(1) 1Diese Verordnung gilt für Fertigpackungen gleicher und ungleicher Nennfüllmenge, Maßbehältnisse und andere Verkaufseinheiten.
2Sie regelt insbesondere Kennzeichnungen nach den Größen Gewicht, Volumen, Länge, Fläche oder Stückzahl.
(2) § 43 Absatz 1 des Mess- und Eichgesetzes und diese Verordnung gelten nicht für
(+++ § 1 Abs. 2 Nr 2: Zur Anwendung vgl. § 15 Abs. 2 +++)
(+++ § 1 Abs. 2 Nr 2 und 3: Zur Anwendung vgl. § 30 Abs. 5 +++)
1Im Sinne dieser Verordnung sind die folgenden Begriffsbestimmungen anzuwenden:
2
Satz 1 Nr. 8 und 9 Kursivdruck: Wegen offensichtlicher Unrichtigkeit wurde die Angabe "(EG)" durch die Angabe "(EU)" ersetzt.
(1) 1Wer Fertigpackungen oder andere Verkaufseinheiten herstellt, in den Geltungsbereich des Mess- und Eichgesetzes verbringt, in den Verkehr bringt oder sonst auf dem Markt bereitstellt, muss sicherstellen, dass die Nennfüllmenge nach den Größen Gewicht oder Volumen angegeben ist.
2Satz 1 gilt nicht, sofern nach anderen Vorschriften eine Kennzeichnung mit den Größen Stückzahl, Länge oder Fläche bestimmt oder der Verzicht auf eine Kennzeichnung vorgesehen ist.
(2) Soweit nach anderen Vorschriften weder die Kennzeichnung mit einer der Größen Gewicht, Volumen, Stückzahl, Länge oder Fläche noch der Verzicht einer Größenkennzeichnung vorgegeben ist, hat die Angabe der Größe der allgemeinen Verkehrsauffassung zu entsprechen.
(3) 1Unbestimmte Nennfüllmengenangaben, die Angabe eines Nennfüllmengenbereichs oder die zusätzliche Angabe des Bruttogewichts sind unzulässig.
2Satz 1 gilt nicht, sofern nach anderen Vorschriften etwas anderes bestimmt ist.
(1) 1Die Bestimmungen dieses Abschnitts gelten für nach Gewicht oder Volumen gekennzeichnete Fertigpackungen gleicher Nennfüllmenge für Erzeugnisse, die nicht kleiner als 5 Gramm oder 5 Milliliter und nicht größer als 10 Kilogramm oder 10 Liter sind.
2Satz 1 gilt nicht für vorverpackte Lebensmittel und nicht vorverpackte Lebensmittel.
(2) Wer Fertigpackungen herstellt, in den Geltungsbereich des Mess- und Eichgesetzes verbringt, in den Verkehr bringt oder sonst auf dem Markt bereitstellt, muss sicherstellen, dass
(3) 1Fertigpackungen mit flüssigen Erzeugnissen sind nach Volumen, Fertigpackungen mit anderen Erzeugnissen nach Gewicht nach Maßgabe des Absatzes 4 zu kennzeichnen, soweit nach anderen Vorschriften nichts anderes geregelt ist oder nicht eine abweichende Kennzeichnung nach der allgemeinen Verkehrsauffassung geboten ist.
2Im Zweifel hat die Angabe nach der allgemeinen Verkehrsauffassung zu erfolgen.
(4) 1Die Nennfüllmenge ist
(+++ § 4 Abs. 4: Zur Anwendung vgl. § 13 Abs. 3 +++)
(+++ § 4 Abs. 4: Zur Anwendung vgl. § 14 Abs. 4 +++)
(1) Befindet sich ein festes Lebensmittel in einer Aufgussflüssigkeit, so ist auf der Fertigpackung neben der Nennfüllmenge auch das Abtropfgewicht dieses Lebensmittels anzugeben.
(2) 1Als Aufgussflüssigkeiten gelten folgende Erzeugnisse, sofern sie gegenüber den wesentlichen Bestandteilen der betreffenden Zubereitung nur eine untergeordnete Rolle spielen und folglich für den Kauf nicht ausschlaggebend sind:
2
(1) 1Fertigpackungen mit Erzeugnissen in Aerosolform sind nach Volumen zu kennzeichnen, auch wenn für das Erzeugnis nach anderen Vorschriften zusätzlich eine Kennzeichnung nach Gewicht vorgeschrieben ist.
2Als Volumen ist das Volumen der Flüssigphase anzugeben.
3Darüber hinaus ist das Gesamtfassungsvermögen der Packung anzugeben.
4Die Angabe nach Satz 3 ist so zu gestalten, dass sie sich von der Angabe des Nennvolumens des Inhalts deutlich unterscheidet.
(2) 1Fertigpackungen mit Wasch- und Reinigungsmitteln sowie Putz- und Pflegemitteln
(3) Fertigpackungen mit Klebstoffen sind nach Gewicht zu kennzeichnen.
(4) 1Fertigpackungen mit Lacken und Anstrichfarben sind nach Volumen zu kennzeichnen.
2Mittels Farbmischanlage im Groß- oder Einzelhandel hergestellte Fertigpackungen von Lacken und Anstrichfarben können auch nach Gewicht gekennzeichnet werden.
3Satz 2 gilt auch für überwiegend von Hand gemischte Lacke und Anstrichfarben in Fertigpackungen.
(5) Fertigpackungen mit Erzeugnissen für Heimtiere und freilebende Vögel sind nach Gewicht oder Volumen zu kennzeichnen.
(6) Auf Fertigpackungen mit photochemischen Erzeugnissen und mit chemischen und technischen Standardmaterialien und Reagenzmaterialien darf statt der Nennfüllmenge das Volumen der gebrauchsfertigen Zubereitung oder die Anzahl der Anwendungen oder Untersuchungen angegeben werden.
(+++ § 6 Abs. 1: Zur Anwendung vgl. § 13 Abs. 3 +++)
(+++ § 6 Abs. 1: Zur Geltung vgl. § 16 Abs. 2 +++)
Für Fertigpackungen mit Lebensmitteln sind die §§ 20, 21, 22 und 23 entsprechend anzuwenden.
(1) 1Auf Fertigpackungen sind der Name oder die Firma und der Ort der gewerblichen Niederlassung des Herstellers der Fertigpackung, im Falle eingeführter Fertigpackungen des Einführers, anzugeben.
2Die Angabe darf abgekürzt oder durch ein Zeichen ersetzt werden, sofern das Unternehmen für die zuständige Behörde aus der Abkürzung oder dem Zeichen leicht zu ermitteln ist.
(2) Absatz 1 ist nicht anzuwenden für
(1) Nach Gewicht oder Volumen gekennzeichnete Fertigpackungen dürfen nur so hergestellt werden, dass zum Zeitpunkt der Herstellung
(2) Nach Gewicht oder Volumen gekennzeichnete Fertigpackungen dürfen nur in den Geltungsbereich des Mess- und Eichgesetzes verbracht werden, wenn zum Zeitpunkt der Herstellung
(3) 1Die zulässigen Minusabweichungen betragen:
2
| Nennfüllmenge QN in g oder ml | Zulässige Minusabweichung | |
|---|---|---|
| in % von QN | in g oder ml | |
| 5 bis 50 | 9 | – |
| 50 bis 100 | – | 4,5 |
| 100 bis 200 | 4,5 | – |
| 200 bis 300 | – | 9 |
| 300 bis 500 | 3 | – |
| 500 bis 1 000 | – | 15 |
| 1 000 bis 10 000 | 1,5 | – |
(4) 1Nach Gewicht oder Volumen gekennzeichnete Fertigpackungen dürfen nur in den Verkehr gebracht oder sonst auf dem Markt bereitgestellt werden, wenn zum Zeitpunkt der Herstellung die Minusabweichung von der Nennfüllmenge die in der nachstehenden Tabelle genannten Werte der Verkehrsfähigkeit nicht überschreitet:
2
| Nennfüllmenge QN in g oder ml | Werte der Verkehrsfähigkeit | |
|---|---|---|
| in % von QN | in g oder ml | |
| 5 bis 50 | 18 | – |
| 50 bis 100 | – | 9 |
| 100 bis 200 | 9 | – |
| 200 bis 300 | – | 18 |
| 300 bis 500 | 6 | – |
| 500 bis 1 000 | – | 30 |
| 1 000 bis 10 000 | 3 | – |
(1) Mit dem Abtropfgewicht gekennzeichnete Fertigpackungen dürfen nur so hergestellt werden, dass der nach Anlage 3 Nummer 6 festgestellte Mittelwert das angegebene Abtropfgewicht nicht unterschreitet.
