Auf Grund des § 43 Abs. 1 Satz 1 Nr. 1 des Bundesimmissionsschutzgesetzes vom 15. März 1974 (BGBl. I S. 721, 1193) verordnet die Bundesregierung nach Anhörung der beteiligten Kreise:
(1) Die Verordnung gilt für den Bau oder die wesentliche Änderung von öffentlichen Straßen sowie von Schienenwegen der Eisenbahnen und Straßenbahnen (Straßen und Schienenwege).
(2) Die Änderung ist wesentlich, wenn
(1) 1Zum Schutz der Nachbarschaft vor schädlichen Umwelteinwirkungen durch Verkehrsgeräusche ist bei dem Bau oder der wesentlichen Änderung sicherzustellen, daß der Beurteilungspegel einen der folgenden Immissionsgrenzwerte nicht überschreitet:
2
| Tag | Nacht | ||
| 1. | an Krankenhäusern, Schulen, Kurheimen und Altenheimen | ||
| 57 Dezibel (A) | 47 Dezibel (A) | ||
| 2. | in reinen und allgemeinen Wohngebieten und Kleinsiedlungsgebieten | ||
| 59 Dezibel (A) | 49 Dezibel (A) | ||
| 3. | in Kerngebieten, Dorfgebieten, Mischgebieten und Urbanen Gebieten | ||
| 64 Dezibel (A) | 54 Dezibel (A) | ||
| 4. | in Gewerbegebieten | ||
| 69 Dezibel (A) | 59 Dezibel (A) | ||
(2) 1Die Art der in Absatz 1 bezeichneten Anlagen und Gebiete ergibt sich aus den Festsetzungen in den Bebauungsplänen.
2Sonstige in Bebauungsplänen festgesetzte Flächen für Anlagen und Gebiete sowie Anlagen und Gebiete, für die keine Festsetzungen bestehen, sind nach Absatz 1, bauliche Anlagen im Außenbereich nach Absatz 1 Nr. 1, 3 und 4 entsprechend der Schutzbedürftigkeit zu beurteilen.
(3) Wird die zu schützende Nutzung nur am Tage oder nur in der Nacht ausgeübt, so ist nur der Immissionsgrenzwert für diesen Zeitraum anzuwenden.
(4) 1Die Bundesregierung erstattet spätestens im Jahre 2025 und dann fortlaufend alle zehn Jahre dem Deutschen Bundestag Bericht über die Durchführung der Verordnung.
2In dem Bericht wird insbesondere dargestellt, ob die in § 2 Absatz 1 genannten Immissionsgrenzwerte dem Stand der Lärmwirkungsforschung entsprechen und ob weitere Maßnahmen zum Schutz vor schädlichen Umwelteinwirkungen durch Verkehrsgeräusche erforderlich sind.
(1) 1Der Beurteilungspegel für Straßen ist nach Abschnitt 3 in Verbindung mit Abschnitt 1 der Richtlinien für den Lärmschutz an Straßen – Ausgabe 2019 – RLS-19 (VkBl.
22019, Heft 20, lfd.
3Nr. 139, S. 698) zu berechnen.
4Die Berechnung hat getrennt für den Beurteilungszeitraum Tag (6 Uhr bis 22 Uhr) und den Beurteilungszeitraum Nacht (22 Uhr bis 6 Uhr) zu erfolgen.
(2) 1Bei der Berechnung sind insbesondere folgende Rahmenbedingungen zu beachten:
2
(3) 1Die akustischen Eigenschaften der Straßendeckschicht nach Absatz 2 Nummer 2 werden beachtet, indem die Bauweise einem Straßendeckschichttyp zugeordnet wird, der aufgeführt ist in der jeweils jüngsten veröffentlichten Fassung der Tabellen 4a oder 4b der Richtlinien für den Lärmschutz an Straßen – Ausgabe 2019 – RLS-19 (VkBl.
22019, Heft 20, lfd.
3Nr. 139, S. 698) und mit der festgelegten Straßendeckschichtkorrektur in die Berechnung eingestellt wird.
(1) 1Für eine Bauweise, die keinem Straßendeckschichttyp entspricht, der aufgeführt ist in der jeweils jüngsten veröffentlichten Fassung der Tabellen 4a oder 4b der Richtlinien für den Lärmschutz an Straßen – Ausgabe 2019 – RLS-19 (VkBl.
22019, Heft 20, lfd.
3Nr. 139, S. 698), legt das Bundesministerium für Verkehr und digitale Infrastruktur im Einvernehmen mit dem Bundesministerium für Umwelt, Naturschutz und nukleare Sicherheit eine Straßendeckschichtkorrektur fest, wenn
(2) 1Das Bundesministerium für Verkehr und digitale Infrastruktur gibt die Straßendeckschichtkorrektur im Verkehrsblatt bekannt.
2Die Bekanntgabe erfolgt durch die Ergänzung oder Änderung der Tabellen 4a oder 4b der Richtlinien für den Lärmschutz an Straßen – Ausgabe 2019 – RLS-19 (VkBl.
32019, Heft 20, lfd.
4Nr. 139, S. 698).
5Ab dem Zeitpunkt der Bekanntmachung ist die Straßendeckschichtkorrektur in die Berechnung nach § 3 einzustellen.
(3) 1Ändert sich die Bauweise für einen Straßendeckschichttyp, der aufgeführt ist in der jeweils jüngsten veröffentlichten Fassung der Tabellen 4a oder 4b der Richtlinien für den Lärmschutz an Straßen – Ausgabe 2019 – RLS-19 (VkBl.
