt werden müssen.
72
73Die Quote QP_DSRCTRANS wird mit folgender Formel erhoben:
![]() |
| Für den betrachteten Zeitraum und für die betrachteten Streckenabschnitte: |
| K = Anzahl der abschnittsbezogenen Erhebungsdatensätze (ABED), zu denen ein passender DSRC-Datensatz vorliegt. |
| ED = Anzahl der beim Mauterheber vorliegenden abschnittsbezogenen Erhebungsdatensätze von Streckenabschnitten, in denen zum Zeitpunkt der Befahrung automatische Kontrolleinrichtungen im Einsatz waren. |
Die Durchführung von Messungen erfolgt durch den Mauterheber automatisiert anhand der bei ihm vorliegenden Daten (ABED via Schnittstelle SST 006 und DSRC-Daten von den Kontrolleinrichtungen).
77Die Messdatenerhebung erfolgt nicht anhand einer Stichprobe, sondern es werden alle in einem Kalendermonat oder in einem vertraglich relevanten Betrachtungszeitraum gelieferten Datensätze in die Messdatenerhebung einbezogen.
77
78Für alle berücksichtigten ABED werden zugehörige DSRC-Datensätze gesucht,
Als Gutfälle fließen in die Größe K alle aufgefundenen zugehörigen DSRC-Datensätze ein, die vollständig abgeschlossen wurden.
79Fehlende, nicht abgeschlossene und unvollständige DSRC-Datensätze fließen nicht als Gutfälle ein.
79
80Bei der Ermittlung der Variable ED fließen keine Fälle auf mautpflichtigen Abschnitten ein, bei denen die Möglichkeit besteht, dass ein Fahrzeug eine Teilbefahrung ausführt und dabei nicht die auf diesem Abschnitt befindliche automatische Kontrolleinrichtung passiert.
81Zusätzlich fließen bei Kontrollsäulen keine Fälle ein, bei denen aufgrund der Geometrie des Abschnitts und der technischen Eigenschaften und Position der Kontrollsäule die Möglichkeit besteht, dass Fahrzeuge, die die Kontrollsäule nicht auf dem unmittelbar neben der Kontrollsäule befindlichen Fahrstreifen passieren, nicht erfasst werden können.
81
82Die Quote QP_DSRCTRANS wird für jeden Kalendermonat durch den Mauterheber als Zwischenergebnis ermittelt und auf drei Stellen nach dem Komma kaufmännisch gerundet.
83Die Messdatenauswertung erfolgt durch den Mauterheber.
84Der Mauterheber stellt dem EETS-Anbieter spätestens 30 Tage nach Ende des Kalendermonats die ermittelten DSRC-Quoten sowie Informationen und die zugrunde gelegten eigenen Daten zu identifizierten Schlechtfällen zur Verfügung.
85Der EETS-Anbieter kann diese Informationen und Daten prüfen und dem Mauterheber das Ergebnis seiner Prüfung sowie eventuelle Einwendungen innerhalb von 30 Tagen nach Übermittlung der Ergebnisse durch den Mauterheber übermitteln.
86Einwendungen gegen das vom Mauterheber übermittelte Ergebnis sind nur insoweit zulässig, als der EETS-Anbieter nachweist, dass die Ermittlung der Quoten entgegen den Vorgaben dieses Anhangs QP sowie ggf. der Verfahrensbeschreibung erfolgt ist oder die zugrunde gelegten eigenen Daten des Mauterhebers unrichtig sind.
87Der Mauterheber wird das Ergebnis der Prüfung durch den EETS-Anbieter innerhalb von weiteren 30 Tagen prüfen und die Quoten für den jeweiligen Kalendermonat endgültig feststellen und in Form eines Berichts übermitteln.
87
88Der Mauterheber behält sich vor, weitere Details der praktischen Umsetzung der Messdatenerhebung und Messdatenauswertung in einer verbindlichen Verfahrensbeschreibung festzulegen, die sich innerhalb des in diesem Anhang QP vorgegebenen Rahmens bewegt.
88
89Der EETS-Anbieter muss einen Zielwert für die Quote
QP_DSRCTRANS
von mindestens 98,500 % erreichen.
90Falls der EETS-Anbieter einen Zielwert von 96,000 % innerhalb eines Kalenderjahres in mehr als zwei Monaten oder in zwei aufeinanderfolgenden Monaten unterschreitet, ist der Mauterheber berechtigt, den Vertrag mit dem EETS-Anbieter zu kündigen (§ 28 Absatz 3 Satz 2 Nummer 17 EETS-Zulassungsvertrag).
90
91Wird die DSRC-Quote in Höhe von 98,500 % nicht erreicht, dann wird eine Vertragsstrafe wie folgt festgelegt:
91
92Pro angefangenem Zehntelprozentpunkt Unterschreitung des Zielwertes von 98,500 % im relevanten Betrachtungszeitraum wird eine Vertragsstrafe in Höhe von 10 000 Euro verwirkt.
93Der relevante Betrachtungszeitraum umfasst das Kalenderjahr.