(2) Mit dem Abtropfgewicht gekennzeichnete Fertigpackungen dürfen nur in den Geltungsbereich des Mess- und Eichgesetzes verbracht werden, wenn der nach Anlage 3 Nummer 6 festgestellte Mittelwert das angegebene Abtropfgewicht nicht unterschreitet.
(3) 1Mit dem Abtropfgewicht gekennzeichnete Fertigpackungen dürfen nur in den Verkehr gebracht oder sonst auf dem Markt bereitgestellt werden, wenn die Anforderungen des § 9 Absatz 4 erfüllt sind.
2Abweichend von Satz 1 bestimmen sich bei Fertigpackungen, die überwiegend von Hand hergestellt werden oder natürlich gewachsene Lebensmittel enthalten, die Anforderungen nach dem Dreifachen der in der zweiten und dritten Spalte der Tabelle des § 9 Absatz 3 festgelegten Werte der zulässigen Minusabweichung.
(4) Bei Fertigpackungen mit glasierten Lebensmitteln darf das Überzugsmittel nicht in der angegebenen Nennfüllmenge des Lebensmittels enthalten sein.
(5) Für Fertigpackungen mit gefrorenem oder tiefgefrorenem Geflügelfleisch nach Artikel 9 der Verordnung (EG) Nr. 543/2008 der Kommission vom 16. Juni 2008 mit Durchführungsvorschriften zur Verordnung (EG) Nr. 1234/2007 des Rates hinsichtlich der Vermarktungsnormen für Geflügelfleisch (ABl. L 157 vom 17.6.2008, S. 46), die zuletzt durch die Verordnung (EU) Nr. 519/2013 der Kommission vom 21. Februar 2013 (ABl. L 158 vom 10.6.2013, S. 74) geändert worden ist, gelten die dort in Artikel 9 Absatz 4 festgelegten Füllmengenanforderungen.
(1) 1Das Zeichen „℮“ in der in Anhang II Nummer 3 der Richtlinie 2009/34/EG des Europäischen Parlaments und des Rates vom 23. April 2009 betreffend gemeinsame Vorschriften über Messgeräte sowie über Mess- und Prüfverfahren (Neufassung) (ABl. L 106 vom 28.4.2009, S. 7) dargestellten Form darf nur aufgebracht werden, wenn die Anforderungen der §§ 4, 6, 8, 9, 10 Absatz 5 und der §§ 38, 41 und 42 erfüllt sind.
2Ist neben der Nennfüllmenge auch das Abtropfgewicht anzugeben, so bezieht sich das Zeichen nur auf die Nennfüllmenge.
(2) Das Zeichen muss in einer Größe von mindestens 3 Millimeter Höhe und im gleichen Sichtfeld wie die Angabe der Nennfüllmenge aufgebracht werden.
(+++ § 11: Zur Anwendung vgl. § 12 Abs. 3 +++)
(+++ § 11: Zur Anwendung vgl. § 13 Abs. 3 +++)
(+++ § 11: Zur Geltung vgl. § 16 Abs. 2 +++)
(+++ § 11: Zur Nichtanwendung vgl. § 34 Abs. 2 Satz 4 +++)
(1) Die Anforderungen an Fertigpackungen mit EG-Düngemitteln richten sich nach Artikel 9 Absatz 1 Buchstabe a Spiegelstrich 9 bis 11 Buchstabe b zweiter Unterabsatz und den Artikeln 10 und 11 der Verordnung (EG) Nr. 2003/2003 des Europäischen Parlaments und des Rates vom 13. Oktober 2003 über Düngemittel (ABl. L 304 vom 21.11.2003, S. 1), soweit nachstehend keine Ergänzungen im Rahmen der Durchführung der Verordnung (EG) Nr. 2003/2003 bestimmt sind.
(2) EG-Düngemittel dürfen über die Anforderungen des Artikels 9 Absatz 1 Buchstabe a Spiegelstrich 9 bis 11, Artikel 10 Absatz 1 und 2 und Artikel 11 der Verordnung (EG) Nr. 2003/2003 hinaus nur durch den Hersteller nach Artikel 2 Buchstabe x der Verordnung (EG) Nr. 2003/2003 in den Geltungsbereich des Mess- und Eichgesetzes verbracht, in den Verkehr gebracht oder sonst auf dem Markt bereitgestellt werden, wenn
(3) Für nach Gewicht oder Volumen gekennzeichnete EG-Düngemittel sind die §§ 11, 34 Absatz 5 und § 42 entsprechend anzuwenden.
(1) Die Anforderungen an Fertigpackungen mit kosmetischen Mitteln richten sich nach Artikel 19 Absatz 1 Buchstabe a und Buchstabe b erster Halbsatz der Verordnung (EG) Nr. 1223/2009 des Europäischen Parlaments und des Rates vom 30. November 2009 über kosmetische Mittel (ABl. L 342 vom 22.12.2009, S. 59), die zuletzt durch die Verordnung (EU) 2017/2228 vom 4. Dezember 2017 (ABl. L 319 vom 5.12.2017, S. 2; L 326 vom 9.12.2017, S. 55) geändert worden ist, soweit nachstehend keine Ergänzungen im Rahmen der Durchführung der Verordnung (EG) Nr. 1223/2009 bestimmt sind.
(2) Vorverpackte kosmetische Mittel dürfen über die Anforderungen des Artikels 19 Absatz 1 Buchstabe a und Buchstabe b der Verordnung (EG) Nr. 1223/2009 hinaus durch die nach Absatz 4 verantwortliche Person nur auf dem Markt bereitgestellt werden, wenn
(3) Für nach Gewicht oder Volumen gekennzeichnete vorverpackte kosmetische Mittel sind § 4 Absatz 4, § 6 Absatz 1 und die §§ 11 und 42 entsprechend anzuwenden.
(4) Verantwortliche Person ist die nach Artikel 4 Absatz 3 bis 6 der Verordnung (EG) Nr. 1223/2009 benannte Person.
(1) Für Fertigpackungen mit kosmetischen Mitteln, die an den Verkaufsstellen auf Wunsch des Käufers verpackt werden oder im Hinblick auf ihren sofortigen Verkauf vorverpackt sind, ist § 5 der Kosmetik-Verordnung vom 16. Juli 2014 (BGBl. I S. 1054), die durch Artikel 2 der Verordnung vom 26. Januar 2016 (BGBl. I S. 108) geändert worden ist, anzuwenden.
(2) Für offene Packungen mit nicht vorverpackten kosmetischen Mitteln sowie für kosmetische Mittel, die auf Wunsch des Käufers verpackt werden oder im Hinblick auf ihren sofortigen Verkauf vorverpackt sind, ist § 5 der Kosmetik-Verordnung anzuwenden.
(3) Kosmetische Mittel nach den Absätzen 1 und 2 dürfen durch die nach Absatz 5 verantwortliche Person nur auf dem Markt bereitgestellt werden, wenn
(4) Für kosmetische Mittel nach den Absätzen 1 und 2 sind § 4 Absatz 4 und § 42 entsprechend anzuwenden.
(5) Verantwortliche Person ist die nach Artikel 4 Absatz 3 bis 6 der Verordnung (EG) Nr. 1223/2009 benannte Person.
(1) Die Anforderungen an Fertigpackungen mit vorverpackten und nicht vorverpackten Lebensmitteln und an andere Verkaufseinheiten mit vorverpackten und nicht vorverpackten Lebensmitteln,
(2) § 1 Absatz 2 Nummer 2 und die §§ 20, 21, 22 und 39 Absatz 2 und 3 sind im Einklang mit Artikel 42 der Verordnung (EU) Nr. 1169/2011 vorrangig anzuwenden.