22019, Heft 20, lfd.
3Nr. 139, S. 698), kann das Bundesministerium für Verkehr und digitale Infrastruktur im Einvernehmen mit dem Bundesministerium für Umwelt, Naturschutz und nukleare Sicherheit festlegen, dass die bisherige Straßendeckschichtkorrektur anzuwenden ist, wenn die geänderte Bauweise
(1) 1Der Beurteilungspegel für Schienenwege ist nach Anlage 2 zu berechnen.
2Die Berechnung hat getrennt für den Beurteilungszeitraum Tag (6 Uhr bis 22 Uhr) und den Beurteilungszeitraum Nacht (22 Uhr bis 6 Uhr) zu erfolgen.
(2) 1Bei der Berechnung sind insbesondere folgende Rahmenbedingungen zu beachten:
2
(3) 1Abweichend von Absatz 1 Satz 1 ist für Abschnitte von Vorhaben, für die bis zum 31. Dezember 2014 das Planfeststellungsverfahren bereits eröffnet und die Auslegung des Plans öffentlich bekannt gemacht worden ist, § 3 in Verbindung mit Anlage 2 in der bis zum 31. Dezember 2014 geltenden Fassung weiter anzuwenden.
2§ 43 Absatz 1 Satz 3 des Bundes-Immissionsschutzgesetzes bleibt unberührt.
(1) 1Abweichende Bahntechnik oder schalltechnische Innovationen dürfen bei der Berechnung des Beurteilungspegels nach § 4 Absatz 1 Satz 1 nur berücksichtigt werden, wenn die zuständige Behörde in einem Verfahren nach Maßgabe der Absätze 2 bis 4 für die Berechnung akustische Kennwerte festgelegt hat.
2Abweichende Bahntechnik ist Technik, die nicht in Anlage 2 Nummer 3 bis 6 oder Beiblatt 1 bis 3 aufgeführt ist und die einem der folgenden Bereiche zuzuordnen ist:
3
(2) 1Über die Festlegung akustischer Kennwerte entscheidet auf Antrag für die Eisenbahnen des Bundes das Eisenbahn-Bundesamt und für sonstige Bahnen die jeweils nach Landesrecht zuständige Behörde.
2Ein akustischer Kennwert ist festzulegen, wenn die Emissionsdaten der abweichenden Bahntechnik oder der schalltechnischen Innovationen für diese Technik bezeichnend sind und wenn bei schalltechnischen Innovationen die akustischen Kennwerte von den in Anlage 2 Nummer 3 bis 6 oder Beiblatt 1 bis 3 jeweils genannten Kennwerten wesentlich abweichen.
3Eine wesentliche Abweichung muss mindestens die in der Anlage 2 Nummer 9.2.2 genannten Werte erreichen.
(3) Berechtigt, einen Antrag nach Absatz 2 Satz 1 zu stellen, sind
(4) 1Der Antrag nach Absatz 2 Satz 1 muss folgende Angaben und Unterlagen enthalten:
2
(5) 1Die zuständige Behörde gibt dem Antragsteller die Entscheidung nach Absatz 2 Satz 1 schriftlich bekannt.
2Die zuständige Behörde macht zudem eine Festlegung akustischer Kennwerte nach Absatz 2 Satz 1 öffentlich bekannt.
Der Beurteilungspegel für den jeweiligen Abschnitt eines Straßenbauvorhabens berechnet sich nach den Vorschriften dieser Verordnung in der bis zum Ablauf des 28. Februar 2021 geltenden Fassung, wenn vor dem Ablauf des 1. März 2021
Der Bundesrat hat zugestimmt.

| Spalte | A | B | C |
|---|---|---|---|
| Zeile | Formelzeichen | Einheit | Bedeutung |
| 1 |
|
dB | A-bewerteter Gesamtpegel der längenbezogenen Schallleistung unter bestimmten Bedingungen |
| 2 | Δ |
dB | Differenz zum Gesamtpegel |
| 3 | A | dB | Ausbreitungs-Dämpfungsmaß |
| 4 | Adiv | dB | Dämpfungsmaß infolge geometrischer Ausbreitung |
| 5 | Aatm | dB | Dämpfungsmaß infolge Luftabsorption |
| 6 | Agr | dB | Dämpfungsmaß infolge Bodeneinfluss |
| 7 | Abar | dB | Dämpfungsmaß infolge Abschirmung durch Hindernisse |
| 8 | b | – | Geschwindigkeitsfaktor |
| 9 | c | dB | Zähler für Pegelkorrekturen c1 und c2 |
| 10 | c 1 | dB | Pegelkorrektur für Fahrbahnarten |
| 11 | c 2 | dB | Pegelkorrektur für Fahrflächenzustand |
| 12 | C 2 | – | Abschirmfaktor bei Einfachbeugung |
| 13 | C 3 | – | Zusätzlicher Abschirmfaktor bei Mehrfachbeugung |
| 14 | d | m | Laufweglänge des Schalls zwischen Schallquelle und Immissionsort |