94Sofern der vertraglich relevante Betrachtungszeitraum nicht das gesamte Kalenderjahr umfasst, wird die Vertragsstrafe monatsgenau anteilig verwirkt (pro rata temporis).
94
95Sofern die Quote QP_DSRCTRANS in einem relevanten Betrachtungszeitraum durch den Mauterheber nicht festgestellt werden konnte, entfällt für diesen relevanten Betrachtungszeitraum die Möglichkeit der Verhängung von Vertragsstrafen in Bezug auf die Quote QP_DSRCTRANS oder einer Kündigung gemäß § 28 Absatz 3 Satz 2 Nummer 17 EETS-Zulassungsvertrag.
Eine wesentliche Anforderung der Gebietsvorgaben ist die technische Sperrung eines EETS-Fahrzeuggeräts (Signalisierung fehlender Betriebsbereitschaft im Mautgebiet Deutschland), bevor dieses durch den EETS-Anbieter auf die Sperrliste (Blocklist) und an den Mauterheber übermittelt wird.
97Dies ist wesentlich, da die Verteilung der Sperrlisten im System des Mauterhebers nicht unmittelbar erfolgt.
97
98Ziel der Quote ist die Messung der Anzahl der Fahrzeuge, die Betriebsbereitschaft signalisieren (Zustand grün), jedoch auf der Sperrliste aufgeführt sind.
98
99Durch folgende Formel wird der Qualitätsparameter QP_SPERRLISTE bestimmt:
![]() |
| Für den betrachteten Zeitraum und für die betrachteten Streckenabschnitte sind die Variablen wie folgt definiert: |
| OBUgrün_total = Anzahl erfasste betriebsbereite EETS-FzG eines Anbieters (SST 301/ ISO 12813: StatusIndicator = go (1) bedeutet, dass das FzG einen betriebsbereiten Status anzeigt). |
| OBUgrün = Anzahl erfasste betriebsbereite EETS-FzG, welche zum Zeitpunkt der Erfassung in der Sperrliste des EETS-Anbieters aufgelistet sind. |
Die Durchführung von Messungen erfolgt durch den Mauterheber auf Basis der im System des Mauterhebers vorliegenden Daten der vom EETS-Anbieter übermittelten Sperrlisten sowie im Rahmen von Kontrollen erfassten DSRC-Daten.
101Die Messdatenerhebung erfolgt nicht anhand einer Stichprobe, sondern es werden alle in einem Kalendermonat oder in einem vertraglich relevanten Betrachtungszeitraum gelieferten Datensätze in die Messdatenerhebung einbezogen.
101
102Dabei prüft der Mauterheber, ob für ein Bordgerät, für das DSRC-Daten vorliegen und der Statusindikator den Wert go (1) hat, ein Eintrag auf der zum jeweiligen Zeitpunkt der DSRC-Auslesung im System des Mauterhebers vorliegenden Sperrliste des EETS-Anbieters vorliegt.
103Dies gilt als Schlechtfall.
104Bei der Ermittlung der Quote QP_SPERRLISTE wird jedoch ein erhebungsbereites Bordgerät nicht als Schlechtfall gewertet, wenn für dieses auf der nächsten auf den Kontrollzeitpunkt folgenden vom EETS-Anbieter übermittelten Sperrliste kein Eintrag für dieses Bordgerät mehr vorhanden war.
104
105Die Quote QP_SPERRLISTE wird für jeden Kalendermonat durch den Mauterheber festgestellt und auf drei Stellen nach dem Komma kaufmännisch gerundet.
105
106Die Messdatenauswertung erfolgt durch den Mauterheber.
107Der Mauterheber stellt dem EETS-Anbieter spätestens 30 Tage nach Ende des Kalendermonats die ermittelte Quote QP_SPERRLISTE sowie Informationen und die zugrunde gelegten eigenen Daten zu identifizierten Schlechtfällen zur Verfügung.
108Der EETS-Anbieter kann diese Informationen und Daten prüfen und dem Mauterheber das Ergebnis seiner Prüfung sowie eventuelle Einwendungen innerhalb von 30 Tagen nach Übermittlung der Ergebnisse durch den Mauterheber übermitteln.
109Einwendungen gegen das vom Mauterheber übermittelte Ergebnis sind nur insoweit zulässig, als der EETS-Anbieter nachweist, dass die Ermittlung der Quote entgegen den Vorgaben dieses Anhangs QP sowie ggf. der Verfahrensbeschreibung erfolgt ist oder die zugrunde gelegten eigenen Daten des Mauterhebers unrichtig sind.
110Der Mauterheber wird das Ergebnis der Prüfung durch den EETS-Anbieter innerhalb von weiteren 30 Tagen prüfen und die Quote für den jeweiligen Kalendermonat endgültig feststellen und in Form eines Berichts übermitteln.
111Der Mauterheber behält sich vor, weitere Details der praktischen Umsetzung der Messdatenerhebung und Messdatenauswertung in einer verbindlichen Verfahrensbeschreibung festzulegen, die sich innerhalb des in diesem Anhang QP vorgegebenen Rahmens bewegt.