(1) Die verantwortliche Person im Sinne des Artikels 8 Absatz 1 der Verordnung (EU) Nr. 1169/2011 muss sicherstellen, dass ein vorverpacktes Lebensmittel nur in den Verkehr gebracht wird, wenn die Füllmenge die Anforderungen nach den §§ 9, 10, 26, 32 oder des § 34 Absatz 3 entsprechend erfüllt.
(2) Für vorverpackte Lebensmittel gelten § 6 Absatz 1, die §§ 11, 34 Absatz 5 sowie die §§ 38, 40, 41 und 42 entsprechend.
(1) Die verantwortliche Person im Sinne des Artikels 8 Absatz 1 der Verordnung (EU) Nr. 1169/2011 muss sicherstellen, dass offene Packungen mit Obst oder Gemüse, die in Abwesenheit des Endverbrauchers verpackt worden sind und deren Inhalt verändert werden kann, nach Artikel 9 Absatz 1 Buchstabe e der Verordnung (EU) Nr. 1169/2011 gekennzeichnet sind.
(2) Das Nenngewicht ist durch ein Schild auf oder neben der Verpackung anzugeben und mit den Aufschriften nach § 4 Absatz 4 Satz 1 Nummer 1 und Satz 2 zu kennzeichnen.
(3) Die verantwortliche Person im Sinne des Artikels 8 Absatz 1 der Verordnung (EU) Nr. 1169/2011 muss sicherstellen, dass Obst und Gemüse nach Absatz 1 nur in den Verkehr gebracht wird, wenn die Füllmenge die Anforderungen nach § 9, § 29 Absatz 3 oder § 34 Absatz 3 entsprechend erfüllt.
(4) Für Obst und Gemüse nach Absatz 1 gelten
(5) Die verantwortliche Person im Sinne des Artikels 8 Absatz 1 der Verordnung (EU) Nr. 1169/2011 muss abweichend von den Anforderungen der Verordnung (EU) Nr. 1169/2011 sicherstellen, dass Obst und Gemüse nach Absatz 1 nach Maßgabe des § 21 Absatz 1 und des § 22 Absatz 1 gekennzeichnet sind.
(1) 1Die verantwortliche Person im Sinne des Artikels 8 Absatz 1 der Verordnung (EU) Nr. 1169/2011 muss sicherstellen, dass Backwaren gleichen Nenngewichts ohne Vorverpackung, die nach Gewicht zum Verkauf angeboten werden, nach Artikel 9 Absatz 1 Buchstabe e der Verordnung (EU) Nr. 1169/2011 gekennzeichnet sind.
2Satz 1 gilt nicht für Brot ohne Vorverpackung über 250 Gramm.
(2) Die verantwortliche Person im Sinne des Artikels 8 Absatz 1 der Verordnung (EU) Nr. 1169/2011 muss sicherstellen, dass Brot ohne Vorverpackung gleichen Nenngewichts über 250 Gramm nach Artikel 9 Absatz 1 Buchstabe e der Verordnung (EU) Nr. 1169/2011 gekennzeichnet ist.
(3) Das Nenngewicht ist durch ein Schild auf oder neben der Backware anzugeben und mit den Aufschriften nach § 4 Absatz 4 Satz 1 Nummer 1 und Satz 2 entsprechend zu kennzeichnen.
(4) Der Verantwortliche im Sinne des Artikels 8 Absatz 1 der Verordnung (EU) Nr. 1169/2011 muss sicherstellen, dass Backwaren ohne Vorverpackung nur in den Verkehr gebracht werden, wenn die Füllmenge die Anforderungen des § 9 entsprechend erfüllt.
(5) Für Backwaren ohne Vorverpackung gelten die §§ 38, 40 und 41 entsprechend.
(6) Die verantwortliche Person im Sinne des Artikels 8 Absatz 1 der Verordnung (EU) Nr. 1169/2011 muss abweichend von den Anforderungen der Verordnung (EU) Nr. 1169/2011 Backwaren ohne Vorverpackung nach den Absätzen 1 und 2 nach Maßgabe des § 21 Absatz 1 und Absatz 2 Nummer 1, des § 22 Absatz 1, Absatz 2 Satz 1 Nummer 3, 4 und 6 und Satz 2 kennzeichnen.
(1) Für Fertigpackungen mit Lebensmitteln, die im Hinblick auf ihren unmittelbaren Verkauf vorverpackt werden, ist die Angabe nach Artikel 9 Absatz 1 Buchstabe e der Verordnung (EU) Nr. 1169/2011 verpflichtend.
(2) Die verantwortliche Person im Sinne des Artikels 8 Absatz 1 der Verordnung (EU) Nr. 1169/2011 muss sicherstellen, dass ein für den unmittelbaren Verkauf vorverpacktes Lebensmittel nur in den Verkehr gebracht wird, wenn die Füllmenge die Anforderungen nach den §§ 9, 10, 26 und § 32 Absatz 1 oder § 34 Absatz 3 und 5 entsprechend erfüllt.
(3) Für den unmittelbaren Verkauf vorverpackte Lebensmittel gelten darüber hinaus die §§ 38, 39, 40, 41 und 42 entsprechend.
(4) Die verantwortliche Person im Sinne des Artikels 8 Absatz 1 der Verordnung (EU) Nr. 1169/2011 muss abweichend von den Anforderungen der Verordnung (EU) Nr. 1169/2011 sicherstellen, dass für den unmittelbaren Verkauf vorverpackte Lebensmittel nach Absatz 1 nach Maßgabe der §§ 20, 21 und 22 gekennzeichnet sind.
(1) Fertigpackungen mit flüssigen Lebensmitteln sind nach Volumen zu kennzeichnen, Fertigpackungen mit anderen Lebensmitteln nach Gewicht.
(2) Abweichend von Absatz 1 sind zu kennzeichnen
(3) Abweichend von Absatz 2 Nummer 1 Buchstabe b ist bei
(4) Bei Fertigpackungen, die ausschließlich für Endverbraucher bestimmt sind, die das Erzeugnis in ihrer selbstständigen beruflichen oder gewerblichen Tätigkeit verwenden, kann die verantwortliche Person im Sinne des Artikels 8 Absatz 1 der Verordnung (EU) Nr. 1169/2011 bei der Kennzeichnung von den Anforderungen der Absätze 1 bis 3 abweichen.
(+++ § 20: Zur Anwendung vgl. § 7 +++)
(+++ § 20 : Zur Anwendung vgl. § 15 Abs. 2 +++)
(1) Abweichend von § 20 Absatz 1 und 2 darf die verantwortliche Person im Sinne des Artikels 8 Absatz 1 der Verordnung (EU) Nr. 1169/2011 bei Fertigpackungen mit Obst und Gemüse, Backoblaten und Gewürzen die Stückzahl angeben, wenn die Erzeugnisse der allgemeinen Verkehrsauffassung entsprechend nur nach Stückzahl gehandelt werden.
(2) Die verantwortliche Person im Sinne des Artikels 8 Absatz 1 der Verordnung (EU) Nr. 1169/2011 darf die Stückzahl ferner bei folgenden Lebensmitteln angeben, sofern sie in Fertigpackungen mit mehr als einem Stück abgegeben werden und die Füllmenge weniger als 100 Gramm beträgt
(3) Bei Fertigpackungen mit Süßstofftabletten ist nur die Stückzahl anzugeben.
(+++ § 21: Zur Anwendung vgl. § 7 +++)
(+++ § 21: Zur Anwendung vgl. § 15 Abs. 2 +++)
(1) Bei Fertigpackungen mit Erzeugnissen, die der allgemeinen Verkehrsauffassung entsprechend nach Stückzahl gehandelt werden oder bei denen nach § 21 die Stückzahl anzugeben ist, ist die Angabe der Stückzahl nicht erforderlich, wenn alle Stücke sichtbar und leicht zählbar sind oder wenn das Erzeugnis handelsüblich nur als einzelnes Stück oder Paar in den Verkehr gebracht wird.