| 15 | dp | m | Horizontale Entfernung zwischen Schallquelle und Immissionsort |
| 16 | dr | m | Abstand letzte Beugungskante – Immissionsort |
| 17 | ds | m | Abstand Schallquelle – 1. Beugungskante |
| 18 | dso | m | Abstand Schallquelle – Reflektor |
| 19 | dor | m | Abstand Reflektor – Immissionsort |
| 20 |
d
|
m | Abstand Schallquelle – Immissionsort parallel zur Beugungskante |
| 21 | DI | dB | Richtwirkungsmaß |
| 22 | DIr | dB | Richtwirkungsmaß des reflektierten Schalls |
| 23 | Dre ƒ l | dB | Pegelkorrektur für reflektierende Schallschutzwand mit absorbierendem Sockel |
| 24 | Dz | dB | Abschirmmaß |
| 25 | D ρ | dB | Reflexionsdämpfungsmaß |
| 26 | D Ω | dB | Raumwinkelmaß |
| 27 | e, e 1 ... | m | Abstand zwischen Beugungskanten |
| 28 | ƒ | – | Zähler für Oktavband |
| 29 | ƒm | – | Oktavbandmittenfrequenz |
| 30 | Fz | – | Zähler für Fahrzeugkategorie |
| 31 | h | – | Zähler für Höhenbereich |
| 32 | habs | m | Höhe des absorbierenden Sockels einer Schallschutzwand |
| 33 | hg | m | Höhe der Schallquelle über dem Boden |
| 34 | hLSW | m | Mittlere Höhe einer Schallschutzwand über der Schienenoberkante |
| 35 | hm | m | Mittlere Höhe über dem Boden |
| 36 | hs | m | Höhe der Schallquelle über der Schienenoberkante |
| 37 | hr | m | Höhe des Immissionsortes über dem Boden |
| 38 | i | – | Zähler für Einzelschallquelle |
| 39 | j | – | Zähler für Linienquelle |
| 40 | k | dB | Zähler für Pegelkorrekturen K |
| 41 | K | dB | Pegelkorrekturen |
| 42 | KBr | dB | Pegelkorrektur für Brücken |
| 43 | kF | – | Zähler für Teilstück einer Fläche |
| 44 | KLM | dB | Pegelkorrektur für Schallminderungsmaßnahmen an Brücken |
| 45 | KL | dB | Pegelkorrektur für die Auffälligkeit von Geräuschen |
| 46 | KLA | dB | Pegelkorrektur für Schallschutzmaßnahmen gegen die Auffälligkeit von Geräuschen |
| 47 | Kmet | – | Korrekturfaktor für meteorologische Einflüsse |
| 48 | kS | – | Zähler für Teilstück einer Linie bzw. Strecke |
| 49 | KS | dB | Pegelkorrektur zur Berücksichtigung der geringeren Störwirkung des Schienenverkehrslärms |
| 50 | l | m | Länge |
| 51 | lh | m | Horizontalabmessung eines Hindernisses auf dem Schallausbreitungsweg |
| 52 | ll | m | Senkrechter Abstand zwischen Verbindungslinie Quelle – Empfänger und 1. Endpunkt des Hindernisses auf dem Schallausbreitungsweg |
| 53 | lr | m | Senkrechter Abstand zwischen Verbindungslinie Quelle – Empfänger und 2. Endpunkt des Hindernisses auf dem Schallausbreitungsweg |
| 54 | lmin | m | Kleinste Abmessung des Reflektors |
| 55 | LEA | dB | A-bewerteter Einzelereignispegel je Oktavband ƒ |
| 56 | Lp,Aeq | dB | Äquivalenter Dauerschalldruckpegel |
| 57 | Lp,Aeq,Tag | dB | Äquivalenter Dauerschalldruckpegel für den Beurteilungszeitraum Tag (6 Uhr bis 22 Uhr) |
| 58 | Lp,Aeq,Nacht | dB | Äquivalenter Dauerschalldruckpegel für den Beurteilungszeitraum Nacht (22 Uhr bis 6 Uhr) |
| 59 | Lr | dB | Beurteilungspegel |
| 60 | LWA | dB | A-bewerteter Gesamtpegel der Schallleistung |
| 61 | ΔLW,ƒ | dB | Pegeldifferenz zum A-bewerteten Gesamtpegel der Schallleistung im Oktavband ƒ |
| 62 | LW'A | dB | A-bewerteter Gesamtpegel der längenbezogenen Schallleistung |
| 63 | LW"A | dB | A-bewerteter Gesamtpegel der flächenbezogenen Schallleistung |
| 64 | ΔLW',ƒ | dB | Pegeldifferenz zum A-bewerteten Gesamtpegel der längenbezogenen Schallleistung im Oktavband ƒ |
| 65 | LWA,im | dB | A-bewerteter Gesamtpegel der Schallleistung der Spiegelschallquelle |
| 66 | m | – | Teilquellennummer |
| 67 | nAchs | – | Anzahl der Achsen je Fahrzeugeinheit |
| 68 | nFz | – | Anzahl der Fahrzeuge je Stunde |
| 69 | ni | – | Anzahl der Ereignisse je Stunde an der Punktschallquelle |
