print

Nationale Sonderbestimmungen – BinSchUO2018Anh II

Teil I <B><span>Fähren</span></B> Kapitel 1 <span>Sondervorschriften für Fähren, Allgemeines</span> §§ 1.01 Anzuwendende Vorschriften 1.02 Begriffsbestimmungen 1.03 Fährzeugnis 1.04 Kennzeichnung der Fähren
Kapitel 2 <span>Bau, Einrichtung und Ausrüstung von Fähren</span> Unterkapitel 1 <span>Fähren, die keine Kahn- und Kahnseilfähren sind</span> 2.01 Allgemeines 2.02 Fährkörper 2.03 Nachweis der Intakt- und Leckstabilität 2.04 Einsenkungsmarken 2.05 Festigkeit des Wagendecks 2.06 Rettungsmittel 2.07 Anker 2.08 Zusätzliche Ausrüstung 2.09 Landeklappen
Unterkapitel 2 <span>Kahn- und Kahnseilfähren</span> 2.10 Allgemeines 2.11 Fährkörper 2.12 Nachweis der Intakt- und Leckstabilität 2.13 Ausrüstung
Kapitel 3 <span>Zusätzliche Anforderungen an seilgebundene oder kettengebundene Fähren</span> 3.01 Begriffsbestimmungen 3.02 Nachweis der Intakt- und Leckstabilität für seilgebundene oder kettengebundene Fähren 3.03 Einsenkungsmarken 3.04 Berechnung und Konstruktion der Seil- und Kettenanlagen 3.05 Prüfung 3.06 Prüfbedingungen und Prüfinhalte 3.07 Bescheinigung
Kapitel 4 <span>Übergangsbestimmungen für Fähren</span> 4.01 Übergangsbestimmungen für Fähren, die schon in Betrieb sind

Teil II <span>Barkassen</span> Kapitel 5 <span>Sondervorschriften für Barkassen</span>

5.01 Allgemeines 5.02 Schiffskörper 5.03 Stabilität 5.04 Höchstzulässige Zahl der Fahrgäste 5.05 Freibord und Sicherheitsabstand 5.06 Rettungsmittel 5.07 Anker 5.08 Ausrüstung
Kapitel 6 <span>Übergangsbestimmungen für Barkassen</span> 6.01 Übergangsbestimmungen für Barkassen, die schon in Betrieb sind
Teil III <span>Fahrgastboote</span> Kapitel 7 <span>Sondervorschriften für Fahrgastboote</span> 7.01 Allgemeine Bestimmungen 7.02 Anforderungen an Fahrgastboote in Zone 2 7.03 Anforderungen an Fahrgastboote in Zone 3 oder 4 7.04 Anforderungen an Fahrgastboote mit Segeln 7.05 Sicherheit am Arbeitsplatz 7.06 Übergangs- und Sonderbestimmungen
Teil IV <span>Abweichungen</span> Kapitel 8 <span>Abweichungen</span> 8.01 Abweichungen hinsichtlich Zulassung
Anlage 1 (weggefallen) Anlage 2 (weggefallen)
Teil I
Fähren
Kapitel 1
Sondervorschriften für Fähren, Allgemeines

1.
Für Fähren, die keine Kahn- oder Kahnseilfähren sind, sind die Kapitel 1, 2 Unterkapitel 1 und das Kapitel 4 sowie, soweit zutreffend, das Kapitel 3 anzuwenden.
2.
Für Kahn- und Kahnseilfähren sind die Kapitel 1 und 2 Unterkapitel 2 anzuwenden.

1In diesem Anhang gelten als:
2

1.
„Personenfähre“ eine nur zur Beförderung von Personen gebaute Fähre;
2.
„Wagenfähre“ eine zur Beförderung von Landfahrzeugen, Personen und sonstigen Lasten gebaute und eingerichtete Fähre;
3.
„frei fahrende Fähren“ Kahnfähren, Personenmotorfähren, Wagenmotorfähren;
4.
„Kahnfähre“ eine zur Beförderung von Personen gebaute, offene Fähre, die durch Muskelkraft fortbewegt wird; zusätzlich kann – zur Beherrschung besonderer Betriebslagen – ein Hilfsantrieb installiert sein;
5.
„Personenmotorfähre“ eine Personenfähre mit maschinellem Antrieb;
6.
„Wagenmotorfähre“ eine Wagenfähre mit maschinellem Antrieb;
7.
„seil- oder kettengebundene Fähren“ Querseilfähren, Kahnseilfähren, Seilfähren, Kettenfähren, Gierseilfähren;
8.
„Querseilfähre“ eine Personen- oder Wagenfähre, die an einem an beiden Ufern befestigten Seil geführt wird und entweder an diesem Führungsseil oder an einem zweiten Seil (Zugseil) mit der Hand oder durch eine Winde von einem Ufer zum anderen bewegt wird (Personenquerseilfähre, Wagenquerseilfähre);
9.
„Kahnseilfähre“ eine Kahnfähre, die an einem Seil per Hand, hilfsweise durch einen Hilfsmotor, fortbewegt wird, einschließlich der Seilanlage und der Verankerungen;
10.
„Seilfähre“ eine Personen- oder Wagenfähre, die an einem Seil durch eine Seilwinde fortbewegt wird, einschließlich der Seilanlage sowie der Abspannmasten und der Verankerung (Personenseilfähre, Wagenseilfähre);
11.
„Kettenfähre“ eine Seilfähre, die anstelle der Seile mit Ketten ausgerüstet ist (Personenkettenfähre, Wagenkettenfähre);
12.
„Gierseilfähre“ eine Personen- oder Wagenfähre, die ausschließlich durch Einnehmen einer Gierstellung, an einem festen Seil geführt, quer zur Fließrichtung eines Flusses fortbewegt wird, einschließlich der Seilanlage sowie der Abspannmasten und der Verankerung (Personengierseilfähre, Wagengierseilfähre);
13.
„Gierseilfähre mit Hilfsantrieb“ eine Gierseilfähre, die zusätzlich mit eigenem Antrieb versehen ist;
14.
„Landfahrzeug“ ein Kraftfahrzeug, ein Pferdefuhrwerk, ein fahrbares Gerät oder Zugfahrzeuge; Zugfahrzeuge gelten hierbei zusammen mit ihren Anhängern als ein Landfahrzeug;
15.
„Gesamtgewicht eines Landfahrzeugs“ das Gewicht eines Landfahrzeugs einschließlich seiner Ladung in Tonnen, das in beliebiger Anzahl bis zum Erreichen der Tragfähigkeit auf der verfügbaren Ladefläche des Fährdecks in beliebiger Anordnung aufgestellt werden kann;
16.
„Tragfähigkeit“ die Gesamtzuladefähigkeit einer Wagenfähre in Tonnen mit homogener oder gemischter Last;
17.
„maximales Gesamtgewicht des schwersten Landfahrzeugs“ die Masse eines Landfahrzeugs einschließlich seiner Ladung in Tonnen, das allein und ohne gleichzeitige Beförderung weiterer Nutzlasten bei ausschließlich mittiger Aufstellung auf dem Fährdeck einer Wagenfähre befördert werden kann;
18.
„Länge in der Wasserlinie“ oder „LWL“ das Begriffverständnis im Sinne des ES-TRIN unter Berücksichtigung der Landeklappen, wenn diese während der Fahrt die Lateralfläche vergrößern;
19.
„Landeklappe“ eine kippbare Überbrückung zwischen Fährdeck und Land;
20.
„Schrammbord“ eine radabweisende seitliche Fahrbahnbegrenzung;
21.
„Gierschwert“ eine ein- und austauchbare Fläche zur Vergrößerung des Unterwasserlateralplans;
22.
„Fährdeck" das durchlaufende Deck der Fähren, auf dem die beförderten Fahrzeuge oder die sonstige Ladung aufgestellt sowie Fahrgäste versammelt werden.
Für die Anwendung des ES-TRIN tritt das Fährzeugnis an die Stelle des Schiffsattestes, des Unionszeugnisses oder des Binnenschiffszeugnisses.

1.
Die Ergebnisse aus den Stabilitäts- und Festigkeitsberechnungen sind im Fährzeugnis einzutragen und an Bord der Fähre an auffallender Stelle deutlich sichtbar anzubringen.
2.
Bei seil- und kettengebundenen Fähren sind die Einträge für Niedrigwasser, Mittelwasser und Hochwasser entsprechend den in den Stabilitätsberechnungen eingesetzten Fließgeschwindigkeiten vorzunehmen.
3.
Fährstellen sind unter Angabe des Flusskilometers, an der sie sich befinden, in das Fährzeugnis einzutragen.
4.
Wird die Fähre auch zum sonstigen Schiffsverkehr verwendet, insbesondere zum Wechseln der Fährstelle, zur Fahrt zu oder von einer Werft, ist dieser Verwendungszweck im Fährzeugnis einzutragen. Dabei ist die gewerbliche Beförderung von Personen oder Gütern verboten.

An allen Fähren muss als Kennzeichen auf beiden Längsseiten ein mindestens 30 cm hohes „F“ mit heller Farbe auf dunklem Grund oder mit dunkler Farbe auf hellem Grund deutlich sichtbar angebracht sein.