(2) Die Angabe der Nennfüllmenge ist ferner nicht erforderlich bei Fertigpackungen mit
(+++ § 22: Zur Anwendung vgl. § 7 +++)
(+++ § 22: Zur Anwendung vgl. § 15 Abs. 2 +++)
Vorverpackte Lebensmittel und für den unmittelbaren Verkauf vorverpackte Lebensmittel mit den in Anlage 1 Nummer 2 aufgeführten Weinen und Spirituosen in Fertigpackungen, die innerhalb der in Anlage 1 Nummer 1 genannten Füllmengenbereiche liegen, dürfen nur in den Verkehr gebracht werden, wenn die Nennfüllmenge einem der in Anlage 1 Nummer 1 aufgeführten Werte entspricht.
–(+++ § 23: Zur Anwendung vgl. § 7 +++)
Wer Fertigpackungen, die nach Stückzahl gekennzeichnet sind, herstellt, in den Geltungsbereich des Mess- und Eichgesetzes verbringt, in den Verkehr bringt oder sonst auf dem Markt bereitstellt, muss sicherstellen, dass
(1) Nach Stückzahl dürfen abweichend von § 4 Absatz 2 Nummer 1 gekennzeichnet werden
(2) Die Angabe der Stückzahl ist nicht erforderlich, wenn alle Stücke sichtbar und leicht zählbar sind oder wenn das Erzeugnis handelsüblich nur als einzelnes Stück oder Paar in den Verkehr gebracht wird.
(1) Nach Stückzahl gekennzeichnete Fertigpackungen mit einer Nennfüllmenge von 30 Stück oder weniger dürfen nur hergestellt, in den Geltungsbereich des Mess- und Eichgesetzes verbracht, in den Verkehr gebracht oder sonst auf dem Markt bereitgestellt werden, wenn sie mindestens die angegebene Menge enthalten.
(2) Nach Stückzahl gekennzeichnete Fertigpackungen mit einer Nennfüllmenge von mehr als 30 Stück dürfen nur hergestellt, in den Geltungsbereich des Mess- und Eichgesetzes verbracht, in den Verkehr gebracht oder sonst auf dem Markt bereitgestellt werden, wenn
(+++ § 26: Zur Geltung vgl. § 17 Abs. 4 +++)
(1) Wer Fertigpackungen, die nach Länge oder Fläche zu kennzeichnen sind, herstellt, in den Geltungsbereich des Mess- und Eichgesetzes verbringt, in den Verkehr bringt oder sonst auf dem Markt bereitstellt, muss sicherstellen, dass
(2) 1Wer Fertigpackungen in den Verkehr bringt, hat die Nennfüllmenge bei Angabe nach Länge in Zentimeter oder Meter und bei Angabe nach Fläche in Quadratzentimeter oder Quadratmeter in Ziffern zu kennzeichnen.
2Der Name der Einheit oder das Einheitenzeichen ist anzufügen.
(1) Nach Länge oder Fläche gekennzeichnete Fertigpackungen dürfen nur so hergestellt werden, dass der nach Anlage 4 Nummer 6 festgestellte Mittelwert der Füllmengen die angegebene Nennfüllmenge zum Zeitpunkt der Herstellung nicht unterschreitet.
(2) Nach Länge oder Fläche gekennzeichnete Fertigpackungen dürfen nur in den Geltungsbereich des Mess- und Eichgesetzes verbracht werden, wenn der nach Anlage 4 Nummer 6 festgestellte Mittelwert der Füllmengen die angegebene Nennfüllmenge zum Zeitpunkt der Herstellung nicht unterschreitet.
(3) 1Nach Länge oder Fläche gekennzeichnete Fertigpackungen dürfen nur in den Verkehr gebracht oder sonst auf dem Markt bereitgestellt werden, wenn die Minusabweichung den Wert bei einer Kennzeichnung
(4) Als Fläche gilt auch das Produkt aus gekennzeichneter Länge und Breite.
(5) 1Für Verbandstoffe, Heftpflaster und Wundschnellverbände gelten nur die Anforderungen der Absätze 1 und 2. Für Erzeugnisse, für die im Arzneibuch nach § 55 des Arzneimittelgesetzes Anforderungen an die Länge festgelegt sind, gelten diese Anforderungen.
2Für Reißverschlüsse gelten die anerkannten Regeln der Technik.
(1) Die Vorschriften dieser Verordnung über Fertigpackungen sind auf offene Packungen, die in Abwesenheit des Käufers hergestellt werden, entsprechend anzuwenden.
(2) Wer offene Packungen herstellt, in den Geltungsbereich des Mess- und Eichgesetzes verbringt, in den Verkehr bringt oder sonst auf dem Markt bereitstellt, muss sicherstellen, dass
(3) Abweichend von Absatz 2 Nummer 4 dürfen offene Packungen gleicher Nennfüllmenge auch in einer nachfolgenden Handelsstufe nur in den Geltungsbereich des Mess- und Eichgesetzes verbracht oder sonst auf dem Markt bereitgestellt werden, wenn die Füllmenge zu diesem Zeitpunkt die für Fertigpackungen festgelegte Verkehrsfähigkeitsgrenze von der Nennfüllmenge nicht überschreitet.
(1) Wer Verkaufseinheiten ohne Umhüllung gleichen Nenngewichts, gleicher Nennlänge oder gleicher Nennfläche herstellt, in den Geltungsbereich des Mess- und Eichgesetzes verbringt, in den Verkehr bringt oder sonst auf dem Markt bereitstellt, muss sicherstellen, dass
(2) Verkaufseinheiten ohne Umhüllung sind
(3) Der nach Anlage 3 Nummer 6 oder Anlage 4 Nummer 6 bestimmte Mittelwert der Füllmengen darf die angegebene Nennfüllmenge bei Verkaufseinheiten ohne Umhüllung zum Zeitpunkt der Herstellung nicht unterschreiten.
(4) Verkaufseinheiten ohne Umhüllung dürfen nur in den Verkehr gebracht oder sonst auf dem Markt bereitgestellt werden, wenn ihr Gewicht die in § 9 oder ihre Länge oder ihre Fläche die in § 28 Absatz 1 bis 3 und 5 Satz 1 festgelegten Minusabweichungen nicht überschreitet.
(5) § 1 Absatz 2 Nummer 2 und 3 und die §§ 33, 38, 39 und 41 sind anzuwenden.
(6) Die Absätze 1 bis 5 gelten nicht für Verkaufseinheiten, die ausschließlich für Endverbraucher bestimmt sind, die das Erzeugnis in ihrer selbstständigen beruflichen oder gewerblichen Tätigkeit verwenden.
Wer Fertigpackungen ungleicher Nennfüllmenge herstellt, in den Geltungsbereich des Mess- und Eichgesetzes verbringt, in den Verkehr bringt oder sonst auf dem Markt bereitstellt, muss sicherstellen, dass
(1) 1Nach Gewicht gekennzeichnete Fertigpackungen ungleicher Nennfüllmenge dürfen nur in den Verkehr gebracht oder sonst auf dem Markt bereitgestellt werden, wenn zum Zeitpunkt der Herstellung die Minusabweichung von der Nennfüllmenge die in der nachstehenden Tabelle festgelegten Werte nicht überschreitet:
2
| Nennfüllmenge QN in g | Werte der Verkehrsfähigkeit in g |
|---|---|
| weniger als 100 | 1,0 |
| 100 bis weniger als 500 | 2,0 |
| 500 bis weniger als 2 000 | 5,0 |
| 2 000 bis 10 000 | 10,0 |
(2) Nach Länge oder Fläche gekennzeichnete Fertigpackungen ungleicher Nennfüllmenge dürfen nur in den Verkehr gebracht oder sonst auf dem Markt bereitgestellt werden, wenn zum Zeitpunkt der Herstellung die Minusabweichung von der Nennfüllmenge die in § 28 Absatz 3 festgelegten Werte nicht überschreitet.