| 70 | nj | – | Anzahl der Ereignisse je Stunde an der Linienschallquelle |
| 71 | nQ | – | Anzahl der Schallquellen je Fahrzeugeinheit |
| 72 | q | – | Anzahl der Schallquellen im Rangier- und Umschlagbahnhof |
| 73 | r | m | Radius |
| 74 | R | – | Index für Rangierbahnhof |
| 75 | S | m2 | Fläche |
| 76 | T | s | Zeitdauer |
| 77 | v | km/h | Geschwindigkeit |
| 78 | w | – | Zähler für Ausbreitungsweg |
| 79 | z | m | Umweg eines Schallstrahls durch Beugung |
| 80 | α | dB/km | Absorptionskoeffizient |
| 81 | β | Rad | Reflexionswinkel |
| 82 |
|
Rad | Winkel der Schallabstrahlung |
| 83 | λ | m | Schallwellenlänge |
| 84 | ρ | – | Schallreflexionsgrad |
| Spalte | A | B |
|---|---|---|
| Zeile | Abkürzungen | Bedeutung |
| 1 | büG | besonders überwachtes Gleis |
| 2 | E-Lok | Elektrolokomotive |
| 3 | ET | Elektrotriebwagen |
| 4 | FO | Fahrbahnoberkante |
| 5 | HGV | Hochgeschwindigkeitsverkehr |
| 6 | IO | Immissionsort |
| 7 | Rbf | Rangierbahnhof |
| 8 | SO | Schienenoberkante |
| 9 | Ubf | Umschlagbahnhof |
| 10 | V-Lok | Verbrennungslokomotive (Diesellok) |
| 11 | VT | Verbrennungstriebwagen |
| A-bewerteter Gesamtpegel der längenbezogenen Schallleistung bei der Bezugsgeschwindigkeit v0 = 100 km/h auf Schwellengleis mit durchschnittlichem Fahrflächenzustand, nach Beiblatt 1 und 2, in dB, | |
| Δ | Pegeldifferenz im Oktavband ƒ, nach Beiblatt 1 und 2, in dB, |
| nQ | Anzahl der Schallquellen der Fahrzeugeinheit nach Nummer 4.1 bzw. 5.1, |
| nQ,0 | Bezugsanzahl der Schallquellen der Fahrzeugeinheit nach Nummer 4.1 bzw. 5.1, |
| bƒ,h,m | Geschwindigkeitsfaktor nach Tabelle 6 bzw. 14, |
| vFz | Geschwindigkeit nach Nummer 4.3 bzw. 5.3.2, in km/h, |
| v0 | Bezugsgeschwindigkeit, v0 = 100 km/h, |
![]() | Summe der c Pegelkorrekturen für Fahrbahnart (c1) nach Tabelle 7 bzw. 15 und Fahrfläche (c2) nach Tabelle 8, in dB, |
![]() | Summe der k Pegelkorrekturen für Brücken nach Tabelle 9 bzw. 16 und die Auffälligkeit von Geräuschen nach Tabelle 11, in dB. |
| LWA,h,i , LW'A,h,j | A-bewerteter Gesamtpegel der Schallleistung bzw. der längenbezogenen Schallleistung der Einzelquelle i bzw. j nach Beiblatt 3, in dB, |
| ΔLW,ƒ,h,i, ΔLW',ƒ,h,j | Pegeldifferenz im Oktavband ƒ nach Beiblatt 3, in dB, |
| ni,nj | Anzahl der Ereignisse bzw. Einheiten pro Stunde, |
| Kk | Pegelkorrektur für die Auffälligkeit der Geräusche nach Tabelle 9 und Tabelle 11, in dB. |
| SF | Teilfläche mit gleichmäßiger Schallemission, in m2, |
| S0 = 1 m2 | Bezugsfläche, |
| lj | Länge der Linienquelle j, in m, |
| l0 = 1 m | Bezugslänge, |
| qi,h | Anzahl der Punktschallquellen der Art i im Höhenbereich h, |
| qj,h | Anzahl der Linienschallquellen der Art j im Höhenbereich h. |
|
|
| Spalte | A | B | C |
|---|---|---|---|
| Zeile | Fahrzeugart | Fahrzeug-Kategorie Fz | Bezugsanzahl der Achsen nAchs,0 |
| 1 | HGV-Triebkopf | 1 | 4 |
| 2 | HGV-Mittel-/Steuerwagen, nicht angetrieben | 2 | 4 |
| 3 | HGV-Triebzug | 3 | 32 |
| 4 | HGV-Neigezug | 4 | 28 |
| 5 | E-Triebzug und S-Bahn (ET) | 5 | 10 |
| 6 | V-Triebzug (VT) | 6 | 6 |
| 7 | Elektrolok (E-Lok) | 7 | 4 |
| 8 | Diesellok (V-Lok) | 8 | 4 |
| 9 | Reisezugwagen | 9 | 4 |
| 10 | Güterwagen | 10 | 4 |
| Spalte | A | B | C | D | E | F | G | H | I | J | K | L |
|---|---|---|---|---|---|---|---|---|---|---|---|---|
| Zeile | Zugart | Höchstgeschwindigkeit im Regelverkehr in km/h |
Anzahl der Fahrzeugeinheiten je Fz-Kategorie | |||||||||
| 1 | 2 | 3 | 4 | 5 | 6 | 7 | 8 | 9 | 10 | |||
| 1 | ICE-1-Zug | 250 | 2 | 12 | ||||||||
| 2 | ICE-2-Halbzug | 250 | 1 | 7 | ||||||||
| 3 | ICE-2-Vollzug | 250 | 2 | 14 | ||||||||
| 4 | ICE-3-Halbzug | 300 | 1 | |||||||||
| 5 | ICE-3-Vollzug | 300 | 2 | |||||||||