Kapitel 2
Bau, Einrichtung und Ausrüstung von Fähren
Unterkapitel 1
Fähren, die keine Kahn- und Kahnseilfähren sind

1Für Fähren sind der ES-TRIN sowie die Anhänge III bis VII mit den sich aus den nachfolgenden Vorschriften ergebenden Maßgaben anzuwenden:
2

1.
Kapitel 5 ES-TRIN gilt für freifahrende Fähren mit maschinellem Hauptantrieb.
2.
Kapitel 15 ES-TRIN gilt, wenn die ständige Anwesenheit von Besatzungsmitgliedern auch außerhalb der Arbeitsstunden erforderlich ist.
3.
Kapitel 19 ES-TRIN gilt mit folgenden Abweichungen:
a)
Artikel 19.01 Nummer 3 ES-TRIN gilt nicht.
b)
Befinden sich die Verkehrsflächen, die für die Nutzung durch Personen mit eingeschränkter Mobilität vorgesehen sind, auf dem freien Fährdeck und ist dieses über ausreichend breite Landeklappen zugänglich, so müssen nur die für Personen mit eingeschränkter Mobilität vorgesehenen Plätze den Anforderungen des Artikels 19.01 Nummer 4 ES-TRIN entsprechen.
c)
Landeklappen sind als Sammelflächen nach Artikel 19.06 Nummer 8 ES-TRIN geeignet, wenn die Festigkeit und die Stabilität nachgewiesen und die Landeklappen durch feste Absperrvorrichtungen nach § 2.08 Nummer 1 ES-TRIN gesichert sind.
d)
Landstege nach Artikel 19.06 Nummer 12 Buchstabe e ES-TRIN können durch mindestens zwei gegenüberliegende Landeklappen ersetzt werden, wenn diese geeignet sind, die Aufgabe der Landstege zu erfüllen; bei Personenfähren genügt eine Landeklappe.
e)
Toiletten nach Artikel 19.06 Nummer 17 ES-TRIN sind nur erforderlich, wenn beim Übersetzverkehr von einem Ufer zum anderen die Fahrtdauer zehn Minuten übersteigt. Soweit keine Toiletten erforderlich sind, sind Einrichtungen zum Sammeln und Entsorgen häuslicher Abwässer nach Artikel 19.14 ES-TRIN nicht erforderlich.
f)
Ein zweites unabhängiges Antriebssystem nach Artikel 19.07 ES-TRIN ist für seil- und kettengebundene Fähren nicht erforderlich.
g)
Abweichend von Artikel 19.10 Nummer 7 ES-TRIN können Lichtmaschinen als Notstromquelle genutzt werden, wenn folgende Bedingungen erfüllt sind:
aa)
es sind mindestens drei voneinander unabhängige Hauptmaschinenräume mit jeweils einer Antriebsmaschine und einer entsprechenden Lichtmaschine vorhanden,
bb)
jede dieser Lichtmaschinen kann im Bedarfsfall die Funktion des Notstromaggregats übernehmen und
cc)
die Hauptmaschinenräume können nicht gleichzeitig geflutet werden.
4.
Anhang III gilt mit folgenden Abweichungen:
a)
§ 6.05 gilt nicht für Fähren auf Wasserstraßen der Zone 2-Binnen,
b)
die Kapitel 3 und 4 sowie § 6.05 gelten nicht für Fähren auf Wasserstraßen der Zone 2-See,
c)
die §§ 10.02 bis 10.04 gelten nicht für Fähren auf Wasserstraßen der Zone 1.
5.
Auf Wasserstraßen der Zone 4 sind die §§ 3.02 und 3.03 des Anhangs IV nicht anzuwenden.
6.
Auf Wasserstraßen der Zone 1 und Zone 2-See sind seil- und kettengebundene Fähren nicht zugelassen.
7.
Auf Fähren, die für die Beförderung von weniger als 100 Fahrgästen zugelassen sind und deren LWL 25 m nicht überschreitet, ist abweichend von dem ES-TRIN
a)
eine motorisch angetriebene Lenzpumpe nach Artikel 19.08 Nummer 5 ES-TRIN,
b)
eine tragbare Feuerlöschpumpe nach Artikel 19.12 Nummer 2 ES-TRIN und
c)
ein Hydrant am Steuerhaus nach Artikel 19.12 Nummer 3 Buchstabe a ES-TRIN ausreichend.
8.
Auf Personenfähren, die für die Beförderung von bis zu zwölf Fahrgästen zugelassen sind und deren Länge 15 m nicht überschreitet, gelten folgende Bestimmungen nicht:
a)
Artikel 19.08 Nummer 4 bis 6 sowie Nummer 9 und 10 ES-TRIN,
b)
Artikel 19.09 Nummer 1 Satz 1 und Nummer 11 ES-TRIN,
c)
Artikel 19.12 Nummer 1 bis 8 ES-TRIN.

1.
An beiden Enden des Fährkörpers muss ein Kollisionsschott nach Artikel 3.03 Nummer 1 Buchstabe a ES-TRIN vorhanden sein. Legt die Fähre seitlich an, gilt Satz 1 für das gegen die Strömung gerichtete Schiffsende.
2.
Das Fährdeck muss wasserdicht und selbstlenzend ausgeführt sein.

1.
Der Antragsteller weist anhand einer Berechnung nach, dass die Intaktstabilität der Fähre den nachstehenden Voraussetzungen entspricht. Die Berechnung muss nach Artikel 19.03 Nummer 1, 3 bis 6 ES-TRIN in Verbindung mit den §§ 1.02 Nummer 1 Buchstabe a, 7.03 oder § 10.08 des Anhangs III durchgeführt werden. Sie muss in Abhängigkeit von der zu befahrenden Wasserstraße durchgeführt werden.
2.
Können beim Krängungsversuch nur ungenügende Krängungswinkel erzielt werden oder führt die Durchführung des Krängungsversuchs zu unzumutbaren Schwierigkeiten, so kann Artikel 22.06 Nummer 2 ES-TRIN angewendet werden.
3.
In der Berechnung für Personen, Landfahrzeuge und Großvieh sind mindestens folgende Last- und Maßannahmen zu verwenden:
NutzlastLast-
annahmen
Abmessungen
L ∙ B ∙ H
mittlere Höhe
der Ladung
über Deck
mittlere Höhe des Massen-
schwer-
punktes
über Deck
mittlere Höhe
des Schwerpunktes
der Windangriffsfläche
der Ladung über Deck
[t][m][m][m][m]
Personen0,0751,81,00,85
Lastkraftwagen mit Ladung3212 · 2,55 · 44,01,62,00
Sattelzug mit Ladung4415,5 · 2,55 · 44,01,62,00
Personenkraftwagen ohne Personen1,74,2 · 1,9 · 1,71,70,80,75
Großvieh0,752,5 · 1 · 1,71,71,01,00
Die mittlere Höhe des Gewichtsschwerpunktes der Ladung und des Schwerpunktes der Windangriffsfläche der Ladung ist auf den tiefsten Punkt des Fährdecks auf halber Länge der Fähre zu beziehen und bei nicht durchgehenden, höher gelegenen Decks auf die halbe Länge des betreffenden Decks zu beziehen. Der seitliche Abstand von Fahrzeugen ist so zu planen, dass die Fahrzeuge im Notfall verlassen werden können.
4.
Die Berechnung der Intaktstabilität muss abweichend von Artikel 19.03 Nummer 2 ES-TRIN mindestens folgende Ladefälle erfassen:
a)
Fähre ausschließlich mit Personen beladen,
aa)
maximale Anzahl der Personen in möglichst ungünstigen Aufstellungen, die wie folgt festzulegen sind:
Für die Berechnung der ungünstigsten Lage der Schwerpunkte bezüglich der Krängung werden die maximal seitlichen Positionen der Personenansammlung SBb und SStb ermittelt.
Für die Berechnung der ungünstigsten Lage der Schwerpunkte bezüglich des Trimms werden die maximal möglichen Positionen der Personenansammlung Sa und Sv in Längsrichtung ermittelt.
Für die Berechnung der ungünstigsten Lage der Schwerpunkte bezüglich Krängung und Trimm werden die vier Koordinaten mit SL und SQ bestimmt und wie folgt berechnet:
Die Abbildung stellt folgende Formel dar: S tiefgestellter Index L gleich S tiefgestellter Index v plus S tiefgestellter Index a geteilt durch zwei plus minus S tiefgestellter Index v minus S tiefgestellter Index a geteilt durch Wurzel 8.
Die Abbildung stellt folgende Formel dar: S tiefgestellter Index Q gleich S tiefgestellter Index Bb minus S tiefgestellter Index Stb geteilt durch 2 plus minus S tiefgestellter Index Bb plus S tiefgestellter Index Stb geteilt durch Wurzel 8.
Mit:
Sv
= Schwerpunkt der Personenansammlung mit minimaler Distanz zum Bug,
Sa
= Schwerpunkt der Personenansammlung mit minimaler Distanz zum Heck,
SBb
= Schwerpunkt der Personenansammlung maximal nach Backbord verschoben,
SStb
= Schwerpunkt der Personenansammlung maximal nach Steuerbord verschoben,
SL
= Schwerpunkt in Längsrichtung,
SQ
= Schwerpunkt in Querschiffsrichtung.
Von den beiden Schwerpunktlagen Sv oder Sa ist die Position mit dem größeren Abstand zum Auftriebsschwerpunkt für die Berechnung der Intaktstabilität zu nutzen.
Von den beiden Schwerpunktlagen SBb oder SStb ist die Position mit dem größeren Abstand zum Auftriebsschwerpunkt für die Berechnung der Intaktstabilität zu nutzen.
Von den vier Schwerpunktlagen, die mit den Formeln für SL und SQ bestimmt werden, ist die Position mit dem größten Abstand zum Auftriebsschwerpunkt für die Berechnung der Intaktstabilität zu nutzen.
Die Abbildung zeigt die Draufsicht einer Fähre. Auf dem Fährkörper ist eine Ellipse eingezeichnet. Weiterhin wird S tiefgestellter Index a als Schwerpunkt achtern, S tiefgestellter Index v als Schwerpunkt vorn, S tiefgestellter Index Stb als Schwerpunkt Steuerbord, S tiefgestellter Index Bb als Schwerpunkt Backbord und die Formel S tiefgestellter Index v plus S tiefgestellter Index a geteilt durch zwei plus minus S tiefgestellter Index v minus S tiefgestellter Index a geteilt durch Wurzel 8 und die Formel S tiefgestellter Index Bb minus S tiefgestellter Index Stb geteilt durch zwei plus minus S tiefgestellter Index Stb plus S tiefgestellter Index Bb geteilt durch Wurzel 8.
Abbildung 1: Skizze zur maximalen Anzahl der Personen in möglichst ungünstigsten Aufstellungen
bb)
alle Tanks zu 50 % gefüllt,
b)
Fähre einseitig jeweils nach Steuer- und nach Backbord beladen,
aa)
mit Landfahrzeugen in möglichst ungünstigen Aufstellungen, entsprechend zu Buchstabe a ermittelt, bis zur Fährmitte, wobei der noch zur Verfügung stehende Platz der belasteten Seite mit kleineren Landfahrzeugen und mit Personen aufzufüllen ist,
bb)
alle Tanks zu 50 % gefüllt,
c)
Fähre ausschließlich mit Landfahrzeugen beladen,
aa)
Landfahrzeuge „in möglichst ungünstigsten Aufstellungen“, entsprechend zu Buchstabe a ermittelt,
bb)
alle Tanks zu 50 % gefüllt,
d)
Fähre mit dem schwersten Landfahrzeug beladen,
aa)
schwerstes Landfahrzeug nach § 1.02 Nummer 17 in mittiger Aufstellung auf dem Fährdeck,
bb)
alle Tanks zu 50 % gefüllt,
e)
Fähre bis an die Grenze der Tragfähigkeit beladen,
aa)
maximale Anzahl der Personen,
bb)
maximale Anzahl der Landfahrzeuge,
cc)
Treibstoff- und Frischwassertanks zu 98 % gefüllt,
dd)
Abwassertank zu 10 % gefüllt,
f)
Fähre leer,
aa)
ohne Personen und ohne Landfahrzeuge,
bb)
Treibstoff- und Frischwassertanks zu 10 % gefüllt,
cc)
Vorratsräume und Abwassertanks leer.
Im Fall der Nummer 4 Buchstabe b und c ist die Annahme einer Verschiebung der Landfahrzeuge höchstens bis zum Schrammbord ausreichend. Für die Erfüllung der Intaktstabilität nach Nummer 1 müssen die Ladefälle nach Nummer 4 Buchstabe a bis f nachgewiesen sein. Bei den vorgenannten Ladefällen ist bei Wagenfähren
a)
das Fährdeck rutschhemmend auszuführen und
b)
im Lateralplan nach Artikel 19.03 Nummer 5 ES-TRIN die Beladung mit zum Beispiel Lastkraftwagen oder Personenkraftwagen zu berücksichtigen.
Die Generaldirektion Wasserstraßen und Schifffahrt kann Nachweise für weitere Ladefälle verlangen.
5.
Als Ergebnis der Stabilitätsberechnung sind im Fährzeugnis festzulegen:
a)
bei Belastung der Fähre ausschließlich mit Personen,
aa)
die höchstzulässige Anzahl der Fahrgäste,
bb)
die Verdrängung (m3),
b)
bei Belastung der Fähre mit Personen, Landfahrzeugen oder sonstigen Lasten,
aa)
die höchstzulässige Anzahl der Fahrgäste,
bb)
die Tragfähigkeit in Tonnen (t),
cc)
das Gesamtgewicht eines von mehreren Landfahrzeugen in Tonnen (t),
dd)
das maximale Gesamtgewicht des schwersten Landfahrzeugs in Tonnen (t).
6.
Der Antragsteller muss durch eine Berechnung nachweisen, dass die Leckstabilität der Fähre angemessen ist. Die Berechnung muss nach Artikel 19.03 Nummer 7, 9 bis 13 ES-TRIN in Verbindung mit §§ 1.02, 7.03 oder 10.08 des Anhangs III sowie § 4.03 des Anhangs IV durchgeführt werden. Sie muss in Abhängigkeit von der zu befahrenden Wasserstraße durchgeführt werden. Hierbei
a)
müssen abweichend vom Artikel 19.03 Nummer 8 Satz 1 ES-TRIN die Ladefälle nach Nummer 4 nachgewiesen werden,
b)
müssen die Fähren den 1-Abteilungsstatus nach Artikel 19.03 Nummer 9 ES-TRIN nicht einhalten, wenn der 2-Abteilungsstatus nach Artikel 19.03 ES-TRIN eingehalten wird,
c)
darf der B/3-Abstand nach Artikel 19.03 Nummer 9 Buchstabe a ES-TRIN auf einen B/5-Abstand vermindert werden.
Für Fähren, die für die Beförderung von mehr als 50 und weniger als 100 Fahrgästen zugelassen sind und deren LWL 25 m nicht überschreitet, gilt Artikel 19.15 Nummer 1 ES-TRIN entsprechend.
7.
Während der Fahrt und beim Beladen oder Entladen der Fähre darf der nach Artikel 19.03 Nummer 2 und 3 ES-TRIN zulässige Krängungswinkel nicht überschritten und der für die jeweilige Zone zulässige Restfreibord nicht unterschritten werden, wobei beim Beladevorgang oder Entladevorgang die Fähre freischwimmend zu betrachten ist, es sei denn, das Fährgefäß wird beim Abstützen auf der Rampe durch eine formschlüssige Verbindung in einer festen Lage gehalten.
8.
Für Personenfähren für die Beförderung von bis zu zwölf Fahrgästen, deren Länge 15 m nicht überschreitet, müssen im symmetrisch gefluteten Zustand folgende Anforderungen durch eine Berechnung nachgewiesen werden:
a)
die Fähre darf maximal bis zur Tauchgrenze eintauchen und
b)
die verbleibende metazentrische Höhe GMR darf 0,10 m nicht unterschreiten.
Der erforderliche Restauftrieb ist durch
a)
die geeignete Wahl des Materials des Schiffskörpers,
b)
Auftriebskörper aus geschlossenzelligem Schaum, die fest mit dem Rumpf verbunden sind,
c)
örtliche Unterteilungen, die wasserdichte Teilräume bilden,
d)
einen 1-Abteilungsstatus nach Artikel 19.03 Nummer 9 ES-TRIN oder
e)
eine Kombination aus den genannten Möglichkeiten nach Satz 2 Buchstabe a bis d zu gewährleisten.