(+++ § 32 Abs. 1: Zur Geltung vgl. § 17 Abs. 4 +++)
Fertigpackungen mit einer Füllmenge von weniger als 5 Gramm oder 5 Milliliter dürfen ohne Nennfüllmengenangaben hergestellt, in den Geltungsbereich des Mess- und Eichgesetzes verbracht, in den Verkehr gebracht oder sonst auf dem Markt bereitgestellt werden, sofern nicht eine Mengenkennzeichnung nach anderen Vorschriften anzubringen ist.
–(+++ § 33: Zur Anwendung vgl. § 30 Abs. 5 +++)
(1) Die Vorschriften dieser Verordnung sind auf Fertigpackungen mit einer Füllmenge von mehr als 10 Kilogramm oder Liter nicht anzuwenden, soweit in den nachfolgenden Absätzen nichts anderes geregelt ist.
(2) 1Wer Kohle, Koks oder Briketts als Fertigpackungen mit einer Füllmenge von mehr als 10 Kilogramm oder Lacke, Anstrichfarben, Düngemittel, die nicht als EG-Düngemittel bezeichnet sind sowie Bodenhilfsstoffe, Kultursubstrate und Pflanzenhilfsmittel als Fertigpackungen mit einer Füllmenge von mehr als 10 Litern im Geltungsbereich des Mess- und Eichgesetzes herstellt, dorthin verbringt, dort in den Verkehr bringt oder sonst bereitstellt, muss sicherstellen, dass
(3) 1Bei Fertigpackungen nach Absatz 2 darf die nach Anlage 3 Nummer 7 festgestellte Minusabweichung von der angegebenen Nennfüllmenge, die in der Tabelle festgelegten Werte nicht überschreiten:
| Nennfüllmenge QN in kg oder l | Werte der Verkehrsfähigkeit | |
|---|---|---|
| in % von QN | in g oder ml | |
| 10 bis 15 | – | 150 |
| 15 bis 50 | 1,0 | – |
| 50 bis 100 | – | 500 |
| Mehr als 100 | 0,5 | – |
(4) 1Die Fertigpackungen mit Kohlen, Koks oder Briketts dürfen im Geltungsbereich des Mess- und Eichgesetzes nur mit einer Nennfüllmenge von 25, 50 oder 75 Kilogramm in den Verkehr gebracht oder sonst auf dem Markt bereitgestellt werden.
2Diese Nennfüllmenge kann in den Begleitpapieren angegeben werden.
3Die nach Anlage 3 Nummer 7 ermittelte Minusabweichung dieser Fertigpackungen darf in allen Handelsstufen die Verkehrsfähigkeitsgrenze der Tabelle nicht überschreiten:
4
| Nennfüllmenge QN in kg | Werte der Verkehrsfähigkeit | |
|---|---|---|
| in % von QN | in g | |
| 10 bis 15 | – | 300 |
| 15 bis 50 | 2,0 | – |
| 50 bis 100 | – | 1 000 |
| Mehr als 100 | 1,0 | – |
(5) 1Abfülleinrichtungen zur Herstellung von Fertigpackungen gleicher Nennfüllmenge sind von der Eichpflicht ausgenommen, wenn ihnen eine geeignete Waage nach Anlage 7 so nachgeschaltet ist, dass alle Fertigpackungen aussortiert werden, bei denen die Minusabweichung von der angegebenen Füllmenge die in der nachstehenden Tabelle festgelegten Werte überschreitet.
2Abweichend von Satz 1 kann eine Kontrolle nach § 41 unter Berücksichtigung anerkannter Methoden der Statistik erfolgen.
3Bei Fertigpackungen mit einer Füllmengenangabe nach Volumen ist die Dichte mit einem geeigneten Dichtemessgerät zu bestimmen.
| Nennfüllmenge QN in kg oder l | Werte der Verkehrsfähigkeit | |
|---|---|---|
| in % von QN | in g oder ml | |
| 10 bis 15 | – | 150 |
| 15 bis 50 | 1,0 | – |
| 50 bis 100 | – | 500 |
| Mehr als 100 | 0,5 | – |
(+++ § 34 Abs. 5: Zur Anwendung vgl. § 12 Abs. 3 +++)
(+++ § 34 Abs. 5: Zur Geltung vgl. § 16 Abs. 2 +++)
(+++ § 34 Abs. 5: Zur Geltung vgl. § 17 Abs. 4 +++)
(1) Maßbehältnis-Flaschen sind Behältnisse aus Glas oder anderen Werkstoffen mit einer Formsteifigkeit, die dieselben messtechnischen Garantien zulässt wie Glas, und
(2) Wer Maßbehältnis-Flaschen herstellt, in den Geltungsbereich des Mess- und Eichgesetzes verbringt, in den Verkehr bringt oder sonst auf dem Markt bereitstellt, hat sicherzustellen, dass die Maßbehältnis-
(3) 1Maßbehältnis-Flaschen müssen am Boden, an der Bodennaht oder am Mantel unverwischbar, deutlich lesbar und gut sichtbar folgende Angaben aufweisen

(4) Maßbehältnis-Flaschen müssen am Flaschenboden oder an der Bodennaht unverwischbar, deutlich lesbar und gut sichtbar folgende Angaben aufweisen
(5) Flaschen, die lediglich die Voraussetzungen nach Absatz 1 Nummer 1 und 3 erfüllen, gelten als Maßbehältnis-Flaschen, wenn sie
| Nennvolumen in ml | Randvollvolumen in ml |
|---|---|
| 20 | 21,5 |
| 25 | 27 |
| 30 | 32,5 |
| 40 | 42,5 |
(6) Wer Flaschen, die keine Maßbehältnis-Flaschen sind, herstellt, in den Geltungsbereich des Mess- und Eichgesetzes verbringt, in den Verkehr bringt oder sonst auf dem Markt bereitstellt, darf die Bezeichnungen in Absatz 3 Nummer 3 oder Absatz 5 Nummer 1 nicht aufbringen oder aufbringen lassen.
(1) Genauigkeitsanforderungen umfassen bei Maßbehältnis-Flaschen
(2) 1Ist nach § 35 Absatz 4 Nummer 1 das Randvollvolumen angegeben, darf das Randvollvolumen vom angegebenen Randvollvolumen um die nachstehenden Werte abweichen:
2
| Nennvolumen in ml | % des Nennvolumens | ml |
|---|---|---|
| bis 50 | 6 | – |
| 50 bis 100 | – | 3 |
| 100 bis 200 | 3 | – |
| 200 bis 300 | – | 6 |
| 300 bis 500 | 2 | – |
| 500 bis 1 000 | – | 10 |
| 1 000 bis 5 000 | 1 | – |
(3) Ist nach § 35 Absatz 4 Nummer 2 die Entfernung angegeben, darf das durch die angegebene Entfernung begrenzte Volumen vom Nennvolumen um die in Absatz 2 festgelegten Werte abweichen.
(4) Die zulässigen Abweichungen dürfen nicht planmäßig ausgenutzt werden.
(5) Die Randvollvolumen von Maßbehältnis-Flaschen sollen den Größenwerten nach den allgemein anerkannten Regeln der Technik entsprechen.
(1) Hersteller von Maßbehältnis-Flaschen, deren Nennvolumen nicht weniger als 0,05 Liter und nicht mehr als 5 Liter beträgt, haben bei der Physikalisch-Technischen Bundesanstalt schriftlich oder elektronisch die Erteilung eines Herstellerzeichens zu beantragen.
(2) Die Physikalisch-Technische Bundesanstalt kann vom Antragsteller verlangen,
(3) 1Die Physikalisch-Technische Bundesanstalt unterrichtet die zuständigen Stellen der Länder, der anderen Mitgliedstaaten der Europäischen Union oder die Europäische Kommission innerhalb eines Monats nach der Erteilung eines Herstellerzeichens.
2Die Physikalisch-Technische Bundesanstalt veröffentlicht in ihrer Internetdarstellung eine Liste mit den von ihr erteilten Herstellerzeichen.
(4) Einem von der Physikalisch-Technischen Bundesanstalt erteilten Herstellerzeichen steht ein Herstellerzeichen gleich, das von einem anderen Mitgliedstaat der Europäischen Union oder einem anderen Vertragsstaat des Abkommens über den Europäischen Wirtschaftsraum erteilt worden ist.