| 6 | ICE-T | 230 | 1 | |||||||||
| 7 | Thalys-PBKA-Halbzug | 300 | 2 | 5 | ||||||||
| 8 | Thalys-PBKA-Vollzug | 300 | 4 | 10 | ||||||||
| 9 | ETR 470 Cisalpino | 200 | 1 | |||||||||
| 10 | IC-Zug (bespannt mit E-Lok) |
200 | 1 | 12 | ||||||||
| 11 | IC-Zug (bespannt mit V-Lok) |
160 | 1 | 12 | ||||||||
| 12 | Nahverkehrszug (bespannt mit E-Lok) |
160 | 1 | 5 | ||||||||
| 13 | Nahverkehrszug (bespannt mit V-Lok) |
140 | 1 | 5 | ||||||||
| 14 | Nahverkehrszug (ET) | 140 | 1 | |||||||||
| 15 | Nahverkehrszug (VT) | 120 | 1 | |||||||||
| 16 | IC3 | 180 | 1 | |||||||||
| 17 | S-Bahn | 120 | 1 | |||||||||
| 18 | Güterzug (bespannt mit E-Lok) |
100 | 1 | 24 | ||||||||
| 19 | Güterzug (bespannt mit V-Lok) |
100 | 1 | 24 | ||||||||
| Spalte | A | B | C | D | E |
|---|---|---|---|---|---|
| Zeile | Schallquellenart | Höhenbereich h | Höhe hs über SO | Teilquellen m | Geräuschursache, Komponente |
| 1 | Rollgeräusche | 1 | 0 m | 1 | Schienenrauheit |
| 2 | 1 | 0 m | 2 | Radrauheit | |
| 3 | 2 | 4 m | 3 | Abstrahlung des als Körperschall übertragenen Rollgeräusches aufgrund der Schienenrauheit durch Kesselwagenaufbauten | |
| 4 | 2 | 4 m | 4 | Abstrahlung des als Körperschall übertragenen Rollgeräusches aufgrund der Radrauheit durch Kesselwagenaufbauten | |
| 5 | Aerodynamische Geräusche | 3 | 5 m | 5 | Stromabnehmerwippe |
| 6 | 2 | 4 m | 6 | Stromabnehmerfuß, Gitter von Kühl- und Klimaanlagen im Dachbereich | |
| 7 | 1 | 0 m | 7 | Umströmung der Drehgestelle | |
| 8 | Aggregatgeräusche | 2 | 4 m | 8 | Ventilatoren von Kühl- und Klimaanlagen, Saugseite im Dachbereich |
| 9 | 1 | 0 m | 9 | Ventilatoren von Kühl- und Klimaanlagen, Saug- und Druckseite im Unterflurbereich | |
| 10 | Antriebsgeräusche | 2 | 4 m | 10 | Abgasanlage |
| 11 | 1 | 0 m | 11 | Motor, Getriebe |
| Spalte | A | B | C | |||||||
|---|---|---|---|---|---|---|---|---|---|---|
| Zeile | Schallquellenart | Teil- quellen m |
Geschwindigkeitsfaktor b in der Oktavband-Mittenfrequenz, in Hz |
|||||||
| 1 | 63 | 125 | 250 | 500 | 1 000 | 2 000 | 4 000 | 8 000 | ||
| 2 | Rollgeräusche | 1, 2, 3, 4 | –5 | –5 | –5 | 0 | 10 | 25 | 25 | 25 |
| 3 | Aerodynamische Geräusche | 5, 6, 7 | 50 | |||||||
| 4 | Aggregatgeräusche | 8, 9 | –10 | |||||||
| 5 | Antriebsgeräusche | 10, 11 | 20 | |||||||
| Spalte | A | B | C | |||||||
|---|---|---|---|---|---|---|---|---|---|---|
| Zeile | Einflussgröße | Pegelkorrekturen c1 in dB für Oktavband-Mittenfrequenz, in Hz |
||||||||
| 63 | 125 | 250 | 500 | 1 000 | 2 000 | 4 000 | 8 000 | |||
| 1 | Feste Fahrbahn | Erhöhte Schienenabstrahlung | 0 | 0 | 0 | 7 | 3 | 0 | 0 | 0 |
| 2 | Reflexion an der Fahrbahn | 1 | 1 | 1 | 1 | 1 | 1 | 1 | 1 | |
| 3 | Feste Fahrbahn mit Absorber |
Erhöhte Schienenabstrahlung | 0 | 0 | 0 | 7 | 3 | 0 | 0 | 0 |
| 4 | Reflexion an der Fahrbahn | 0 | 0 | 0 | –2 | –2 | –3 | 0 | 0 | |
| 5 | Bahnübergang | Erhöhte Schienenrauheit | 0 | 0 | 0 | 8 | 4 | 0 | 0 | 0 |
| 6 | Reflexion an der Fahrbahn | 1 | 1 | 1 | 1 | 1 | 1 | 1 | 1 | |
| Spalte | A | B | C | |||||||
|---|---|---|---|---|---|---|---|---|---|---|
| Zeile | Maßnahme | Teilquelle m |
Pegelkorrekturen c2 in dB in der Oktavband-Mittenfrequenz, in Hz |
|||||||
| 63 | 125 | 250 | 500 | 1 000 | 2 000 | 4 000 | 8 000 | |||
| 1 | besonders überwachtes Gleis (büG) | 1, 3 | 0 | 0 | 0 | –4 | –5 | –5 | –4 | 0 |
| 2 | Schienenstegdämpfer | 1, 3 | 0 | 0 | 0 | –2 | –3 | –3 | 0 | 0 |
| 3 | 2, 4 | 0 | 0 | 0 | –1 | –3 | –2 | 0 | 0 | |
| 4 | Schienenstegabschirmung | 1 | 0 | 0 | 0 | –3 | –4 | –5 | 0 | 0 |
| Spalte | A | B | C |
|---|---|---|---|
| Zeile | Brücken- und Fahrbahnart |
KBr
in dB |
KLM
in dB |
| 1 | Brücken mit stählernem Überbau, Gleise direkt aufgelagert | 12 | –6 |