Artikel 4.03 Nummer 10 ES-TRIN ist anzuwenden; jedoch müssen mindestens zwei Einsenkungsmarkenpaare auf je einem Drittel der Länge vorhanden sein.

1Bei Wagenfähren muss der Antragsteller durch eine Berechnung die Festigkeit des Wagendecks nachweisen.
2Für die Berechnung ist eine Belastung mit den zulässigen Landfahrzeugen, die sich aus den Stabilitätsberechnungen ergeben, zugrunde zu legen.
3Als Ergebnis der Festigkeitsberechnung ist festzulegen:
4

a)
die zulässige Achslast einer Einzelachse von Landfahrzeugen in Tonnen (t),
b)
die zulässige Achslast einer Doppelachse von Landfahrzeugen in Tonnen (t).

1.
Einzelrettungsmittel nach Artikel 19.09 Nummer 4 ES-TRIN können durch Sammelrettungsmittel nach Artikel 19.09 Nummer 5 ES-TRIN in Verbindung mit Artikel 19.09 Nummer 7 bis 9 ES-TRIN ersetzt werden.
2.
Landeklappen können als Übergangseinrichtungen nach Artikel 19.09 Nummer 3 ES-TRIN angesehen werden, sofern sie hierfür geeignet sind.
3.
Personenfähren, die für mehr als 250 Fahrgäste, sowie Wagenfähren, die für mehr als 250 Fahrgäste oder für mehr als 150 t Tragfähigkeit zugelassen sind, müssen zusätzlich zu Nummer 1 mit einem Beiboot nach Artikel 13.07 ES-TRIN ausgerüstet sein.
4.
Die Untersuchungskommission kann bei Fähren von der Erfüllung der Anforderung der Nummer 3 in den Fällen des Artikels 19.15 Nummer 5 und 6 ES-TRIN absehen; dabei gelten die Landeklappen als vergleichbare Einrichtungen zu Plattformen, wenn diese die in Artikel 19.15 Nummer 5 und 6 ES-TRIN beschriebenen Anforderungen und Bestimmungen erfüllen.

1.
Für Fähren, die mindestens zwei voneinander unabhängige in jeder Richtung voll wirksame Antriebe haben, genügt die Ausrüstung mit nur einem Anker.
2.
Das örtlich zuständige Wasserstraßen- und Schifffahrtsamt kann seilgebundene oder kettengebundene Fähren auf den Wasserstraßen der Zone 4 von dem Erfordernis einer Ausrüstung mit Anker befreien, wenn die Sicherheit und Leichtigkeit des Verkehrs nicht gefährdet ist.

1.
Die bordseitigen, dem Zu- und Abgang dienenden Öffnungen von Personenfähren oder Wagenfähren müssen abweichend von Artikel 19.06 Nummer 10 und Nummer 12 Buchstabe b und c ES-TRIN durch feste oder flexible Absperrvorrichtungen wie folgt gesichert sein:
a)
alle Absperrvorrichtungen müssen:
aa)
eine Höhe von mindestens 1,10 m aufweisen,
bb)
deutlich sichtbar gekennzeichnet sein und
cc)
mit geeigneten Zwischenzügen oder geeigneter Feldauskleidung versehen sein;
b)
feste Absperrvorrichtungen wie Schwenkbalken, Schranken und Geländer müssen mindestens folgende Festigkeitsanforderungen erfüllen:
aa)
Belastungsannahme von 1 000 N/m,
bb)
Höchst-Auslenkung ohne bleibende Verformung und ohne Berücksichtigung des Lagerspiels von 50 mm;
c)
flexible Absperrvorrichtungen wie Absperrketten und Kunststoffseile dürfen auf Fährdecks verwendet werden, wenn
aa)
hinter der Absperrvorrichtung mindestens 2 m Decksfläche oder Landeklappe folgt,
bb)
der Deckbereich von 0,80 m vor der Kette oder dem Seil für die Fahrgäste durch deutlich sichtbare Markierung als gesperrt gekennzeichnet ist und
cc)
die Kette oder das Seil eine Mindestbruchkraft von 40 kN hat.
2.
Landeklappen können als Absperrvorrichtungen genutzt werden, wenn sie im hochgestellten Zustand eine Höhe von 1,10 m über dem Fährdeck erreichen und festgestellt werden können.

1Die Festigkeit von Landeklappen muss ihrem Einsatzzweck entsprechen.
2Die Landeklappen sind seitlich mit geeigneten Absturzsicherungen zu versehen.