(1) Wer eine Fertigpackung herstellt, in den Geltungsbereich des Mess- und Eichgesetzes verbringt, in den Verkehr bringt oder sonst auf dem Markt bereitstellt, muss die Fertigpackung nach Maßgabe der Absätze 2 bis 6 leicht erkennbar, deutlich lesbar und unverwischbar kennzeichnen.
(2) 1Die Zahlenangaben der Nennfüllmenge müssen, soweit in dieser Verordnung nicht anders geregelt, mindestens folgende Schriftgrößen haben:
2
| Nennfüllmenge in g oder ml | Schriftgröße in mm |
|---|---|
| 5 bis 50 | 2 |
| mehr als 50 bis 200 | 3 |
| mehr als 200 bis 1 000 | 4 |
| mehr als 1 000 | 6 |
(3) 1Die Zahlen- und Schriftangaben nach § 35 Absatz 3 Nummer 1 und 2 und Absatz 4 und 5 müssen mindestens folgende Schriftgrößen haben:
2
| Nennfüllmenge in ml | Schriftgröße in mm |
|---|---|
| 5 bis 200 | 3 |
| mehr als 200 bis 1 000 | 4 |
| mehr als 1 000 | 6 |
(4) Die Zahlenangaben auf Sammelpackungen nach § 39 Absatz 3 und 4 müssen mindestens eine Schriftgröße von 4 Millimetern haben.
(5) Das Abtropfgewicht nach § 5 muss in unmittelbarer Nähe der Nennfüllmenge und mindestens in gleicher Schriftgröße wie diese angegeben werden.
(6) Abweichend von Absatz 2 muss die Schriftgröße der Zahlenangaben auf Fertigpackungen ungleicher Nennfüllmenge, zu deren Herstellung Waagen mit Gewichtsabdruck verwendet werden, mindestens 2 Millimeter betragen.
(7) Wer Fertigpackungen im Hinblick auf ihren unmittelbaren Verkauf überwiegend von Hand herstellt und anbietet, darf die Nennfüllmenge durch ein Schild auf oder neben der Fertigpackung angeben.
(8) Bei Fertigpackungen mit Lebensmitteln mit einem Gewicht über 10 Kilogramm oder einem Volumen über 10 Liter ist in den Fällen des Artikel 8 Absatz 7 der Verordnung (EU) Nr. 1169/2011 die Nennfüllmenge auf der Fertigpackung oder auf einem mit ihr verbundenen Etikett zu kennzeichnen oder aber auf den Handelspapieren, die sich auf das Lebensmittel beziehen, sofern gewährleistet werden kann, dass diese Papiere entweder dem Lebensmittel, auf das sie sich beziehen, beiliegen oder aber vor- oder gleichzeitig mit der Lieferung versendet werden.
(+++ § 38: Zur Geltung vgl. § 16 Abs. 2 +++)
(+++ § 38 Abs. 1, 2, 6 und 8: Zur Geltung vgl. § 17 Abs. 4 +++)
(+++ § 38: Zur Geltung vgl. § 18 Abs. 5 +++)
(+++ § 38: Zur Geltung vgl. § 19 Abs. 3 +++)
(+++ § 38: Zur Anwendung vgl. § 30 Abs. 5 +++)
(1) 1Wer eine Fertigpackung aus mehreren, nicht zum Einzelverkauf bestimmten Packungen desselben Erzeugnisses herstellt, in den Geltungsbereich des Mess- und Eichgesetzes verbringt, in den Verkehr bringt oder sonst auf dem Markt bereitstellt, muss diese mit der gesamten Nennfüllmenge und der Anzahl der einzelnen Packungen kennzeichnen.
2Die Angabe der Anzahl der Packungen darf entfallen, wenn alle Packungen sichtbar und leicht zählbar sind.
(2) Besteht eine Fertigpackung aus mehreren, nicht zum Einzelverkauf bestimmten Packungen mit verschiedenartigen Erzeugnissen oder sind in eine Fertigpackung verschiedenartige Erzeugnisse gesondert abgefüllt, so sind die Mengen der einzelnen Erzeugnisse anzugeben.
(3) 1Bei Packungen, die aus mehreren Fertigpackungen bestehen (Sammelpackungen), ist zusätzlich zur Angabe der Nennfüllmenge auf den einzelnen Fertigpackungen auf der Umhüllung der Sammelpackung die Anzahl und die Nennfüllmenge der einzelnen Fertigpackungen anzugeben.
2Diese zusätzlichen Angaben sind nicht erforderlich, wenn die einzelnen Fertigpackungen sichtbar und leicht zählbar sind und die Angabe der Füllmenge auf allen Fertigpackungen, bei Fertigpackungen gleicher Nennfüllmenge wenigstens auf einer Fertigpackung, erkennbar ist.
(4) 1Bei Sammelpackungen aus mehreren Fertigpackungen mit Weinen oder Spirituosen nach § 23 gelten die in Anlage 1 Nummer 1 aufgeführten Nennfüllmengen für jede einzelne Fertigpackung.
2Bei Fertigpackungen aus mehreren nicht zum Einzelverkauf bestimmten Packungen gelten die in Anlage 1 Nummer 1 aufgeführten Nennfüllmengen für die Fertigpackung.
(+++ § 39 Abs. 2 und 3: Zur Anwendung vgl. § 15 Abs. 2 +++)
(+++ § 39: Zur Geltung vgl. § 19 Abs. 3 +++)
(+++ § 39: Zur Anwendung vgl. § 30 Abs. 5 +++)
(1) 1Die Marktüberwachungsbehörden überprüfen anhand von Stichproben auf geeignete Weise und in dem erforderlichen Umfang die Einhaltung:
2
(2) 1Die Prüfung nach Absatz 1 kann bei der Herstellung oder dem Verbringen in den Geltungsbereich des Mess- und Eichgesetzes und in allen Stufen des Handels erfolgen.
2Es ist das Verfahren zur Prüfung der Füllmengen von Fertigpackungen der Anlage 3 oder Anlage 4 anzuwenden.
3Ausnahmen zum Prüfzeitraum bestimmen sich nach Anlage 5.
(3) 1Die Einhaltung der §§ 35 und 36 können von der zuständigen Behörde durch Stichproben in den Betrieben geprüft werden, die Maßbehältnis-Flaschen herstellen, in den Geltungsbereich des Mess- und Eichgesetzes verbringen oder in den Verkehr bringen.
2Für die Prüfung ist das Verfahren zur Prüfung von Maßbehältnis-Flaschen der Anlage 6 anzuwenden.
(+++ § 40: Zur Geltung vgl. § 16 Abs. 2 +++)
(+++ § 40: Zur Geltung vgl. § 17 Abs. 4 +++)
(+++ § 40: Zur Geltung vgl. § 18 Abs. 5 +++)
(+++ § 40: Zur Geltung vgl. § 19 Abs. 3 +++)
(1) Wer Fertigpackungen gleicher Nennfüllmenge mit Gewichtskennzeichnung oder Volumenkennzeichnung herstellt, in den Geltungsbereich des Mess- und Eichgesetzes verbringt, in den Verkehr bringt oder sonst auf dem Markt bereitstellt, hat sicherzustellen, dass bei deren Abfüllung mit einem für den vorgesehenen Verwendungszweck geeigneten Messgerät, das den Anforderungen des Mess- und Eichgesetzes genügt,
(2) Wer Fertigpackungen gleicher Nennfüllmenge mit Kennzeichnung nach Stückzahl, Länge oder Fläche herstellt, in den Geltungsbereich des Mess- und Eichgesetzes verbringt, in den Verkehr bringt oder sonst auf dem Markt bereitstellt, muss die Einhaltung der Nennfüllmenge
(3) 1Im Rahmen der Messung oder Kontrolle der Füllmengen sind allgemein anerkannte Messverfahren oder anerkannte statistische Grundsätze anzuwenden.
2Die zur Kontrolle oder Messung verwendeten Messgeräte müssen den Anforderungen der Anlage 7 entsprechen.