| 2 | Brücken mit stählernem Überbau und Schwellengleis im Schotterbett | 6 | –3 |
| 3 | Brücken mit massiver Fahrbahnplatte oder mit besonderem stählernen Überbau und Schwellengleis im Schotterbett | 3 | –3 |
| 4 | Brücken mit fester Fahrbahn | 4 | – |
| Spalte | A | B | C | D | E |
|---|---|---|---|---|---|
| Zeile | Anlagenteil | Schallquellenart | Höhenbereich h | Höhe hs über SO/FO |
Geräuschursache |
| 1 | Rangier- und Umschlagbahnhöfe | ||||
| 2 | Einfahr-, Richtungs-, Nachordnungs- und Ausfahrgruppe in Rangier- und Umschlagbahnhöfen sowie in Autoreisezuganlagen | Rollgeräusche von Lok und Güterwagen, Aggregate und Antriebsgeräusch der Lok |
1 | 0 m | Rauheit der Schienen und Radlaufflächen, Ventilatoren, Motor, Getriebe |
| 3 | Antriebsgeräusche der Rangierlok |
2 | 4 m | Abgasanlage | |
| 4 | Kurvenfahrgeräusch | 1 | 0 m | Stick-slip, Anlaufen der Radspurkränze am Schienenkopf | |
| 5 | Einfahrgruppe | Abdrückgeräusch von Güterwagen über den Ablaufberg | 2 | 4 m | Aggregate und Antrieb der abdrückenden Lok |
| 6 | Richtungs- und Nachordnungsgruppe | Gleisbremsengeräusch | 1 | 0 m | Reibung der Radflanken an Bremsbalken |
| 7 | Retardergeräusch (Klingelgeräusch) |
1 | 0 m | Eindrücken von Stoßdämpfern | |
| 8 | Hemmschuhauflaufgeräusch | 1 | 0 m | Reibung des Radsatzes auf Metall | |
| 9 | Auflaufstoßgeräusch | 6 | 1,5 m | Pufferstoß | |
| 10 | Richtungs- und Ausfahrgruppe | Geräusch beim Anreißen und Abbremsen von lose gekuppelten Wagen | 6 | 1,5 m | ruckartiges Beschleunigen und Abbremsen von lose gekuppelten Güterwagen |
| Spalte | A | B | C | D | E |
|---|---|---|---|---|---|
| Zeile | Schallquellenart | Geräuschquelle |
KL
dB |
KLA
dB |
Bemerkung |
| 1 | Kurvenfahrgeräusch bei Eisenbahnstrecken | Kurvenradius |
8 | –3 | |
| 2 | Kurvenradius von 300 m bis |
3 | –3 | ||
| 3 | Kurvenradius |
0 | |||
| 4 | Kurvenfahrgeräusch in Rangier- und Umschlagbahnhöfen |
alle Radien |
6 | –3 | |
| 5 | Gleisbremsengeräusch | Zulaufbremse | 6 | –3 | |
| 6 | Talbremse TW ohne oder mit Segmenten, Richtungsgleisbremse TWE einseitig mit Segmenten, Talbremse FEW Leipzig | 6 | –3 | ||
| 7 | Talbremse TW beidseitig mit GG-Segmenten, TW schalloptimiert | 3 | |||
| 8 | Schraubenbremse | 3 | |||
| 9 | Retarder | 3 | gilt auch für Rangierfahrten über Retarderstrecken | ||
| 10 | Sonstige Geräusche | Hemmschuhaufläufe | 6 | Geräusche treten nur in Rangierbahnhöfen ohne moderne Rangiertechnik auf |
|
| 11 | Auflaufstöße | 3 | in Rangierbahnhöfen mit moderner Technik | ||
| 12 | 6 | in Rangierbahnhöfen mit älterer Technik | |||
| 13 | Anreißen und Abbremsen von lose gekuppelten Güterwagen | 6 | Geräusche vermeidbar durch festes Kuppeln der Wagen untereinander |
| Spalte | A | B | C |
|---|---|---|---|
| Zeile | Fahrzeugart | Fahrzeug-Kategorie Fz |
Bezugsanzahl der Achsen nAchs,0 |
| 1 | Straßenbahn-Niederflurfahrzeuge | 21 | 8 |
| 2 | Straßenbahn-Hochflurfahrzeuge | 22 | |
| 3 | U-Bahn-Fahrzeuge | 23 |
| Spalte | A | B | C | D | E | F |
|---|---|---|---|---|---|---|
| Zeile | Schallquellenart | Höhenbereich h |
Höhe über SO hS |
Teilquelle m |
Geräuschursache, Komponente | Fahrzeug-Kategorie Fz |
| 1 | Fahrgeräusche | 1 | 0 m | 1 | Schienenrauheit | 21, 22, 23 |
| 2 | 1 | 0 m | 2 | Radrauheit, Motor, Getriebe | ||
| 3 | Aggregatgeräusche | 1 | 0 m | 3 | Stromrichter, Kompressor, Klima- bzw. Lüftungsaggregate |
22, 23 |
| 4 | 2 | 4 m | 4 | Stromrichter, Kompressor, Klima- bzw. Lüftungsaggregate |
21 |
| Spalte | A | B | C | |||||||
|---|---|---|---|---|---|---|---|---|---|---|
| Zeile | Schallquellenart | Teilquelle m |
Geschwindigkeitsfaktor b für Oktavband-Mittenfrequenz, in Hz |
|||||||