111
112Der EETS-Anbieter muss einen Zielwert für
QP_SPERRLISTE
von mindestens
99,900 %
erreichen.
113Die Sperrlistenquote wird für jeden Kalendermonat gemessen, durch den Mauterheber festgestellt und auf drei Stellen nach dem Komma kaufmännisch gerundet.
113
114Für jeden Schlechtfall gemäß Nummer 3.4.1 Absatz 2, der die 99,900 % im relevanten Betrachtungszeitraum unterschreitet, wird dem EETS-Anbieter eine Vertragsstrafe von 1 000 Euro verhängt.
115Der relevante Betrachtungszeitraum beträgt 1 Kalendermonat.
Ein Eintrag auf der Nutzerliste (Userlist) und die korrekte und rechtzeitige Übermittlung dieser Liste (Schnittstelle 002a) an den Mauterheber ist eine wichtige Voraussetzung für die Verarbeitung von abschnittsbezogenen Erhebungsdaten und Mautbuchungsnachweisen der Nutzer im System des Mauterhebers.
117Ziel der Quote ist die Messung der Qualität der Erstellung und Übermittlung der Nutzerliste vom EETS-Anbieter an den Mauterheber.
118Die Messung erfolgt unter Heranziehung von DSRC-Auslesungen von Fahrzeugen des EETS-Anbieters und dem Vergleich mit den übermittelten Daten auf der Nutzerliste.
118
119Durch folgende Formel wird der Qualitätsparameter QP_NUTZERLISTE bestimmt:
![]() |
| Dabei sind die Variablen für den jeweilig betrachteten Zeitraum wie folgt definiert: |
| USER-IDkeinNutzer = Anzahl straßenseitig erfasster und in der Nutzerliste unter Berücksichtigung des Gültigkeitszeitraums der Nutzerdaten nicht gefundene User-IDs innerhalb des Beobachtungszeitraums, wobei eine mehrfach aufgefundene User-ID nur einmal zählt. |
| USER-IDerfasst = Anzahl straßenseitig erfasster User-IDs innerhalb des Beobachtungszeitraums. |
Die Durchführung von Messungen erfolgt durch den Mauterheber auf Basis der im System des Mauterhebers vorliegenden Daten der vom EETS-Anbieter übermittelten Nutzerlisten sowie im Rahmen von Kontrollen erfassten DSRC-Daten.
121Die Messdatenerhebung erfolgt nicht anhand einer Stichprobe, sondern es werden alle in einem Kalendermonat oder in einem vertraglich relevanten Betrachtungszeitraum gelieferten Datensätze in die Messdatenerhebung einbezogen.
121
122Dabei prüft der Mauterheber, ob für ein Bordgerät, für das DSRC-Daten vorliegen und der Statusindikator den Wert go (1) hat, ein Eintrag auf der zum jeweiligen Zeitpunkt der DSRC-Auslesung im System des Mauterhebers vorliegenden Nutzerliste des EETS-Anbieters vorliegt.
123Dies gilt als Gutfall.
124Alle anderen Fälle gelten als Schlechtfälle.
124
125Die Quote QP_NUTZERLISTE wird für jeden Kalendermonat durch den Mauterheber festgestellt und auf drei Stellen nach dem Komma kaufmännisch gerundet.
125
126Die Messdatenauswertung erfolgt durch den Mauterheber.
127Der Mauterheber stellt dem EETS-Anbieter spätestens 30 Tage nach Ende des Kalendermonats die ermittelte Quote QP_NUTZERLISTE sowie Informationen und die zugrunde gelegten eigenen Daten zu identifizierten Schlechtfällen zur Verfügung.
128Der EETS-Anbieter kann diese Informationen und Daten prüfen und dem Mauterheber das Ergebnis seiner Prüfung sowie eventuelle Einwendungen innerhalb von 30 Tagen nach Übermittlung der Ergebnisse durch den Mauterheber übermitteln.
129Einwendungen gegen das vom Mauterheber übermittelte Ergebnis sind nur insoweit zulässig, als der EETS-Anbieter nachweist, dass die Ermittlung der Quote entgegen den Vorgaben dieses Anhangs QP sowie gegebenfalls. der Verfahrensbeschreibung erfolgt ist oder die zugrunde gelegten eigenen Daten des Mauterhebers unrichtig sind.
130Der Mauterheber wird das Ergebnis der Prüfung durch den EETS-Anbieter innerhalb von weiteren 30 Tagen prüfen und die Quote für den jeweiligen Kalendermonat endgültig feststellen und in Form eines Berichts übermitteln.
131Der Mauterheber behält sich vor, weitere Details der praktischen Umsetzung der Messdatenerhebung und Messdatenauswertung in einer verbindlichen Verfahrensbeschreibung festzulegen, die sich innerhalb des in diesem Anhang QP vorgegebenen Rahmens bewegt.
131
132Der EETS-Anbieter muss einen Zielwert für
QP_NUTZERLISTE
von mindestens
99,900 %
erreichen.