Unterkapitel 2
Kahn- und Kahnseilfähren

1Für Kahnfähren und Kahnseilfähren gelten die nachstehenden Anforderungen:
2

1.
für alle Kahnfähren und Kahnseilfähren gelten zusätzlich § 2.08 entsprechend und §§ 3.04 bis 3.07 falls zutreffend.
2.
Für alle Kahnfähren und Kahnseilfähren gelten:
a)
Kapitel 3 ES-TRIN sinngemäß,
b)
Artikel 8.08 Nummer 1 und 2 ES-TRIN, wobei eine Handlenzpumpe oder ein Schöpfgefäß ausreicht,
c)
Kapitel 10 bis 12 ES-TRIN sinngemäß,
d)
Artikel 13.02 Nummer 2 Buchstabe b ES-TRIN, wobei ein Behälter ausreicht,
e)
Artikel 13.02 Nummer 3 Buchstabe a, c und e bis h ES-TRIN,
f)
Artikel 13.08 Nummer 2 ES-TRIN,
g)
Artikel 19.01 Nummer 2 ES-TRIN,
h)
Artikel 19.06 Nummer 10 und 12 Buchstabe a, b, c ES-TRIN, soweit baulich zumutbar,
i)
Artikel 19.09 Nummer 1 ES-TRIN, wobei zwei Rettungsringe ausreichen,
j)
Artikel 19.09 Nummer 4, 8 und 9 ES-TRIN und
k)
Kapitel 8 und 9 des ES-TRIN entsprechend sowie Artikel 13.03 ES-TRIN, wobei ein Feuerlöscher ausreicht, wenn die Kahnfähre oder Kahnseilfähre mit einem Hilsantrieb oder Hilfsmotor ausgestattet ist.
3.
Für alle Fahrgäste muss fest eingebautes Sitzmobiliar vorhanden sein.
4.
Die Untersuchungskommission kann für alle Kahnfähren und Kahnseilfähren, insbesondere zur Berücksichtigung besonderer örtlicher oder baulicher Gegebenheiten, zusätzliche Anforderungen stellen.

1Kahnfähren und Kahnseilfähren müssen mit Luftkästen oder anderen Auftriebskörpern versehen sein.
2Luftkästen müssen zur Durchführung von Dichtigkeitsprüfungen mit einem Schraubverschluss versehen sein.

Für Kahnfähren und Kahnseilfähren genügt als Nachweis für die

1.
Intaktstabilität ein Belastungsversuch, wobei dieser mit dem halben Gewicht der höchstzulässigen Zahl der Fahrgäste und bei der ungünstigsten Füllung der Brennstoff- und Wasserbehälter durchzuführen ist; die Fahrgäste sind dabei als stehend anzunehmen und ihr Gewicht ist soweit wie möglich seitlich auf der für Fahrgäste verfügbaren Fläche unterzubringen. Dabei darf ein Krängungswinkel von 7° nicht überschritten sowie ein Restfreibord und ein Restsicherheitsabstand von 0,20 m in Zone 4 und von 0,30 m in Zone 3 und Zone 2-Binnen nicht unterschritten werden;
2.
Leckstabilität ein rechnerischer Nachweis, wobei bei voller Beladung und Flutung der Fähre ein Reserveauftrieb von 100 Newton je Person und eine stabile aufrechte Schwimmlage verbleiben muss, bei der die verbleibende metazentrische Höhe GMR 0,10 m nicht unterschritten werden darf.

1.
Jede Kahnfähre oder Kahnseilfähre muss mit einem Anker mit einem Gewicht von mindestens 25 kg und einer Ankerkette oder einem Ankerseil von mindestens 30 m Länge ausgestattet sein. Ergänzend gelten die Bestimmungen des Artikels 13.01 ES-TRIN.
2.
Das örtlich zuständige Wasserstraßen- und Schifffahrtsamt kann auf Antrag auf den Wasserstraßen der Zone 4 von dem Erfordernis einer Ankerausrüstung befreien, wenn die Sicherheit und Leichtigkeit des Verkehrs nicht gefährdet ist.
3.
Kahnfähren und Kahnseilfähren müssen mit einem Paar Riemen oder vergleichbaren Vortriebsmitteln ausgerüstet sein. Ein Hilfsantrieb zur Beherrschung besonderer Betriebslagen ist vorzuhalten.

Kapitel 3
Zusätzliche Anforderungen an seilgebundene oder kettengebundene Fähren

Abweichend von § 1.02 gelten für dieses Kapitel als

1.
„Tragfähigkeit“ die Gesamtzuladefähigkeit mit homogener oder gemischter Last in Tonnen in Abhängigkeit von bestimmten Wasserständen;
2.
„Gesamtgewicht eines Landfahrzeugs“ das Gewicht eines Landfahrzeugs einschließlich seiner Ladung in Tonnen, das in Abhängigkeit von bestimmten Wasserständen in beliebiger Anzahl bis zum Erreichen der Tragfähigkeit auf der verfügbaren Ladefläche des Fährdecks in beliebiger Anordnung aufgestellt werden kann;
3.
„maximales Gesamtgewicht des schwersten Landfahrzeugs“ das Gewicht eines Landfahrzeugs einschließlich seiner Ladung in Tonnen, das in Abhängigkeit von bestimmten Wasserständen allein und ohne gleichzeitige Beförderung bestimmter Nutzlasten bei ausschließlich mittiger Aufstellung auf dem Fährdeck befördert werden kann;
4.
„Aufstau“ der Verlauf der Wasseroberfläche an der oberstromseitigen Bordwand;
5.
„Restfreibord“ der senkrechte Abstand zwischen dem tiefsten Punkt des wasserdichten Decks oder des wasserdichten Deckaufsatzes und der gedachten Wasserlinie, die bei Neigungen nach Oberstrom durch den höchsten Punkt des Aufstaus verläuft;
6.
„Deckaufsatz“ ein nur bei Gierseilfähren üblicher nicht von Bord zu Bord gehender Aufbau von geringer Höhe, der die Fahrbahnbreite des Fährdecks einseitig einschränkt, die Seitenhöhe auf einer Seite vergrößert und sich über die Länge des ganzen Fährdecks erstreckt;
7.
„Ablegereife“ der Zustand, bei dessen Erreichen das Seil oder die Kette außer Betrieb genommen werden muss, insbesondere wegen Verschleiß, Längung, Rissen, Korrosion oder Brüchen.