(4) 1Die Ergebnisse nach Absatz 3 sind aufzuzeichnen.
2Die Aufzeichnungen sind bis zur jeweils folgenden Prüfung nach § 40 aufzubewahren.
(5) Werden Fertigpackungen, auf die nicht das ℮-Zeichen nach § 11 aufgebracht ist, überwiegend von Hand hergestellt, kann die zuständige Behörde auf Antrag Ausnahmen von den Absätzen 1 bis 4 zulassen, wenn dadurch die Einhaltung der Nennfüllmengenanforderungen nicht gefährdet wird.
(6) 1Zur Kontrolle der Füllmengen von Maßbehältnis-Flaschen und der Gewichte von Garnen können an Stelle von Messgeräten andere geeignete Kontrolleinrichtungen oder Mittel zur Überprüfung verwendet werden.
2Das Gleiche gilt für die Prüfung von Füllmengen nach Länge, Fläche oder Stückzahl gekennzeichneter Fertigpackungen sowie für nicht EG-Düngemittel, Bodenhilfsstoffe, Kultursubstrate und Pflanzenhilfsmittel.
(+++ § 41: Zur Geltung vgl. § 16 Abs. 2 +++)
(+++ § 41: Zur Geltung vgl. § 17 Abs. 4 +++)
(+++ § 41: Zur Geltung vgl. § 18 Abs. 5 +++)
(+++ § 41: Zur Geltung vgl. § 19 Abs. 3 +++)
(+++ § 41: Zur Anwendung vgl. § 30 Abs. 5 +++)
1Die Nennfüllmengenanforderungen sind hinsichtlich des Volumens auf eine Temperatur von 20 °C bezogen.
2Satz 1 gilt nicht für tiefgekühlte und gefrorene Erzeugnisse, deren Nennfüllmenge in Volumen gekennzeichnet wird.
(+++ § 42: Zur Anwendung vgl. § 12 Abs. 3 +++)
(+++ § 42: Zur Anwendung vgl. § 13 Abs. 3 +++)
(+++ § 42: Zur Anwendung vgl. § 14 Abs. 4 +++)
(+++ § 42: Zur Geltung vgl. § 16 Abs. 2 +++)
(+++ § 42: Zur Geltung vgl. § 17 Abs. 4 +++)
(+++ § 42: Zur Geltung vgl. § 19 Abs. 3 +++)
Ordnungswidrig im Sinne des § 60 Absatz 1 Nummer 26 des Mess- und Eichgesetzes handelt, wer vorsätzlich oder fahrlässig
(1) Sammelpackungen, die vor dem 1. November 2021 hergestellt wurden, dürfen abweichend von § 38 Absatz 4 in den Geltungsbereich des Mess- und Eichgesetzes verbracht, in den Verkehr gebracht oder auf dem Markt bereitgestellt werden.
(2) Messgeräte, die vor dem 31. Dezember 2021 nach § 27 oder § 31 der Fertigpackungsverordnung in der Fassung der Bekanntmachung vom 8. März 1994 (BGBl. I S. 451, 1307), die zuletzt durch Artikel 27 der Verordnung vom 5. Juli 2017 (BGBl. I S. 2272) geändert worden ist, zum Kontrollieren verwendet worden sind, brauchen bis zum Ablauf des 31. Dezember 2031 noch nicht den Anforderungen der Anlage 7 zu entsprechen.
| Wein | Im Füllmengenbereich zwischen 100 ml und 1 500 ml sind ausschließlich die acht nachstehenden Nennfüllmengen zulässig: ml: 100 – 187 – 250 – 375 – 500 – 750 – 1 000 – 1 500 |
| Gelbwein | Im Füllmengenbereich zwischen 100 ml und 1 500 ml ist ausschließlich die nachstehende Nennfüllmenge zulässig: ml: 620 |
| Schaumwein | Im Füllmengenbereich zwischen 125 ml und 1 500 ml sind ausschließlich die fünf nachstehenden Nennfüllmengen zulässig: ml: 125 – 200 – 375 – 750 – 1 500 |
| Likörwein | Im Füllmengenbereich zwischen 100 ml und 1 500 ml sind ausschließlich die sieben nachstehenden Nennfüllmengen zulässig: ml: 100 – 200 – 375 – 500 – 750 – 1 000 – 1 500 |
| Aromatisierter Wein | Im Füllmengenbereich zwischen 100 ml und 1 500 ml sind ausschließlich die sieben nachstehenden Nennfüllmengen zulässig: ml: 100 – 200 – 375 – 500 – 750 – 1 000 – 1 500 |
| Spirituosen | Im Füllmengenbereich zwischen 100 ml und 2 000 ml sind ausschließlich die neun nachstehenden Nennfüllmengen zulässig: ml: 100 – 200 – 350 – 500 – 700 – 1 000 – 1 500 – 1 750 – 2 000 |
| Shochu | Im Füllmengenbereich zwischen 100 ml und 2 000 ml sind auch die folgenden Nennfüllmengen zulässig: ml: 720 – 1 800 |
| Wein | Wein im Sinne von Artikel 1 Absatz 2 Buchstabe l in Verbindung mit Anhang I, Teil XII, Buchstabe b der Verordnung (EU) Nr. 1308/2013 des Europäischen Parlaments und des Rates vom 17. Dezember 2013 über eine gemeinsame Marktorganisation für landwirtschaftliche Erzeugnisse und zur Aufhebung der Verordnungen (EWG) Nr. 922/72, (EWG) Nr. 234/79, (EG) Nr. 1037/2001 und (EG) Nr. 1234/2007 (ABl. L 347 vom 20.12.2013, S. 671), zuletzt geändert durch die Verordnung (EU) Nr. 2017/2393 (ABl. L 350 vom 29.12.2017, S. 15); KN-Code ex 2204 |
| Gelbwein | Französischer Wein im Sinne von Artikel 56 in Verbindung mit Anhang VII Ziffer 3 Buchstabe b mit der Ursprungsbezeichnung „Côtes du Jura“, „Arbois“, „L´Etoile“ und „Château-Chalon“ in Flaschen im Sinne von Anhang VII Ziffer 3 Buchstabe a der Delegierten Verordnung (EU) 2019/33 der Kommission vom 17. Oktober 2018 zur Ergänzung der Verordnung (EU) Nr. 1308/2013 des Europäischen Parlaments und des Rates in Bezug auf Anträge auf Schutz von Ursprungsbezeichnungen, geografischen Angaben und traditionellen Begriffen im Weinsektor, das Einspruchsverfahren, Einschränkungen der Verwendung, Änderungen der Produktspezifikationen, die Löschung des Schutzes sowie die Kennzeichnung und Aufmachung (ABl. L 9 vom 11.1.2019, S. 2) |
| Schaumwein | Weinbauerzeugnis im Sinne des Anhangs VII, Teil II Nummer 4, 7, 8 und 9 der Verordnung (EU) Nr. 1308/2013; KN-Code 2204 10 |
| Likörwein | Wein im Sinne des Anhangs VII Teil II Nummer 3 der Verordnung (EU) Nr. 1308/2013; |
| Aromatisierter Wein | Aromatisierter Wein im Sinne von Artikel 3 Absatz 2 der Verordnung (EU) Nr. 251/2014 des Europäischen Parlaments und des Rates vom 26. Februar 2014 über die Begriffsbestimmung, Beschreibung, Aufmachung und Etikettierung von aromatisierten Weinerzeugnissen sowie den Schutz geografischer Angaben für aromatisierte Weinerzeugnisse und zur Aufhebung der Verordnung (EWG) Nr. 1601/91 des Rates (ABl. L 84 vom 20.3.2014, S. 14); KN-Code 2205 |