133Die Nutzerlistenquote wird für jeden Kalendermonat gemessen, durch den Mauterheber festgestellt und auf drei Stellen nach dem Komma kaufmännisch gerundet.
133
134Für jeden Schlechtfall gemäß Nummer 3.5.1 Absatz 2, der die 99,900 % im relevanten Betrachtungszeitraum unterschreitet, wird dem EETS-Anbieter eine Vertragsstrafe von 500 Euro verhängt.
135Der relevante Betrachtungszeitraum beträgt 1 Kalendermonat.
Die Quote für abschnittsbezogene Erhebungsdaten (QP_ABED) wird ausschließlich für EETS-Anbieter angewendet, die den Mauterhebungsdienst des Mauterhebers nicht nutzen.
137Die Quote der Lieferung der abschnittsbezogenen Erhebungsdaten misst, wie viele der vom EETS-Anbieter übermittelten abschnittsbezogenen Erhebungsdaten innerhalb der vertraglich vereinbarten Frist rechtzeitig im System des Mauterhebers empfangen wurden.
137
138Die Quote wird mit der folgenden Formel ermittelt:
![]() | |
| mit | |
| |
144
145ABED, die verspätet beim Mauterheber eingetroffen sind, weil das System des Mauterhebers für eine Entgegennahme von ABED nicht verfügbar war, werden bei der Ermittlung der Quote nicht berücksichtigt.
145
146ABED, die verspätet beim Mauterheber eingetroffen sind, weil das System des EETS-Anbieters nicht für eine Versendung von ABED verfügbar war, weil der EETS-Anbieter Maßnahmen an diesem System unter Einhaltung seiner vertraglichen Verpflichtungen aus dem Zulassungsvertrag durchgeführt hat, werden bei der Ermittlung der Quote nicht berücksichtigt.
146
147Der Mauterheber behält sich vor, weitere Details der praktischen Umsetzung der Messdatenerhebung und Messdatenauswertung unter Beteiligung des EETS-Anbieters in einer verbindlichen Verfahrensbeschreibung festzulegen, die sich innerhalb des in diesem Anhang QP vorgegebenen Rahmens bewegt.
147
148Der EETS-Anbieter muss einen Zielwert für
QP_ABED
von mindestens
99,000 %
erreichen.
149Die Quote zur rechtzeitigen und korrekten Übermittlung der ABED wird für jeden Kalendermonat durch den Mauterheber als Zwischenergebnis festgestellt und auf drei Stellen nach dem Komma kaufmännisch gerundet.
149
150Für jeden verspäteten oder inkorrekten ABED wird dem EETS-Anbieter im relevanten Betrachtungszeitraum eine Vertragsstrafe von 1 Euro berechnet.
151Der relevante Betrachtungszeitraum beträgt ein Kalenderjahr.
152Die Vertragsstrafe ist nicht fällig, wenn die Quote im relevanten Betrachtungszeitraum mindestens 99,000 % beträgt.
153Sofern der vertraglich relevante Betrachtungszeitraum nicht das gesamte Kalenderjahr umfasst, wird die Vertragsstrafe monatsgenau anteilig verwirkt (pro rata temporis).
Die Fahrspurquote (QP_FS) wird ausschließlich für EETS-Anbieter angewendet, die den Mauterhebungsdienst des Mauterhebers nutzen.
154
155Die Quote der Lieferung der Fahrspuren misst, wie viele Fahrspuren rechtzeitig im System des nationalen Mautbetreibers empfangen wurden.
155
156Die Quote wird mit der folgenden Formel ermittelt:
![]() | |
| mit | |
| |
162
163Fahrspuren, die verspätet im System des nationalen Mautbetreibers eingetroffen sind, weil das System des nationalen Mautbetreibers für eine Entgegennahme von Fahrspuren nicht verfügbar war, werden bei der Ermittlung der Quote nicht berücksichtigt.
163
164Fahrspuren, die verspätet im System des nationalen Mautbetreibers eingetroffen sind, weil das System des EETS-Anbieters nicht für eine Versendung von Fahrspuren verfügbar war, weil der EETS-Anbieter Maßnahmen an diesem System unter Einhaltung seiner vertraglichen Verpflichtungen aus dem Zulassungsvertrag durchgeführt hat, werden bei der Ermittlung der Quote nicht berücksichtigt.
164
165Der Mauterheber behält sich vor, weitere Details der praktischen Umsetzung der Messdatenerhebung und Messdatenauswertung unter Beteiligung des EETS-Anbieters in einer verbindlichen Verfahrensbeschreibung festzulegen, die sich innerhalb des in diesem Anhang QP vorgegebenen Rahmens bewegt.
165
166Der EETS-Anbieter muss einen Zielwert für
QP_FS
von mindestens
99,000 %
erreichen.
167Die Fahrspurquote wird kalendermonatlich durch den Mauterheber als Zwischenergebnis festgestellt, auf drei Stellen nach dem Komma kaufmännisch gerundet und dem EETS-Anbieter in Form eines Berichts zur Verfügung gestellt.