1.
Ergänzend zu § 2.03 muss sich der Nachweis ausreichender Intaktstabilität für seilgebundene oder kettengebundene Fähren auf Berechnungen für Neigungen der seilgebundenen oder kettengebundenen Fähre nach Oberstrom und nach Unterstrom erstrecken.
2.
Der Nachweis ausreichender Intaktstabilität ist erbracht, wenn unter gleichzeitiger Einwirkung der folgenden Faktoren die Anforderungen des Satzes 2 erfüllt sind:
a)
einer seitlichen Verschiebung der Landfahrzeuge und Personen,
b)
des Windwiderstandes,
c)
einer seitlichen Anströmung und
d)
dem Gefällewiderstand.
Die folgenden Anforderungen müssen eingehalten werden:
a)
bei Krängung nach Oberstrom mit MKrO = 0 ist ein Restfreibord von mindestens 0,1 m vorhanden;
b)
bei Krängung nach Oberstrom mit MKrO = 0 wird ein Krängungswinkel von 5° nicht überschritten;
c)
bei Krängung nach Unterstrom mit MKrU = 0 ist ein Restfreibord von mindestens 0,0 m vorhanden;
d)
bei Krängung nach Unterstrom mit MKrU = 0 wird ein Krängungswinkel von 10° nicht überschritten;
e)
die seil- oder kettengebundene Fähre ist jeweils mit den Beladungen aus Nummer 3 und krängenden Momenten aus Nummer 4 zu berechnen. Seil- oder kettengebundene Fähren mit Hilfsantrieb sind zudem jeweils mit halbgefüllten Brennstofftanks zu berechnen.
WOges = WQ – Ww
WUges = WQ + Ww
Die Abbildung stellt folgende Formel dar: M tiefgestellter Index KrO gleich 1,5 mal W tiefgestellter Index Oges mal Klammer auf Z tiefgestellter Index F minus T geteilt durch 2 Klammer zu minus Tangens Klammer auf Alpha Klammer zu mal W tiefgestellter Index Oges mal Y tiefgestellter Index F plus 0,44145 mal Aufstau mal L mal B zum Quadrat plus M tiefgestellter Index A Klammer auf Phi Klammer zu plus M tiefgestellter Index ZO plus M tiefgestellter Index W.
Die Abbildung stellt folgende Formel dar: M tiefgestellter Index KrU gleich 1,5 mal W tiefgestellter Index Uges mal Klammer auf Z tiefgestellter Index F minus T geteilt durch 2 Klammer zu minus Tangens Klammer auf Alpha Klammer zu mal W tiefgestellter Index Uges mal Y tiefgestellter Index F plus 0,44145 mal Aufstau mal L mal B zum Quadrat plus M Index A Klammer auf Phi Klammer zu plus M tiefgestellter Index ZU minus M tiefgestellter Index W.
FSO = H – TS
FSU = H – 2 · T + TS
In diesen Formeln bedeuten (siehe auch Abbildung):
Die Abbildung stellt folgende Formel dar: W tiefgestellter Index Q gleich Klammer auf C tiefgestellter Index WQ mal A tiefgestellter Index Lat plus zwei mal A tiefgestellter Index Gier Klammer zu mal Rho geteilt durch 2000 mal v zum Quadrat plus delta mal i mal g geteilt durch 1000.;
Die Abbildung stellt folgende Formel dar: T tiefgestellter Index S gleich Klammer auf 1 plus 5,58995 mal F zum Quadrat tiefgestellter Index nB mal Klammer auf L geteilt durch B Klammer zu hoch 1 geteilt durch 5 mal Klammer auf B geteilt durch h Klammer zu hoch eins geteilt durch zwei Klammer zu mal Klammer auf T plus Tangens Klammer auf Phi Klammer zu mal B geteilt durch zwei Klammer zu.;
Die Abbildung stellt folgende Formel dar: Aufstau gleich 5,8995 mal F tiefgestellter Index nB zum Quadrat mal Klammer auf L geteilt durch B Klammer zu hoch eins geteilt durch fünf mal Klammer auf B geteilt durch h Klammer zu hoch eins geteilt durch zwei mal Klammer auf T plus Tangens Klammer auf Phi Klammer zu mal B geteilt durch zwei Klammer zu.;
Die Abbildung stellt folgende Formel dar: C tiefgestellter Index WQ gleich 2,8322 mal C tiefgestellter Index WQ0 mal f tiefgestellter Index h mal f tiefgestellter Index Phi mal F tiefgestellter Index nB hoch eins geteilt durch vier minus eins geteilt durch zwei plus Bewuchs geteilt durch zwei.;
Die Abbildung stellt folgende Formel dar: C tiefgestellter Index WQ0 gleich Klammer auf minus 0,002 mal L geteilt durch B plus 0,003 Klammer zu mal L geteilt durch T plus Klammer auf 0,11 mal L geteilt durch B plus 0,92 Klammer zu.;
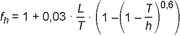
Die Abbildung stellt folgende Formel dar: f tiefgestellter Index h gleich eins plus 0,003 mal L geteilt euch T mal Klammer auf eins minus Klammer auf eins minus T geteilt durch h Klammer zu hoch 0,6 Klammer zu.;
Die Abbildung stellt folgende Formel dar: f tiefgestellt Phi gleich eins plus Betrag von Phi geteilt durch 5 mal Klammer auf Klammer auf minus 0,006 mal L geteilt durch B plus 0,035 Klammer zu mal L geteilt durch T plus 0,45 Klammer zu.;
Die Abbildung stellt folgende Formel dar: F tiefgestellter Index nB gleich v geteilt durch Wurzel aus g mal B.;
WQ = Widerstand durch Queranströmung [kN];
WW = Windwiderstand nach Artikel 19.03 Nummer 5 ES-TRIN [kN];
WOges = Gesamtwiderstand bei Krängung Richtung Oberstrom [kN];
WUges = Gesamtwiderstand bei Krängung Richtung Unterstrom [kN];
ALat = Lateralplanfläche in Strömungsrichtung ohne Gierschwert [m2];
AGier = Zusätzliche Lateralplanfläche durch ein Gierschwert [m2];
Die Abbildung stellt folgende Formel dar: Rho gleich Dichte des Wasser Klammer auf kg geteilt durch m hoch 3 Klammer zu.;
Die Abbildung stellt folgende Formel dar: v gleich Fließgeschwindigkeit des Gewässers Klammer auf m geteilt durch s Klammer zu.;
∆ = Masse der Verdrängung [t];
Die Abbildung stellt folgende Formel dar: i gleich Gefälle des Gewässers Klammer auf m geteilt durch km Klammer zu.;
Bewuchs = 1 bei starkem Bewuchs der Außenhaut, 0 bei schwachem Bewuchs;
L = Länge [m];
B = Breite [m];
T = Tiefgang mit eventuellem Gierschwert [m];
H = Seitenhöhe bis zum tiefsten Punkt des Fährdecks [m];
h = Wassertiefe [m];
Φ = Krängungswinkel [°];
Die Abbildung stellt folgende Formel dar: g gleich Erdbeschleunigung gleich 9,81 Klammer auf m geteilt durch s hoch 2 Klammer zu.;
Aufstau = Hydrodynamische Vergrößerung des Tiefgangs oberstromseitig [m];
TS = Tiefgang vergrößert durch Krängung und Aufstau [m];
FSO = Freibord Richtung Oberstrom, verringert durch Krängung und Aufstau [m];
FSU = Freibord Richtung Unterstrom, verringert durch Krängung und Aufstau [m];
MA [Φ] = Aufrichtendes hydrostatisches Moment bei Krängunswinkel Φ [kNm];
MQKr = Krängendes Moment aus der Queranströmung [kNm];
MW = Krängendes Moment aus dem Winddruck [kNm];
MZO = Krängendes Moment Ladungsverschiebung Richtung Oberstrom [kNm];
MZU = Krängendes Moment Ladungsverschiebung Richtung Unterstrom [kNm];
MKrO = Summe der krängenden Momente Richtung Oberstrom [kNm];
MKrU = Summe der krängenden Momente Richtung Unterstrom [kNm];
ZF = Vertikaler Angriffspunkt des Führungsseils ab Basis [m];
YF = Angriffspunkt des Führungsseils aus Mitte Schiff (MS) [m];
= Richtung des Führungsseils am Angriffspunkt gegenüber der Horizontalen [°];
ist positiv wie gezeichnet, negativ, wenn das Seil zum Gewässergrund führt.
Für die Werte mit „o“ als Aufzählungszeichen gilt, dass ein positiver Wert Richtung Oberstrom und ein negativer Wert Richtung Unterstrom weist.
Die Abbildung zeigt einen Querschnitt von einer Fähre mit einem Lastkraftwagen auf dem Deck. Die Strömung kommt von links und ist mit einem Pfeil eingezeichnet. Die Fähre ist nach Backbord gekrängt. Weiterhin sind folgende Winkel Bezugsgrößen für die Intaktstabilität dargestellt: h, F tiefgestellter Index SO, B, Z tiefgestellter Index F, T, H, F tiefgestellter Index SU, Y tiefgestellter Index F, F tiefgestellter Index SU, Phi, Hochseilanlage: Alpha größer 0 und Grundseil: Alpha kleiner 0.
Abbildung 2: Darstellung der Winkel und Bezugsgrößen für den Nachweis der Intaktstabilität
3.
Für die Berechnungen nach Nummer 2 ist eine gemischte Beladung Z aus Landfahrzeugen und Personen in homogener Verteilung anzunehmen. Sie ist für jeweils einen Rechengang aufzuteilen in
a)
Z1 = (0 · PF) + (0 · PP1) (Seil- oder kettengebundene Fähre leer),
b)
Z2 = (0,5 · PF) + (1 · PP2) (halbe Zuladung),
c)
Z3 = (1 · PF) + (1 · PP3) (ganze Zuladung),
wobei Z das Gewicht der Zuladung in Tonnen, PF das Gewicht der Landfahrzeuge in Tonnen und PP das Gewicht der Personen in Tonnen ist.
Die Anzahl der Personen PP1, PP2 und PP3 kann in dem Rahmen festgelegt werden, in dem die Bedingungen für die Intaktstabilität nach Nummer 2 erfüllt werden.
4.
Das Moment aus der seitlichen Verschiebung der Zuladung ist nach folgender Formel zu berechnen:
MZ = Zn · e
In dieser Formel bedeutet:
Zn = Gewicht der Zuladung Z2 oder Z3 in Tonnen (t),
e = größter seitlicher Verschiebungsweg der Zuladung aus der Mittellängsachse der seil- oder kettengebundenen Fähre in Metern (m).
Sind die Schrammborde so gesetzt, dass eine seitliche Verschiebung der Landfahrzeuge nicht möglich ist, so ist nur die seitliche Verschiebung der Personen nach folgender Formel in die Rechnung einzusetzen:
MZ = PP · e
5.
In den Berechnungen nach Nummer 2 ist die mittlere Fließgeschwindigkeit des Wassers vornehmlich zu berücksichtigen bei
a)
Hochwasserstand (HW),
b)
Mittelwasserstand (MW) und
c)
Niedrigwasserstand (NW).
Die Werte müssen sich nachweisbar auf die Fährstelle beziehen und müssen vom zuständigen Wasserstraßen- und Schifffahrtsamt bestätigt sein. Eine Querprofilzeichnung der Fährstelle ist der Rechnung beizufügen.
6.
Als Ergebnisse der Berechnung sind festzulegen:
a)
bei Belastung der seil- oder kettengebundenen Fähre ausschließlich mit Personen
aa)
die höchstzulässige Anzahl der Fahrgäste,
bb)
die Verdrängung (m3),
b)
bei Belastung der seil- oder kettengebundenen Fähre mit Personen, Landfahrzeugen oder sonstigen Lasten
aa)
die höchstzulässige Anzahl der Fahrgäste,
bb)
die Tragfähigkeit in Tonnen (t) einschließlich der Personen nach Nummer 3,
cc)
das Gesamtgewicht eines von mehreren Landfahrzeugen in Tonnen (t),
dd)
das maximale Gesamtgewicht des schwersten und einzigen Landfahrzeugs in Tonnen (t),
ee)
die zulässige Achslast einer Einzelachse und einer Doppelachse von Landfahrzeugen in Tonnen (t)
jeweils bei Niedrigwasserstand, Mittelwasserstand und Hochwasserstand.
7.
Während der Fahrt und beim Be- und Entladen der Fähre darf der höchstzulässige Krängungswinkel nach § 3.02 Nummer 2 nicht überschritten und der Restfreibord nach § 3.02 Nummer 2 nicht unterschritten werden, wobei beim Be- und Entladevorgang die Fähre freischwimmend zu betrachten ist, es sei denn, das Fährgefäß wird beim Abstützen auf der Rampe durch eine kraftschlüssige Verbindung in einer festen Lage gehalten.
8.
Der Nachweis ausreichender Leckstabilität hat nach § 2.03 Nummer 6 zu erfolgen. Hierbei ist das krängende Moment und der Restfreibord aus der Queranströmung zu berücksichtigen.

1.
Artikel 4.03 ES-TRIN ist nicht anzuwenden.
2.
An beiden Längsseiten der seilgebundenen oder kettengebundenen Fähre ist je eine Einsenkungsmarke für die Tiefgänge anzubringen, die den Tragfähigkeiten nach § 3.02 Nummer 6 Buchstabe b entsprechen.
3.
Die Einsenkungsmarken müssen nach Artikel 4.03 Nummer 10 ES-TRIN ausgeführt werden. Sind verschiedene Tiefgänge für Niedrigwasserstand, Mittelwasserstand und Hochwasserstand zugelassen, so sind für jeden Wasserstand entsprechend gekennzeichnete Einsenkungsmarken anzubringen.

1.
Seilanlagen von seilgebundenen Fähren und Kettenanlagen von kettengebundenen Fähren umfassen im Wesentlichen Seile und Ketten einschließlich der zugehörigen Abspannmasten und Verankerungen.
2.
Seilanlagen und Kettenanlagen müssen in allen Teilen für den Fährbetrieb geeignet und nach den Regeln der Technik ausgeführt und gebaut sein.
3.
Der Antragsteller hat den Nachweis der ausreichenden Festigkeitsbestimmung für Seilanlagen oder Kettenanlagen durch eine Berechnung zu erbringen. Die Berechnung und Konstruktion der Seilanlagen oder Kettenanlagen hat nach den allgemeinen anerkannten Regeln für den konstruktiven Ingenieurbau zu erfolgen. Es wird vermutet, dass der Antragsteller die in Satz 2 bezeichneten Regeln eingehalten hat, wenn er die vom Bundesministerium für Verkehr im Bundesanzeiger bekanntgegebenen Regeln beachtet hat.
4.
Bei der Berechnung von Seiltragwerken und Kettenanlagen sind sowohl die wirkenden Einzellasten oder Streckenlasten als auch das Eigengewicht der Seile oder Ketten zu berücksichtigen. Die Berechnungen für Hochseilanlagen müssen anhand einer geometrisch nichtlinearen Berechnung 3. Ordnung erfolgen, um die Deformationen aus der Belastung korrekt zu ermitteln.