| 63 | 125 | 250 | 500 | 1 000 | 2 000 | 4 000 | 8 000 | |||
| 1 | Fahrgeräusch von Niederflur- und Hochflurfahrzeugen | 1, 2 | 0 | 0 | –5 | 5 | 20 | 15 | 15 | 20 |
| 2 | Fahrgeräusch von U-Bahn-Fahrzeugen |
1,2 | 15 | 10 | 20 | 20 | 30 | 25 | 25 | 20 |
| 3 | Aggregatgeräusche | 3, 4 | –10 | |||||||
| Spalte | A | B | C | |||||||
|---|---|---|---|---|---|---|---|---|---|---|
| Zeile | Fahrbahnart | Anwendung Teilquelle m |
Pegelkorrekturen c1 in dB für Oktavband-Mittenfrequenz, in Hz |
|||||||
| 63 | 125 | 250 | 500 | 1 000 | 2 000 | 4 000 | 8 000 | |||
| 1 | Straßenbündiger Bahnkörper und feste Fahrbahn | 1, 2 | 2 | 3 | 2 | 5 | 8 | 4 | 2 | 1 |
| 2 | Begrünter Bahnkörper – Gleiseindeckung mit tief liegender Vegetationsebene | 1, 2 | –2 | –4 | –3 | –1 | –1 | –1 | –1 | –3 |
| 3 | Begrünter Bahnkörper – Gleiseindeckung mit hoch liegender Vegetationsebene | 1, 2 | 1 | –1 | –3 | –4 | –4 | –7 | –7 | –5 |
| Spalte | A | B | C |
|---|---|---|---|
| Zeile | Brücken- und Fahrbahnart |
KBr
dB |
KLM
dB |
| 1 | Brücken mit stählernem Überbau, Gleise direkt aufgelagert | 12 | –6 |
| 2 | Brücken mit stählernem Überbau und Schwellengleis im Schotterbett | 6 | –3 |
| 3 | Brücken mit stählernem Überbau oder massiver Fahrbahnplatte, Gleise in Straßenfahrbahn eingebettet (Rillenschiene) |
4 | – |
| 4 | Brücken mit massiver Fahrbahnplatte oder mit besonderem stählernen Überbau, Gleise auf Schwellengleis im Schotterbett | 3 | –3 |
| 5 | Brücken mit massiver Fahrbahnplatte, Gleise direkt aufgelagert (feste Fahrbahn) |
4 | – |
| Adiv | A durch geometrische Ausbreitung nach Nummer 6.2, |
| Aatm | A durch Luftabsorption nach Nummer 6.3, |
| Agr | A durch Bodeneinfluss nach Nummer 6.4, |
| Abar | A durch Abschirmung durch Hindernisse nach Nummer 6.5. |
| d | Laufweglänge zwischen Punktschallquelle und Immissionsort, in m, |
| d0 = 1 m | Bezugslänge. |
| α | Absorptionskoeffizient der Luft, in dB je 1 000 m für jedes Oktavband bei der Bandmittenfrequenz. |
| Spalte | A | B | |||||||
|---|---|---|---|---|---|---|---|---|---|
| Zeile | Bezeichnung | Oktavband-Mittenfrequenz ƒ, in Hz | |||||||
| 1 | 63 | 125 | 250 | 500 | 1 000 | 2 000 | 4 000 | 8 000 | |
| 2 | Absorptionskoeffizient α in dB je 1 000 m | 0,1 | 0,4 | 1,0 | 1,9 | 3,7 | 9,7 | 32,8 | 117 |
| Agr,B | Dämpfungsmaß durch Bodenabsorption über Boden nach (Gl. 14), |
| Agr,W | Dämpfungsmaß durch Reflexion über Wasser nach (Gl. 16), |
| d | Abstand zwischen Schallquellenmitte und Immissionsort, in m, |
| S | Fläche zwischen Laufweg und Boden, in m². |
| dW | Abschnitt der horizontalen Entfernung zwischen Schallquellenmitte und Immissionsort über Wasserflächen, in m. |
![]() | Schallwellenlänge bei der Oktavband-Mittenfrequenz ƒm, in m, |
| ll | senkrechter Abstand zwischen Verbindungslinie Quelle – Empfänger und 1. Endpunkt des Hindernisses, in m, |
| lr | senkrechter Abstand zwischen Verbindungslinie Quelle – Empfänger und 2. Endpunkt des Hindernisses, in m. |
| Dz | Abschirmmaß nach Gleichung (Gl. 21), in dB. |
|
|
|
Pegelkorrektur für reflektierende Schallschutzwände im Abstand ds |
|
| Agr | Bodeneinfluss nach der Gleichung (Gl. 13), in dB. |
| C2 = 40 | Abschirmfaktor für Bahnstrecken mit Schallquellenarten nach den Tabellen 5 und 13, |
| C2 = 20 | Abschirmfaktor für flächenhafte Bahnanlagen mit Schallquellenarten nach Tabelle 10, |
| C3 = 1 | Abschirmfaktor für Einfachbeugung, |
| Schirmwert als Differenz zwischen den Laufweglängen des gebeugten und des direkten Schalls. Wenn eine Sichtverbindung zwischen Schallquelle und Immissionsort besteht, wird z mit negativem Vorzeichen versehen. | |
| ds | Abstand von der Punktschallquelle zur (ersten) Beugungskante, in m, |