167
168Für jede verspätete Fahrspur, die zu einer Unterschreitung des Zielwerts der Quote von 99,000 % im relevanten Betrachtungszeitraum führt, wird gegenüber dem EETS-Anbieter eine Vertragsstrafe von 10 Euro verhängt.
169Der relevante Betrachtungszeitraum beträgt ein Kalenderjahr.
170Eine Vertragsstrafe ist nicht fällig, wenn die Quote im relevanten Betrachtungszeitraum mindestens 99,000 % beträgt.
Die Vorgaben in diesem Abschnitt sowie die Vertragsstrafe für verspätet oder inkorrekte Mautbuchungsnachweise werden ausschließlich für EETS-Anbieter angewendet, die den Mauterhebungsdienst des Mauterhebers nicht nutzen.
171
172Die korrekte und rechtzeitige Übermittlung von Mautbuchungsnachweisen ist wesentlich für die Einnahmeprüfung des Mauterhebers.
173Da diese jedoch auf der korrekten und rechtzeitigen Übermittlung von abschnittsbezogenen Erhebungsdaten (ABED) beruhen, werden dafür keine separaten Quoten berechnet.
174Die Anzahl der nicht rechtzeitig und/oder nicht korrekt übermittelten Mautbuchungsnachweise wird dem EETS-Anbieter in Form eines monatlichen Berichts zur Verfügung gestellt.
175Vielmehr werden Vertragsstrafen fällig, falls Mautbuchungsnachweise entsprechend der Schnittstellenspezifikation 007 vom EETS-Anbieter an den Mauterheber nicht rechtzeitig und korrekt übermittelt werden.
176Mautbuchungsnachweise gelten als nicht korrekt, wenn sie vom Mauterheber im Rahmen der fachlichen Prüfung mit einem Fehler an den EETS-Anbieter zurückgemeldet werden.
177Mautbuchungsnachweise werden nicht als inkorrekt gewertet, wenn sie innerhalb der vertraglich vereinbarten Fristen vom EETS-Anbieter erneut und korrekt übermittelt werden.
178Mautbuchungsnachweise, die vom EETS-Anbieter erzeugt und verspätet beim Mauterheber eingetroffen sind, weil das System des Mauterhebers für eine Entgegennahme von Mautbuchungsnachweisen nicht verfügbar war, werden bei der Ermittlung der Quote nicht berücksichtigt.
178
179Je verspätetem oder inkorrektem Mautbuchungsnachweis wird dem EETS-Anbieter eine Vertragsstrafe von 50 Euro berechnet.
Die korrekte und rechtzeitige Übermittlung von Tagesberichten ist wesentlich für die Einnahmeprüfung des Mauterhebers.
181Dafür werden keine separaten Quoten berechnet.
182Die Anzahl der nicht rechtzeitig und/oder nicht korrekt übermittelten Tagesberichte wird dem EETS-Anbieter in Form eines monatlichen Berichts zur Verfügung gestellt.
182
183Vielmehr werden Vertragsstrafen fällig, falls Tagesberichte entsprechend der Schnittstellenspezifikation 008 nicht rechtzeitig und korrekt übermittelt werden.
184Tagesberichte gelten als nicht korrekt, wenn sie vom Mauterheber im Rahmen der fachlichen Prüfung mit einem Fehler an den EETS-Anbieter zurückgemeldet werden.
185Tagesberichte werden nicht als inkorrekt gewertet, wenn sie innerhalb der vertraglich vereinbarten Fristen erneut und korrekt übermittelt werden.
186Tagesberichte, die verspätet beim Mauterheber eingetroffen sind, weil das System des Mauterhebers für eine Entgegennahme von Tagesberichten nicht verfügbar war, werden bei der Ermittlung der Quote nicht berücksichtigt.
186
187Je verspätetem oder inkorrektem Tagesbericht wird dem EETS-Anbieter eine Vertragsstrafe von 100 Euro berechnet.
Im Rahmen der Durchführung des Zulassungsverfahrens zur Erbringung mautdienstbezogener Leistungen auf dem EETS-Gebiet BFStrMG, sind vom BALM Gebühren für die Geltendmachung individuell zurechenbarer öffentlicher Leistungen zu erheben.
2
3Das Zulassungsverfahren gliedert sich in folgende Phasen:
Von einem EETS-Anbieter, der das Zulassungsverfahren durchläuft, sind die nachfolgend genannten Pauschalbeträge zu entrichten:
| Verfahrensphase | Pauschalentgelt | |
| a) | vor Beginn der Prüfung der Voraussetzungen und Dokumentation (GTP Prüfblock 1, Nummer 1, 2, 3 und 4) | 22 500 Euro |
| b) | vor Beginn der Prüfung der wirtschaftlichen Vorgaben | 25 500 Euro |
| c) | vor Beginn der GTP Phase 1 (GTP Prüfblock 2, Nummer 5) | 143 500 Euro |
| d) | vor Beginn des Probebetriebs (GTP Prüfblock, Nummer 6) | 48 500 Euro |
| e) | vor Beginn des Pilotbetriebs (GTP Prüfblock, Nummer 7) | 62 000 Euro |
| Gesamtbetrag: | 302 000 Euro |
Diese Pauschalbeträge sind jeweils vor Beginn der zugehörigen Verfahrensphase fällig.