| Spirituosen | Spirituosen im Sinne von Artikel 2 Absatz 1 bis 3 der Verordnung (EG) Nr. 110/2008 des Europäischen Parlaments und des Rates vom 15. Januar 2008 zur Begriffsbestimmung, Bezeichnung, Aufmachung und Etikettierung von Spirituosen sowie zum Schutz geografischer Angaben für Spirituosen und zur Aufhebung der Verordnung (EWG) 1576/89 (ABl. L 39 vom 13.2.2008, S. 16; KN-Code 2208), zuletzt geändert durch Verordnung (EU) Nr. 787/2019 (ABl. L 130 vom 17.5.2019, S. 1); KN-Code 2208 |
| Shochu | Spirituosen im Sinne von Artikel 24a der Verordnung (EG) Nr. 110/2008 |
| Erzeugnis | Zeitpunkt der Herstellung | |
|---|---|---|
| a) | Räucherwaren, Würste, die nach dem Einfüllen des Brätes in die Wursthülle noch nachbehandelt werden (räuchern, lufttrocknen, kochen, braten) | Nach Abschluss der Zweitverpackung durch verkaufsfertige Herrichtung wie Folienverpackung, Etikettierung, Anbringen von Plomben usw. |
| b) | schnittfeste Rohwürste | Sobald das Verhältnis von fleischeigenem Wasser zu Fleischeiweiß (Federzahl) 2,5 und bei einem Kaliberdurchmesser über 70 Millimeter 2,8 beträgt |
| c) | tiefgefrorene Erzeugnisse, tiefgefrorenes Schlachtgeflügel | Nach dem Schockgefrieren |
| d) | Speiseeis | Nach dem Aushärten nach mindestens 2-wöchiger Gefrierhauslagerung |
| e) | stückige Seife | 1 Stunde nach der Ausformung |
| Erzeugnis | Zeitpunkt der Herstellung | |
|---|---|---|
| a) | Obst- & Gemüsekonserven und sonstige pflanzliche Lebensmittel als Konserve | 30 Tage nach dem Sterilisieren |
| b) | Bratfischmarinaden | 48 Stunden nach dem Aufgießen |
| c) | Würstchen, Fleisch und andere Fleischerzeugnisse | 5 Tage nach dem Sterilisieren |
| d) | Mozzarella und Käse, der in einer oder aus einer Flüssigkeit in Verkehr gebracht wird | 5 Tage nach Abfüllung |
| N | n | c | d | k | |||
|---|---|---|---|---|---|---|---|
| 100 | bis | 500 | 50 | 3 | 4 | 0,379 | |
| 501 | bis | 3 200 | 80 | 5 | 6 | 0,295 | |
| 3 201 | bis | 10 000 | 125 | 7 | 8 | 0,234 | |
| 10 001 | und mehr | 160 | 8 | 9 | 0,207 | ||
| N | |||
|---|---|---|---|
| 10 | bis | 99 | |
| N | n | c | d | k | |||
|---|---|---|---|---|---|---|---|
| 10 | bis | 99 | 5 | 0 | 1 | 2,058 | |
| 100 | bis | 500 | 8 | 0 | 1 | 1,237 | |
| 501 | bis | 3 200 | 13 | 1 | 2 | 0,847 | |
| 3 201 | bis | 10 000 | 20 | 1 | 2 | 0,640 | |
| 10 001 | und mehr | 30 | 2 | 3 | 0,503 | ||
| N | n | c | d | k | |||
|---|---|---|---|---|---|---|---|
| 10 | bis | 99 | 5 | – | – | 2,058 | |
| 100 | bis | 500 | 8 | – | – | 1,237 | |
| 501 | bis | 3 200 | 13 | – | – | 0,847 | |
| 3 201 | bis | 10 000 | 20 | – | – | 0,640 | |
| 10 001 | und mehr | 30 | – | – | 0,503 | ||
| N | n | c | d | k | |||
|---|---|---|---|---|---|---|---|
| Unabhängig vom Losumfang (N | 20 | 1 | 2 | 0,640 | |||
| N | n | |||
|---|---|---|---|---|
| Unabhängig vom Losumfang (N | 20 | |||
| N | Losgröße | |||||||
| n | Stichprobenumfang | |||||||
| c | Annahmezahl | |||||||
| d | Rückweisezahl | |||||||
| k | Faktor zur Berechnung des Vertrauensbereichs; | |||||||
![]() | mit t als Zufallsvariable der Studentverteilung | |||||||

| N | n | a | |||||
|---|---|---|---|---|---|---|---|
| 26 | bis | 50 | 3 | 1,0 | |||
| 51 | bis | 150 | 5 | 0,35 | |||
| 151 | bis | 500 | 8 | 0,2 | |||
| 501 | bis | 3 200 | 13 | 0,15 | |||
| 3 201 | bis | 10 000 | 20 | 0,1 | |||
| 10 001 | und mehr | 30 | 0,085 | ||||
| N | Losgröße | ||||||
| n | Stichprobenumfang | ||||||
| a | Faktor zur Berechnung des Sicherheitszuschlages |
, brauchen die Einzellängen nicht größer als 0,2 Meter zu sein.
| Erzeugnis | Prüfzeitraum | |
|---|---|---|
| a) | Backwaren ohne Vorverpackung | Bis 11 Stunden nach dem Zeitpunkt der Backofenentnahme |
| b) | Frisches Obst oder Gemüse, Kartoffeln | Bis zu 1 Monat nach dem Zeitpunkt der Herstellung |
| c) | Lösungsmittelhaltige Klebstoffe | Bis zu 1 Woche nach dem Zeitpunkt der Herstellung |
| Erzeugnis | Prüfzeitraum | |
|---|---|---|
| a) | Obst, Gemüse und sonstige pflanzliche Lebensmittel als Konserve | Bis 2 Jahre nach dem Zeitpunkt der Herstellung |
| b) | Fische, Erzeugnisse aus gesalzenen Fischen, Anchosen, Marinaden, Kochfischwaren, Fischdauerkonserven, Muscheln, Krabben, wechselwarme Tiere, Krusten- und Schalentiere, Weichtiere oder Erzeugnisse aus diesen Tieren, außer glasierte Erzeugnisse | Bis 14 Tage nach dem Zeitpunkt der Herstellung |
| c) | Bratfischmarinaden | Bis 14 Tage nach dem Zeitpunkt der Herstellung |
| d) | Mozzarella und Käse, der in einer oder aus einer Flüssigkeit in Verkehr gebracht wird | Bis 14 Tage nach dem Zeitpunkt der Herstellung |
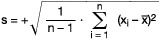
| Der Mittelwert der Stichprobe ist: | ![]() |

| Nennfüllmenge QN der Fertigpackung in [g] oder [ml] | größter zulässiger Eichwert in [g] | |||||||
|---|---|---|---|---|---|---|---|---|
| von | 5 | bis weniger als | 10 | 0,1 | ||||
| von | 10 | bis weniger als | 25 | 0,2 | ||||
| von | 25 | bis weniger als | 150 | 0,5 | ||||
| von | 150 | bis weniger als | 350 | 1,0 | ||||
| von | 350 | bis weniger als | 1 750 | 2,0 | ||||
| von | 1 750 | bis weniger als | 3 500 | 5,0 | ||||
| von | 3 500 | bis weniger als | 7 000 | 10,0 | ||||
| von | 7 000 | bis weniger als | 25 000 | 20,0 | ||||
| von | 25 000 | bis weniger als | 50 000 | 50,0 | ||||
| von | 50 000 | bis weniger als | 100 000 | 100,0 | ||||
| von | 100 000 | bis weniger als | 600 000 | 200,0 | ||||
| von | 600 000 | bis | 1 500 000 | 500,0 | ||||
| Nennfüllmenge QN der Fertigpackung in [g] oder [ml] | größter zulässiger Eichwert in [g] | |||||||
|---|---|---|---|---|---|---|---|---|
| von | 5 | bis weniger als | 20 | 0,1 | ||||
| von | 20 | bis weniger als | 50 | 0,2 | ||||
| von | 50 | bis weniger als | 175 | 0,5 | ||||
| von | 175 | bis weniger als | 500 | 1,0 | ||||
| von | 500 | bis weniger als | 5 000 | 2,0 | ||||
| von | 5 000 | bis weniger als | 10 000 | 5,0 | ||||
| von | 10 000 | bis weniger als | 15 000 | 10,0 | ||||
| von | 15 000 | bis weniger als | 50 000 | 20,0 | ||||
| von | 50 000 | bis | 100 000 | 50,0 | ||||