1Seilanlagen und Kettenanlagen sind

1.
vor der ersten Inbetriebnahme,
2.
vor der Wiederinbetriebnahme nach einer wesentlichen Änderung oder Instandsetzung und
3.
bei jeder Erneuerung der Bescheinigung nach § 3.07
von einem Sachverständigen daraufhin zu prüfen, ob die Anlage den Anforderungen dieses Kapitels entspricht.
2Über die Prüfung ist ein vom Sachverständigen unterzeichnetes Abnahmeprotokoll nach Muster 5 des Anhangs V auszustellen, aus dem das Datum der Prüfung und die Gültigkeitsdauer ersichtlich sind.
3Eine Kopie hiervon ist der Untersuchungskommission vom Sachverständigen vorzulegen.

1Die Seilanlagen und Kettenanlagen sind wie folgt zu prüfen:
2

1.
Tragseile, Fahrseile und Führungsseile sind auf ihren inneren und äußeren Zustand zu prüfen. Die Untersuchung hat sich auf die Feststellung von Drahtbrüchen, Korrosion, Verschleiß, Lockerung von Drähten, anderen Veränderungen des Seilgefüges und auf Beschädigungen zu erstrecken. Zur Beurteilung der Ablegereife sind die allgemein anerkannten Regeln der Technik anzuwenden.
2.
Das Tragseil ist in Zeitabständen von maximal zehn Jahren nach Herstellung von einer amtlich anerkannten Stelle oder von einem von der Generaldirektion Wasserstraßen und Schifffahrt anerkannten Sachverständigen mittels zerstörungsfreier (magnetinduktiver) Seilprüfung zu prüfen. Die Ergebnisse sind in einem Bericht zu dokumentieren.
3.
Die Prüfung der Zugseile, Spannseile und Abspannseile hat äußerlich feststellbare Drahtbrüche und die Abnutzung der Drähte innerhalb eines Seilstückes zu beinhalten. Zur Beurteilung der Ablegereife sind die allgemein anerkannten Regeln der Technik anzuwenden.
4.
Die Seilendbefestigungen sind daraufhin zu prüfen, ob ihre Ausführung den allgemein anerkannten Regeln der Technik entspricht.
5.
Ketten sind im Hinblick auf Verschleiß, Längung und Teilungsvergrößerung zu überprüfen. Die Ablegereife ist entsprechend der DIN 685 Teil 3, Ausgabe Februar 2001 zu beurteilen.
6.
Abspannmasten sind auf Verformung, Beschädigungen, Korrosion (bei Hohlprofilen auch innere Korrosion), ordnungsgemäße Verbindung von Tragseil und Mast und ordnungsgemäßen Übergang vom Mast zum Fundament hin zu prüfen.
7.
Die Verankerung ist auf Verformung und Beschädigungen sowie auf Korrosion an den Befestigungselementen und im Bereich des Übergangs zum Fundament hin zu prüfen.
8.
Bei Hochseilanlagen ist für eine Sichtkontrolle von Mast zu Mast an beiden Masten je eine Markierung anzubringen, die als Kontrollpunkt dient, um den Durchhang des Tragseils zu kontrollieren und insbesondere nach größeren Temperaturveränderungen auf das im Fährzeugnis festgelegte Maß zu korrigieren.

1.
Die Übereinstimmung jeder Seilanlage und Kettenanlage mit den Anforderungen dieses Kapitels ist im Fährzeugnis zu bescheinigen.
2.
Diese Bescheinigung ist im Anschluss an die Prüfung nach § 3.05 von der Untersuchungskommission im Fährzeugnis einzutragen.
3.
Die Gültigkeitsdauer der Bescheinigung beträgt höchstens fünf Jahre. Einer Erneuerung muss eine neue Prüfung nach § 3.05 vorausgehen. Ausnahmsweise kann die Untersuchungskommission auf begründeten Antrag des Eigners oder seines Bevollmächtigten die Gültigkeit der Bescheinigung um höchstens drei Monate verlängern, ohne dass eine Prüfung nach § 3.05 vorausgehen muss. Diese Verlängerung ist im Fährzeugnis einzutragen.

Kapitel 4
Übergangsbestimmungen für Fähren

1Fähren, die bereits in Betrieb sind und den Vorschriften der Kapitel 1 bis 3 nicht entsprechen, müssen an die in nachstehender Tabelle aufgeführten Übergangsbestimmungen angepasst werden.
2Die nachfolgenden Bestimmungen gehen § 37 Absatz 1 bis 5 und 6 Nummer 1 vor.
3In der Tabelle bedeuten

„N.E.U.“:
Die Vorschrift gilt nicht für Fähren, die schon in Betrieb sind, es sei denn, die betroffenen Teile werden ersetzt oder umgebaut, d. h. die Vorschrift gilt nur für Neubauten sowie bei Ersatz oder bei Umbau der betroffenen Teile oder Bereiche. Werden bestehende Teile durch Austauschteile in gleicher Technik und Machart ersetzt, bedeutet dies keinen Ersatz „E“ im Sinne dieser Übergangsbestimmungen.
„Erteilung oder Erneuerung des Fährzeugnisses“:
Die Vorschrift muss bei der Erteilung oder der nächsten Erneuerung der Gültigkeitsdauer des Fährzeugnisses erfüllt sein.
§§ und
Nummer
InhaltFrist oder Bemerkungen
2.01 Nr. 3automatisierter externer DefibrillatorN.E.U., spätestens bei Erneuerung der Fahrtauglichkeitsbescheinigung
2.01 Nr. 3SicherheitsorganisationN.E.U., spätestens bei Erneuerung der Fahrtauglichkeitsbescheinigung
2.01 Nr. 3Ausrüstung mit Abwassersammeltanks oder BordkläranlagenN.E.U., spätestens bei Erneuerung der Fahrtauglichkeitsbescheinigung nach dem 30. Dezember 2029
2.02 Nr. 2FährdeckN.E.U., spätestens bei Erneuerung des Fährzeugnisses nach dem 30. Dezember 2029
2.03Nachweis Intakt- und LeckstabilitätN.E.U., spätestens bei Erneuerung des Fährzeugnisses nach dem 30. Dezember 2049
2.08 Nr. 1Anforderungen an AbsperrvorrichtungenN.E.U., spätestens bei Erneuerung des Fährzeugnisses
3.02Nachweis Intakt- und Leckstabilität für seil- oder kettengebundene FährenN.E.U., spätestens bei Erneuerung des Fährzeugnisses nach dem 30. Dezember 2049
3.04 Nr. 3Nachweis der ausreichenden Festigkeit durch BerechnungN.E.U., spätestens bei Erneuerung des Fährzeugnisses nach dem 30. Dezember 2029
3.05PrüfungN.E.U., spätestens bei Erneuerung des Fährzeugnisses
3.06PrüfbedingungenN.E.U., spätestens bei Erneuerung des Fährzeugnisses
3.07BescheinigungN.E.U., spätestens bei Erneuerung des Fährzeugnisses

Teil II
Barkassen
Kapitel 5
Sondervorschriften für Barkassen

1.
Für Barkassen sind der ES-TRIN und der Anhang III mit den sich aus den nachfolgenden Vorschriften ergebenden Maßgaben anzuwenden.
2.
Die Erleichterungen und Sonderbestimmungen dieses Kapitels gelten jedoch nicht für Barkassen
a)
mit Kiellegung nach dem 1. Juli 2001 oder
b)
die zu diesem Zeitpunkt nicht zur Beförderung von Fahrgästen zugelassen waren.
3.
Bei einer Personenbarkasse befindet sich der Fahrgastraum in der versenkten Plicht, die zu mindestens einem Drittel ihrer Länge offen ist.
4.
Das Fahrtgebiet ist in der Fahrtauglichkeitsbescheinigung einzutragen.

1.
Bei einer Barkasse muss der wasserdichte Innenboden der Plicht oberhalb der Ebene der größten Einsenkung liegen. Es muss ein Entwässerungssystem vorhanden sein, durch das eingedrungenes Wasser nach außenbords abfließen oder befördert werden kann.
2.
Artikel 3.03 Nummer 3 und 4 ES-TRIN ist auf Barkassen nicht anzuwenden. Die in der Plicht aufgestellten Motoren müssen vollständig verkleidet und schallgeschützt sein. In die geschlossene Plicht dürfen keine schädlichen Gase entweichen. Im Steuerstand der Barkasse in Kopfhöhe des Rudergängers darf der Geräuschpegel den Wert von 70 dB(A) nicht überschreiten. Die Verkleidung der Motoren muss ausreichend wärmeisoliert sein.
3.
Ein Wetterschutz als Überdachung über der zu mindestens einem Drittel ihrer Länge offenen Plicht ist auf Personenbarkassen zulässig, wenn der für die jeweilige Zone geeigneter Nachweis der Schwimmfähigkeit nach § 5.03 Nummer 1 erbracht ist. Der Wetterschutz muss mit einer automatischen Vorrichtung im Steuerstand und in der offenen Plicht zu öffnen sein. Der Öffnungsvorgang darf zehn Sekunden nicht überschreiten und die Überdachung darf die Seiten der offenen Plicht nicht beeinträchtigen.
4.
Bei einer Barkasse, die nicht zur Beförderung von Fahrgästen zugelassen wird, brauchen die Anforderungen der Nummern 1 und 3 sowie der §§ 5.03 bis 5.05 nicht erfüllt zu sein.
5.
Verlaufen Rohrleitungen von der Toilette durch wasserdichte Schotte oder Abteilungen, so gilt Artikel 19.02 Nummer 13 ES-TRIN entsprechend.