6Das BALM fordert einen EETS-Anbieter vor jeder Verfahrensphase schriftlich zur Zahlung des Betrags auf.
7Die Verfahrensphase wird vom BALM erst nach Eingang der entsprechenden Zahlung eingeleitet.
Es ist möglich, dass eine erneute Prüfung eines Teils oder des gesamten Teilsystems eines EETS-Anbieters notwendig wird.
9Dies ist der Fall, wenn
Werden die durchgeführten Anpassungen oder Hinweise auf Nichteinhaltung von Vorgaben vom Mauterheber als derart gravierend eingestuft, dass die ursprünglichen Prüfaussagen nicht mehr als gültig akzeptiert werden können, sind die entsprechenden Teile der Prüfung zumindest für die von den Anpassungen betroffenen Systemteile erneut durchzuführen und die Systemteile und die dadurch tangierten Prüfszenarien exakt festzustellen und abzugrenzen.
9
10Die erneute Durchführung des Verfahrens zur Gebrauchstauglichkeit orientiert sich an denselben Phasen wie die initiale Durchführung.
11Sämtliche in der Bewertung der Änderungen als relevant eingestuften Prüfszenarien aller Verfahrensphasen müssen komplett durchlaufen werden.
12Die erneute Durchführung des Verfahrens zur Gebrauchstauglichkeit wird dem EETS-Anbieter berechnet, es sei denn, Änderungen im System des Mauterhebers sind ursächlich für die erneute Durchführung des Verfahrens.
13Sollte eine Verfahrensphase von der erneuten Durchführung nicht betroffen sein, ist der entsprechende Pauschalbetrag nicht zu entrichten.
13
14Sollte eine der Verfahrensphasen von der erneuten Durchführung teilweise betroffen sein, ist der Pauschalbetrag nach billigem Ermessen des Mauterhebers anteilig zu entrichten.
| Begriff | Definition |
| Abschnittsbezogene Erhebungsdaten | Abschnittsbezogene Erhebungsdaten resultieren aus der Erkennung mautpflichtiger Streckenabschnitte. |
| Anbieter | Rechtsperson, die den Nutzern durch einen Vertrag Zugang zu mehreren mautpflichtigen Streckennetzen gewährt, die Maut des Mautschuldners an die für die Erhebung der Maut in Bund und Ländern zuständige Behörde zahlt und im Mitgliedstaat registriert ist, in dem sie ihren Sitz oder eine ständige Niederlassung hat. |
| Auskehr der Maut | Bezeichnet die Abführung von streckenbezogenen Mauteinnahmen vom Anbieter an den Mauterheber. |
| Bankgarantie | Zahlungsgarantie einer Bank, mit der diese die finanzielle Absicherung ihres Kunden, für einen eventuellen Schaden einzustehen, übernimmt. |
| BDSG | Bundesdatenschutzgesetz |
| Benannte Stelle | Siehe notifizierte Stelle |
| Betreibergesellschaft | Als Betreibergesellschaft nach den Vorschriften des BFStrMG wurde in Deutschland die Toll Collect GmbH mit der Mitwirkung an der Erhebung der Maut für die Benutzung von Bundesautobahnen und Bundesstraßen durch schwere Nutzfahrzeuge nach § 4 Absatz 3 Satz 1 BFStrMG beauftragt. |
| Betreiber des Mautsystems | Siehe Betreibergesellschaft |
| BFStrMG | Bundesfernstraßenmautgesetz |
| BGB | Bürgerliches Gesetzbuch |
| Bordgerät | Auch: Fahrzeuggerät Der vollständige Satz von Hardware- und Softwarekomponenten, der für die Bereitstellung des EETS erforderlich ist und der für die Sammlung, Speicherung und Verarbeitung sowie den Fernempfang und die Fernübertragung von Daten in einem Fahrzeug eingebaut ist oder mitgeführt wird. |
| DSRC | Abkürzung für Dedicated Short Range Communication, steht für Nahbereichskommunikation |
| EETS | Abkürzung für European Electronic Toll Service. Steht für Europäischer Elektronischer Mautdienst (EEMD). |
| EETS-Anbieter | Siehe Anbieter |
| EETS-Gebiet BFStrMG | Gebiet des EETS in Deutschland, in dem Maut auf Grundlage des BFStrMG erhoben wird. |
| EETS-Register | Auch: Mautdienstregister. Nationales elektronisches Mautregister zum EETS gemäß Artikel 21 der Richtlinie (EU) 2019/520 und § 21 MautSysG. |
| Erfassungsquote | Maß für die Qualität der Mauterhebung im EETS-Gebiet BFStrMG gemäß EETS-Zulassungsvertrag Anlage 5 |
| EU-DSGVO | Europäische Datenschutz-Grundverordnung |
| Europäischer elektronischer Mautdienst | Deutsche Übersetzung für European Electronic Toll Service (EETS). |
| Fahrspur | Vom EETS-Anbieter an den Mauterhebungsdienst übermittelte Positionsdaten |
| Fahrzeuggerät | Auch: Bordgerät |
| Fehlvergebührung | Eine vom Mauterhebungsdienst fehlerhaft durchgeführte Erkennung oder Tarifierung einer Befahrung durch ein mautpflichtiges Fahrzeug |