1.
Der Antragsteller muss durch eine Stabilitätsberechnung nachweisen, dass die Intaktstabilität der vollbesetzten und ausgerüsteten Personenbarkasse angemessen ist. Alle Berechnungen müssen mit freiem Trimm und freier Tauchung durchgeführt werden. Die Leerschiffsdaten, die den Stabilitätsberechnungen zu Grunde liegen, sind durch einen Krängungsversuch zu ermitteln.
2.
Der Antragsteller muss durch eine Berechnung nachweisen, dass die Leckstabilität der vollbesetzten und ausgerüsteten Personenbarkasse angemessen ist. Hierbei ist für den Endzustand der Flutung das Berechnungsverfahren nach dem „wegfallenden Auftrieb“ und für die Zwischenzustände der Flutung das Berechnungsverfahren des „Gewichtszuwachses“ anzuwenden. Alle Berechnungen müssen mit freiem Trimm und freier Tauchung durchgeführt werden.
3.
Die Schwimmfähigkeit im Leckfall der vollbesetzten und ausgerüsteten Personenbarkasse muss für drei Zwischenzustände der Flutung (25 %, 50 % und 75 % der Füllung des Endzustandes der Flutung) und für den Endzustand der Flutung der rechnerische Nachweis der genügenden Stabilität erbracht werden.
4.
Eine Personenbarkasse, die zur Fahrt in Zone 1 oder 2-See zugelassen ist, muss abweichend von Artikel 19.02 Nummer 2 ES-TRIN durch wasserdichte Schotte so unterteilt sein, dass sie nach dem Fluten einer beliebigen wasserdichten Abteilung die Anforderungen nach Nummer 6 erfüllt.
5.
Eine Personenbarkasse, die zur Fahrt in Zone 2-Binnen, Zone 3 oder 4 zugelassen ist, muss die Anforderungen an die Lage des Innenbodens und an das Entwässerungssystem nach § 5.02 Nummer 1 nicht erfüllen, wenn ein ausreichender Auftrieb nach dem Fluten einer beliebigen wasserdichten Abteilung, einer beliebigen wasserdichten Zelle oder einer wasserdichten Plicht nach Nummer 6 erbracht wird
a)
durch eine Schotteinteilung nach Nummer 4,
b)
durch wasserdichte Hohlräume,
c)
durch fest am Rumpf angebrachte Auftriebskörper,
d)
in anderer geeigneter Weise oder
e)
durch eine Kombination aus den Buchstaben a bis d.
6.
In allen Zwischenzuständen und im Endzustand der Flutung müssen die folgenden Kriterien eingehalten werden:
a)
die Personenbarkasse darf maximal bis zur Tauchgrenze eintauchen;
b)
jede ungesicherte Öffnung muss mindestens 0,40 m über dem Wasserspiegel liegen;
c)
die verbleibende metazentrische Höhe GMR darf 0,10 m nicht unterschreiten.

1.
Die sich aus der freien Decksfläche ergebende höchstzulässige Zahl der Fahrgäste ist bei Personenbarkassen nach Artikel 19.05 Nummer 2 Buchstabe b ES-TRIN in Verbindung mit Anhang III § 1.02 Nummer 1 Buchstabe a, §§ 7.04 und 10.08 Nummer 2 in Abhängigkeit von der zu befahrenden Wasserstraße zu ermitteln.
2.
Die Untersuchungskommission kann mit der Festlegung der höchstzulässigen Zahl der Fahrgäste zusätzliche Auflagen, insbesondere im Hinblick auf Fahrtgrenzen, Wetterbedingungen und zeitliche Grenzen, verbinden. Diese Auflagen sind in die Fahrtauglichkeitsbescheinigung einzutragen.

Bei einer Personenbarkasse ist für die Berechnung des Freibordes, für die Überprüfung des Sicherheitsabstandes und für die Festsetzung der Ebene der größten Einsenkung Artikel 19.04 ES-TRIN in Verbindung mit Anhang III § 1.02 Nummer 1 Buchstabe a, §§ 7.03 und 10.05 in Abhängigkeit von der zu befahrenden Wasserstraße sinngemäß anzuwenden.

1.
Mindestens ein Rettungsring nach Artikel 13.08 Nummer 1 ES-TRIN muss mit einer mindestens 30 m langen, schwimmfähigen Leine von 8 bis 11 mm Durchmesser versehen sein.
2.
Zusätzlich zu den Rettungswesten nach Artikel 13.08 Nummer 2 ES-TRIN müssen für insgesamt 100 Prozent der höchstzulässigen Zahl der Fahrgäste Rettungswesten nach Artikel 13.08 Nummer 2 ES-TRIN in Verbindung mit Nummer 3 an Bord sein, wobei auch Feststoff- oder halbautomatisch aufblasbare Rettungswesten nach den in Artikel 13.08 Nummer 2 ES-TRIN genannten Normen zulässig sind. Rettungswesten nach Satz 1 können durch Sammelrettungsmittel nach Artikel 19.09 Nummer 5 ES-TRIN in Verbindung mit Nummer 7 bis 9 ersetzt werden.
3.
Rettungswesten müssen im Fahrgastbereich gelagert sein. Sind Sammelrettungsmittel vorhanden, müssen diese stets frei aufschwimmbar gelagert sein.
4.
Hat eine Barkasse festüberdachte Räume, so müssen mindestens 30 vom Hundert der Rettungswesten in der offenen Plicht griffbereit gelagert sein.

1.
Barkassen müssen mit einem Buganker ausgerüstet sein.
2.
Bei der Berechnung der Ankermasse nach Artikel 13.01 Nummer 2 ES-TRIN ist die Erfahrungszahl mit k = 7 einzusetzen. Die Ankermasse darf 25 kg nicht unterschreiten.
3.
Die Ankerkette muss mindestens 45 m lang sein.

1.
Ausrüstungsgegenstände nach Artikel 13.02 Nummer 2 Buchstabe b Doppelbuchstabe bb bis ee ES-TRIN (Behälter) und nach Artikel 13.02 Nummer 3 Buchstabe d ES-TRIN (Landsteg) braucht eine Barkasse nicht an Bord zu haben.
2.
Als Einrichtung zur Brandbekämpfung müssen insgesamt zwei tragbare Feuerlöscher, die den Anforderungen des Artikels 13.03 Nummer 2 ES-TRIN genügen, im Steuerstand und an einer anderen leicht zugänglichen Stelle vorhanden sein.
3.
Als Sicherheitseinrichtung und -ausrüstung muss sich ein Defibrillator nach den Anforderungen des Artikels 19.08 Nummer 10 ES-TRIN an einer leicht zugänglichen Stelle an Bord befinden.

Kapitel 6
Übergangsbestimmungen für Barkassen

1Barkassen, die den Vorschriften des Kapitels 5 nicht entsprechen, müssen den in nachstehender Tabelle aufgeführten Übergangsbestimmungen angepasst werden.
2In der Tabelle bedeuten

„E.U.“:
Die Vorschrift gilt nicht für Barkassen, die schon in Betrieb sind, es sei denn, die betroffenen Teile werden ersetzt oder umgebaut, d. h. die Vorschrift gilt nur bei Ersatz oder bei Umbau der betroffenen Teile oder Bereiche. Werden bestehende Teile durch Austauschteile in gleicher Technik und Machart ersetzt, bedeutet dies keinen Ersatz „E“ im Sinne dieser Übergangsbestimmungen.
§§ und
Nummer
InhaltFrist oder Bemerkungen
5.01 Nr. 1AllgemeinesE.U.
5.03StabilitätE.U.
5.08 Nr. 3automatisierter externer DefibrillatorE.U., spätestens bei Erneuerung der Fahrtauglichkeitsbescheinigung nach dem 01.01.2024

Teil III
Fahrgastboote
Kapitel 7
Sondervorschriften für Fahrgastboote

1.
Auf der Wasserstraße nach Anhang I Zone 1 und auf der Wasserstraße Rhein nach Anhang I Zone 3 sind Fahrgastboote nicht zugelassen.
2.
Für die Wasserstraßen nach Anhang I Zone 2 ist die Zulassung von Fahrgastbooten auf eine Länge des Schiffskörpers von höchstens 12 Metern und die Beförderung von höchstens 12 Fahrgästen beschränkt.
3.
Für die Wasserstraßen nach Anhang I Zone 3 und 4 ist die Zulassung von Fahrgastbooten auf eine Länge des Schiffskörpers von weniger als 20 Metern und die Beförderung von höchstens 12 Fahrgästen beschränkt.
4.
Für die Wasserstraßen nach Anhang IX ist die Zulassung von Fahrgastbooten auf eine Länge des Schiffskörpers von weniger als 20 Metern und die Beförderung von höchstens 35 Fahrgästen beschränkt.

1Für die Wasserstraßen nach Anhang I Zone 2 zugelassene Fahrgastboote unterliegen folgenden Anforderungen an Ausrüstung und Betrieb:
2