| Gebrauchstauglichkeit | Fähigkeit von im EETS integrierten Interoperabilitätskomponenten, während des Betriebs in Verbindung mit dem System des Mauterhebers ein bestimmtes Leistungsniveau zu erreichen und aufrechtzuerhalten. Dies entspricht der Erfüllung der technischen Vorgaben, die in den Vorgaben für das EETS-Gebiet definiert sind. |
| Gebrauchstauglichkeitsbescheinigung | Bescheinigung über das Vorliegen der Gebrauchstauglichkeit. Die Gebrauchstauglichkeitsbescheinigung wird durch den Mauterheber oder eine benannte Stelle ausgestellt. |
| Kapitalintakthalteerklärung | Verpflichtung der Gesellschafter eines Unternehmens, gesamt- und einzelschuldnerisch weiteres Eigenkapital bereitzustellen. |
| Maut | Gebühr für die Benutzung des mautpflichtigen Streckennetzes durch schwere Nutzfahrzeuge auf der Grundlage des BFStrMG |
| Mautbetreiber | Siehe Betreibergesellschaft |
| Mautbuchungsnachweis | Ein Mautbuchungsnachweis enthält Informationen zu einer mautpflichtigen Fahrt eines Nutzers |
| Mauterheber | Englisch: Toll Charger Instanz, welche die Einnahmen aus der Straßenmaut beansprucht. In Deutschland übernimmt diese Rolle das BALM. Die Toll Collect GmbH ist mit Teilen dieser Rolle beliehen. |
| Mauterhebungsdienst | Der vom nationalen Mautbetreiber im Auftrag des Mauterhebers betriebene Mauterhebungsdienst (MED) führt basierend auf den von EETS-Anbietern übermittelten GNSS-Fahrspuren und Fahrzeugparametern die Erkennung, Tarifierung und Fahrtenbildung von Befahrungen des mautpflichtigen Streckennetzes durch. |
| Mautpflichtiges Straßennetz | Mautpflichtige Bundesautobahnen und Bundesstraßen gemäß BFStrMG |
| Mautschuldner | Siehe Nutzer |
| MautSysG | Mautsystemgesetz |
| Nationaler Mautbetreiber | Siehe Betreibergesellschaft |
| Nationales duales Mauterhebungssystem | Umfasst alle Einrichtungen und Prozesse des Betreibers gemäß § 4 Absatz 3 BFStrMG zur Erhebung der Maut im gesamten mautpflichtigen Streckennetz im Geltungsbereich des BFStrMG. |
| Notifizierte Stelle | Vom Mitgliedsstaat benannte notifizierte Stelle mit den in der Durchführungsverordnung (EU) 2020/204 beschriebenen Aufgaben und Zuständigkeiten. |
| Nutzer | Natürliche oder juristische Person, die mit einem EETS-Anbieter einen Vertrag schließt, um Zugang zum EETS zu erhalten. |
| Nutzerlisten | Die Nutzerliste wird von jedem EETS-Anbieter an den Mauterheber in periodischen Abständen übertragen. Sie enthält die User-IDs zu den Fahrzeugen, die aktuell bei dem EETS-Anbieter registriert und im EETS-Gebiet BFStrMG mautpflichtig sind. |
| Nutzerreferenzflotte | Die Nutzerreferenzflotte ist eine vom EETS-Anbieter ausgewählte Gruppe seiner Nutzer, die grundsätzlich aus Transportunternehmen des gewerblichen Güterkraftverkehrs besteht. Der EETS-Anbieter kann eine Nutzerreferenzflotte bereitstellen, die wirkbetriebskonform Befahrungen durchführt und für die Maut im EETS-Gebiet BFStrMG erhoben wird. |
| Rückwirkungsfreiheit | Das Mautdienst-Teilsystem des EETS-Anbieters und seine Systeme, Komponenten, Anlagen und Einrichtungen müssen so spezifiziert, entwickelt und betrieben werden, dass sie nicht durch andere Geräte oder Funkanwendungen gestört werden können und ihrerseits nicht andere Geräte oder Funkanwendungen stören. |
| Sperrliste | Die Sperrliste ist eine vom EETS-Anbieter an den Mauterheber zu übermittelnde Liste seiner gesperrten Bordgeräte. Englisch: Blocklist |
| Teilsystem | Auch: Mautdienst-Teilsystem Ein Teilsystem umfasst Einrichtungen und Prozesse zur Erhebung der Maut. |
| Verfahren zur Feststellung der Gebrauchstauglichkeit | Summe aller Aktivitäten des Mauterhebers, eines EETS-Anbieters und gegebenenfalls einer benannten Stelle, die erforderlich sind, um für das technische System des EETS-Anbieters den Nachweis der Gebrauchstauglichkeit zu erbringen. |
| Vermittlungsstelle | Vermittlungsstelle nach Artikel 11 der Richtlinie (EU) 2019/520 und § 28 MautSysG mit der Aufgabe, die Vermittlung bei Streitigkeiten im Zusammenhang mit der Zulassung nach § 10 MautSysG und der beschränkten Zulassung nach § 11 MautSysG zu erleichtern. |
| Vorgaben für das EETS-Gebiet BFStrMG | Durch die „Verordnung über die Vorgaben für das EETS-Gebiet Bundesfernstraßenmautgesetz (EEMD-Gebietsvorgabenverordnung – GVV)“ verbindlich erlassene Vorgaben für das EETS-Gebiet BFStrMG. Diese umfassen:
|
| VwVfG | Verwaltungsverfahrensgesetz |
| Zulassungsverfahren | Summe aller Aktivitäten des Mauterhebers und eines EETS-Anbieters, die erforderlich sind, um den Zulassungsvertrag abzuschließen. |
[Gegebenenfalls beizufügen.]
Die in dieser Anlage enthaltenen Regelungen dienen als Grundlage zur Berechnung der Vergütung des EETS-Anbieters („EETS-Vergütung“) und sind in Zusammenhang mit § 20 des EETS-Zulassungsvertrags zu verstehen.
2
3Die Anlage regelt grundsätzlich die Vergütung in der Vergütungsperiode 2026 bis 2027 (1. Januar 2026 bis 31. Dezember 2027).
4Sie enthält zusätzlich Regelungen für die Anpassung der Vergütung für den Zeitraum 1. September 2024 bis 31. Dezember 2025.
Inhalt
| 1. | Bestandteile der EETS-Vergütung |
| 1.1 | Betriebsentgelt |
| 1.2 | Entgelt Automatisches Verfahren (AV-Entgelt) |
| 1.3 | Nutzungs- und Zahlungsprovisionsentgelt |
| 1.4 | Bonus (EQ-Bonus) |
| 1.5 | Anpassung des Vergütungsmodells für den Vergütungszeitraum 1. September 2024 bis 31. Dezember 2025 |
| 2. | Überprüfung des EETS-Vergütungsmodells |
| 2.1 | Indexierung des AV-Tarifs |
| 2.2 | Prüfung und Bewertung der Entwicklung des EETS in Europa |
| 2.3 | Betriebsentgelt und Ermittlung der Änderungspauschale |
| 2.3.1 | Überprüfung und Festlegung der Änderungspauschale |
| 2.3.2 | Änderungspauschale bei zusätzlichen Änderungsvorhaben |
| 2.3.3 | Endabrechnung der Änderungspauschale bei Vertragsbeginn während einer Vergütungsperiode |
| 2.3.4 | Endabrechnung der Änderungspauschale bei nicht freigegebenen Änderungsvorhaben |
| 2.4 | Nutzungs- und Zahlungsprovisionsentgelt |
Das jährliche Betriebsentgelt für EETS-Anbieter ( ), die den Mauterhebungsdienst (MED) des Mauterhebers nicht nutzen und eine eigene Erkennung und Tarifierung (EET) betreiben, beträgt |
| 482 926 EUR |
Das jährliche Betriebsentgelt für EETS-Anbieter ( ), die den Mauterhebungsdienst (MED) des Mauterhebers nutzen, beträgt |
| 562 338 EUR |
– „Index der durchschnittlichen Bruttomonatsverdienste: Deutschland, Quartale, Wirtschaftszweige WZ08-62“ im angegebenen Quartal (Gewichtung 25 %)
|
– Erzeugerpreisindex für den Wirtschaftszweig „Telekommunikation“ (WZ08-61) (Telekom) im angegebenen Quartal (Gewichtung 25 %)
|
– Erzeugerpreisindex für Dienstleistungen Kategorie IT-Dienstleistungen (CPA08-620-01) im angegebenen Quartal (Gewichtung 50 %)
|
| Bereich | Änderungsvorhaben | Jährliche Änderungspauschale |
|---|---|---|
| A | konfigurative oder betriebliche Anpassungen an den technischen Anbindungen zur Produktiv- oder zu den Testumgebungen des Mauterhebers oder Anpassungen an den organisatorischen oder Backoffice-Schnittstellen zwischen EETS-Anbieter und Mauterheber | 105 835 EUR |
| B | keine Vorhaben in der Vergütungsperiode 2026 bis 2027 geplant | |
| C | keine Vorhaben in der Vergütungsperiode 2026 bis 2027 geplant | |
| Summe | 105 835 EUR |
| ./. | seit Vertragsbeginn als Teil des Betriebsentgelts für das Änderungsvorhaben bereits gezahlte Vergütung |
| = | noch offener Vergütungsbetrag für das Änderungsvorhaben |
(+++ EU-Vollzitate: vgl. Liste EU-Rechtsakte V v. 20.10.2025 I Nr. 244 +++)