1.
Die technischen Anforderungen nach Artikel 26.01 Nummer 2 ES-TRIN sind zu erfüllen. Anstelle der darin genannten Richtlinie 2013/53/EU ist die Verordnung über Sportboote und Wassermotorräder anzuwenden; dabei müssen die Fahrgastboote mindestens der Entwurfskategorie C nach der Richtlinie 2013/53/EU entsprechen.
2.
Fahrgastboote dürfen nur für Fahrten zwischen Sonnenaufgang und Sonnenuntergang (Tagesfahrten) eingesetzt werden.
3.
Bei vorherrschender Windstärke von mehr als 5 Beaufort und bei unsichtigem Wetter darf eine Fahrt nicht angetreten werden.
4.
Offene Feuerstellen dürfen an Bord nicht betrieben werden.
5.
Flüssiggasanlagen dürfen nur an Bord von Fahrgastbooten betrieben werden, die über einen elektrischen Antrieb oder einen Antrieb mit Verbrennungsmotoren oder über andere Verbrennungsmotoren verfügen, die mit einem Brennstoff betrieben werden, dessen Flammpunkt über 55 °C liegt. Die Flüssiggasanlagen müssen Kapitel 17 ES-TRIN entsprechen. Flüssiggasanlagen in geschlossenen Räumen müssen mit geeigneten Warneinrichtungen für gesundheitsgefährdende Konzentrationen von Kohlenmonoxid sowie für explosionsfähige Gas-Luftgemische ausgestattet sein.
6.
Es muss ein motorisches Hauptantriebssystem vorhanden sein, das ausreichende Fahr- und Manövriereigenschaften gewährleistet, wobei die Geschwindigkeit gegen Wasser mindestens 10 km/h betragen muss.
7.
Unbeschadet der Nummer 1 Satz 1 muss folgende Ausrüstung an Bord vorhanden sein:
a)
die Geräte und Vorrichtungen, die zum Geben der in der Seeschifffahrtsstraßen-Ordnung und in den Kollisionsverhütungsregeln vorgeschriebenen Sichtzeichen sowie zur Bezeichnung der Fahrzeuge erforderlich sind;
b)
mindestens eine Funkanlage für die Teilnahme am Binnenschifffahrtsfunk nach den Bestimmungen der Regionalen Vereinbarung über den Binnenschifffahrtsfunk;
c)
auf den Wasserstraßen nach Anhang I Zone 2-See ein Kompass nach Anhang III § 6.02;
d)
die vorgeschriebenen
aa)
Seekarten nach § 13 Absatz 1 Nummer 2 Buchstabe a der Schiffssicherheitsverordnung und
bb)
ein Abdruck der Seeschifffahrtsstraßen-Ordnung und der Kollisionsverhütungsregeln nach § 40 der Seeschifffahrtsstraßen-Ordnung;
e)
gekennzeichnete feuerbeständige Behälter mit Deckel für Hausmüll und ölhaltige Putzlappen;
f)
zwei Schöpfgefäße (Eimer);
g)
Rettungswesten nach Artikel 13.08 Nummer 2 ES-TRIN für insgesamt 100 Prozent der höchstzulässigen Zahl der Fahrgäste und der Besatzung, wobei für die Fahrgäste auch Feststoff- oder halbautomatisch aufblasbare Rettungswesten nach den in Artikel 13.08 Nummer 2 ES-TRIN genannten Normen zulässig sind.
8.
Bei einer Geschwindigkeit der Fahrgastboote von 40 km/h oder mehr haben die Fahrgäste und die Besatzung Rettungswesten anzulegen und der Schiffsführer seine Aufgaben im Steuerstand sitzend auszuüben.

(+++ § 7.02 Nr. 6: Zur Nichtanwendung vgl. § 7.04 Satz 1 Nr. 1 +++)

1Für die Wasserstraßen nach Anhang I Zone 3 oder 4 zugelassene Fahrgastboote unterliegen folgenden Anforderungen an Ausrüstung und Betrieb:
2

1.
Die technischen Anforderungen nach Artikel 26.01 Nummer 2 ES-TRIN sind zu erfüllen. Anstelle der darin genannten Richtlinie 2013/53/EU ist die Verordnung über Sportboote und Wassermotorräder anzuwenden; dabei müssen die Fahrgastboote
a)
für die Wasserstraßen nach Anhang I Zone 3 mindestens der Entwurfskategorie C und
b)
für die Wasserstraßen nach Anhang I Zone 4 mindestens der Entwurfskategorie D
nach der Richtlinie 2013/53/EU entsprechen.
2.
Die Fahrgastboote dürfen nur in der Betriebsform A nach § 101 Absatz 2 der Binnenschiffspersonalverordnung eingesetzt werden.
3.
Offene Feuerstellen dürfen an Bord nicht betrieben werden.
4.
Flüssiggasanlagen dürfen nur an Bord von Fahrgastbooten betrieben werden, die über einen elektrischen Antrieb oder einen Antrieb mit Verbrennungsmotoren oder über andere Verbrennungsmotoren verfügen, die mit einem Brennstoff betrieben werden, dessen Flammpunkt über 55 °C liegt. Die Flüssiggasanlagen müssen Kapitel 17 ES-TRIN entsprechen. Flüssiggasanlagen in geschlossenen Räumen müssen mit geeigneten Warneinrichtungen für gesundheitsgefährdende Konzentrationen von Kohlenmonoxid sowie für explosionsfähige Gas-Luftgemische ausgestattet sein.
5.
Es muss ein motorisches Hauptantriebssystem vorhanden sein, das ausreichende Fahr- und Manövriereigenschaften gewährleistet, wobei die Geschwindigkeit gegen Wasser mindestens 10 km/h betragen muss.
6.
Unbeschadet der Nummer 1 Satz 1 muss folgende Ausrüstung an Bord vorhanden sein:
a)
mindestens eine Funkanlage für die Teilnahme am Binnenschifffahrtsfunk nach den Bestimmungen der Regionalen Vereinbarung über den Binnenschifffahrtsfunk;
b)
gekennzeichnete feuerbeständige Behälter mit Deckel für Hausmüll und ölhaltige Putzlappen;
c)
zwei Schöpfgefäße (Eimer);
d)
Rettungswesten nach Artikel 13.08 Nummer 2 ES-TRIN für insgesamt 100 Prozent der höchstzulässigen Zahl der Fahrgäste und der Besatzung, wobei für die Fahrgäste auch Feststoff- oder halbautomatisch aufblasbare Rettungswesten nach den in Artikel 13.08 Nummer 2 ES-TRIN genannten Normen zulässig sind;
e)
ein automatisierter externer Defibrillator nach Artikel 19.08 Nummer 10 ES-TRIN, wenn das Fahrgastboot zur Beförderung von mehr als 12 Fahrgästen zugelassen ist.
7.
Bei einer Geschwindigkeit der Fahrgastboote von 40 km/h oder mehr haben die Fahrgäste und die Besatzung Rettungswesten anzulegen und der Schiffsführer seine Aufgaben im Steuerstand sitzend auszuüben.

(+++ § 7.03 Nr. 5: Zur Anwendung vgl. § 7.04 Satz 1 Nr. 1 +++)

1Fahrgastboote nach den §§ 7.02 und 7.03, die gebaut und eingerichtet sind, um hauptsächlich durch Segel fortbewegt zu werden, unterliegen zusätzlich folgenden Anforderungen an Ausrüstung und Betrieb:
2

1.
§ 7.02 Nummer 6 und § 7.03 Nummer 5 sind nicht anzuwenden.
2.
Der einwandfreie Zustand der Takelage ist nach Artikel 20.19 ES-TRIN durch einen Sachverständigen zu prüfen und zu bescheinigen. Die Bescheinigung über die Prüfung ist an Bord mitzuführen.
3.
Es ist eine Reffvorschrift an Bord mitzuführen, die von einem geeigneten Sachverständigen einer Untersuchungskommission oder einem von der Generaldirektion für Wasserstraßen und Schifffahrt entsprechend § 8.01 Nummer 1 Satz 2 anerkannten Sachverständigen erstellt wurde.
4.
Ein Windmesser ist an Bord mitzuführen.
Die Prüfbescheinigung nach Satz 1 Nummer 2 und die Reffvorschrift nach Satz 1 Nummer 3 sind der Generaldirektion Wasserstraßen und Schifffahrt vor der erstmaligen Inbetriebnahme des Fahrgastbootes vorzulegen.

1Soweit die Vorschriften dieses Kapitels nicht entgegenstehen, gelten die Artikel 14.01 bis 14.06, 14.08, 14.09, 14.11 und 14.13 ES-TRIN entsprechend.
2Weitergehende arbeitsschutzrechtliche Vorschriften bleiben unberührt.

1.
Die §§ 7.02 und 7.04 gelten bis zum Ablauf des 6. Oktober 2033 nicht für Zeesboote, die schon in Betrieb sind. Auf diese Zeesboote ist die Binnenschiffsuntersuchungsordnung in der bis zum 6. Oktober 2018 geltenden Fassung anzuwenden. Zeesboote sind Fahrzeuge für die Boddengewässer, die gebaut und eingerichtet sind, um auch durch Segel fortbewegt zu werden.
2.
Fahrgastboote, die den Vorschriften des Kapitels 7 nicht entsprechen, müssen entsprechend den in der nachstehenden Tabelle aufgeführten Übergangsbestimmungen angepasst werden. In der nachstehenden Tabelle bedeuten
„N.E.U.“:
Die Vorschrift gilt nicht für Fahrgastboote, die schon in Betrieb sind, es sei denn, die betroffenen Teile werden ersetzt oder umgebaut, das heißt die Vorschrift gilt nur für Neubauten sowie bei Ersatz oder bei Umbau der betroffenen Teile oder Bereiche. Werden bestehende Teile durch Austauschteile in gleicher Technik und Machart ersetzt, bedeutet dies keinen Ersatz „E“ im Sinne dieser Übergangsbestimmungen.
„Erteilung oder Erneuerung der Fahrtauglichkeitsbescheinigung“:
Die Vorschrift muss bei der Erteilung oder der nächsten Erneuerung der Gültigkeitsdauer der Fahrtauglichkeitsbescheinigung erfüllt sein.
§§ und Nummer Inhalt Frist oder Bemerkungen
7.03 Nr. 6
Buchstabe e
Automatisierter externer
Defibrillator
N.E.U., spätestens bei Erneuerung der Fahrtauglichkeitsbescheinigung

Teil IV
Abweichungen
Kapitel 8
Abweichungen

1Für Fahrgastboote sind die jeweiligen Vorschriften mit den folgenden Maßgaben anzuwenden:
2

1.
Die Untersuchungen im Sinne des § 6 Absatz 1 in Verbindung mit Absatz 4 und der §§ 24 bis 26 sowie § 5 Absatz 8 dieser Verordnung können von einem von der Generaldirektion Wasserstraßen und Schifffahrt anerkannten Sachverständigen für Fahrgastboote durchgeführt werden. Die Kriterien für die Auswahl dieser Sachverständigen werden von der Generaldirektion Wasserstraßen und Schifffahrt durch Verwaltungsvorschrift festgelegt, die im Verkehrsblatt veröffentlicht wird.
2.
Die Ergebnisse einer Untersuchung sind in einem Abnahmeprotokoll nach dem Muster 6 des Anhangs V zu bescheinigen.
3.
Auf der Grundlage dieses Abnahmeprotokolls erteilt die Generaldirektion Wasserstraßen und Schifffahrt eine Fahrtauglichkeitsbescheinigung nach Maßgabe des § 11 dieser Verordnung. Der zuständigen Berufsgenossenschaft ist vor der Erteilung der Fahrtauglichkeitsbescheinigung die Gelegenheit zur Stellungnahme zu geben, damit diese ihre Aufgabe nach § 4 Absatz 4 Satz 2 dieser Verordnung wahrnehmen kann.

Zuletzt geändert durch Art. 1 Nr. 15 V v. 14.10.2025 I Nr. 242
Seite zuletzt aktualisiert am 20. Dezember '25