| dr | Abstand von der (letzten) Beugungskante zum Immissionsort, in m, |
| e | Laufweglänge zwischen erster und letzter Schirmkante, in m, |
| d П | Abstand zwischen Punktschallquelle und Immissionsort, gemessen parallel zur Beugungskante (siehe Bild 5), in m, |
| d | Laufweglänge zwischen Quelle und Immissionsort, in m. |
| lmin | kleinste Abmessung des Reflektors, in m, |
| β | Winkel zwischen der Verbindungslinie Quelle zu Immissionsort und der Reflektornormalen, |
![]() | Schallwellenlänge bei der Oktavband-Mittenfrequenz ƒm, in m, |
| dso | Laufweg des Schalls von der Punktschallquelle Q zum Reflektor R, in m, |
| dor | Laufweg des Schalls vom Reflektor R zum Immissionsort IO, in m. |
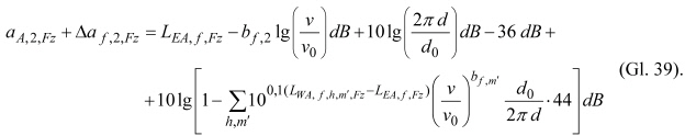
| LWA | A-bewerteter Schallleistungspegel nach den Gleichungen (Gl. 7) und (Gl. 8), in dB, |
| Dρ | Absorptionsverlust für Reflexionen an der Wandoberfläche nach Tabelle 18, in dB, |
| DIr | Richtwirkungsmaß der Punktschallquelle in der Richtung des Spiegelschallempfängers (siehe Gleichung (Gl. 8)), in dB. |
| Spalte | A | B |
|---|---|---|
| Zeile | Wandoberfläche | Absorptionsverlust Dρ in dB |
| 1 | Ebene und harte Wände | 0 |
| 2 | Gebäudewände mit Fenstern und kleinen Anbauten | 1 |
| 3 | Absorbierende Schallschutzwände | 4 |
| 4 | Hoch absorbierende Schallschutzwände | 8 |
| ƒ | Zähler für Oktavband, |
| h | Zähler für Höhenbereich, |
| kS | Zähler für Teilstück oder einen Abschnitt davon, |
| w | Zähler für unterschiedliche Ausbreitungswege, |
| LWA,f,h,kS | A-bewerteter Schallleistungspegel der Punktschallquelle in der Mitte des Teilstücks kS, der die Emission aus dem Höhenbereich h angibt nach der Gleichung (Gl. 6), in dB, |
| DI,kS,w | Richtwirkungsmaß für den Ausbreitungsweg w nach der Gleichung (Gl. 8), in dB, |
| DΩkS | Raumwinkelmaß nach der Gleichung (Gl. 9), in dB, |
| Af,h,kS,w | Ausbreitungsdämpfungsmaß im Oktavband ƒ im Höhenbereich h vom Teilstück kS längs des Weges w nach der Gleichung (Gl. 10), in dB. |
| R | Index für Rangierbahnhof, |
| ƒ | Zähler für Oktavband, |
| h | Zähler für Höhenbereich, |
| i | Zähler für Punktschallquellen, |
| kS | Zähler für Teilstück, |
| kF | Zähler für Teilfläche, |
| w | Zähler für Ausbreitungsweg, |
| LWA,ƒ,h,i | A-bewerteter Schallleistungspegel der Punktschallquelle i nach der Gleichung (Gl. 3), in dB, |
| LWA,f,h,kS | A-bewerteter Schallleistungspegel des Teilstücks kS nach der Gleichung (Gl. 6), in dB, |
| LWA,f,h,kF | A-bewerteter Schallleistungspegel der Teilfläche kF nach der Gleichung (Gl. 7), in dB, |
| DΩ | Raumwinkelmaß nach der Gleichung (Gl. 9), in dB, |
| Aƒ,w | Ausbreitungsdämpfungsmaß im Oktavband ƒ längs des Weges w nach der Gleichung (Gl. 10), in dB. |
| T | Zähler für volle Stunden des Beurteilungszeitraums Tag (6 Uhr bis 22 Uhr), |
| N | Zähler für volle Stunden des Beurteilungszeitraums Nacht (22 Uhr bis 6 Uhr). |
| Lr,Tag | Beurteilungspegel für den Beurteilungszeitraum Tag (6 Uhr bis 22 Uhr), in dB, |
| Lr,Nacht | Beurteilungspegel für den Beurteilungszeitraum Nacht (22 Uhr bis 6 Uhr), in dB, |
| Lp,Aeq,Tag, Lp,Aeq,Nacht | äquivalenter Dauerschalldruckpegel von Strecken, in dB, |
| KS = –5 dB | Pegelkorrektur Straße – Schiene nach Nummer 2.2.18. |
| Lr,Tag | Beurteilungspegel für den Beurteilungszeitraum Tag (6 Uhr bis 22 Uhr), in dB, |
| Lr,Nacht | Beurteilungspegel für den Beurteilungszeitraum Nacht (22 Uhr bis 6 Uhr), in dB, |
| Lp,Aeq,Tag,R, Lp,Aeq,Nacht,R | äquivalenter Dauerschalldruckpegel aus dem Bereich des Rangier- oder Umschlagbahnhofs, in dB, |
| Lp,Aeq,Tag, Lp,Aeq,Nacht | äquivalenter Dauerschalldruckpegel aus dem Bereich durchgehender Streckengleise, in dB, |
| KS = –5 dB | Pegelkorrektur Straße – Schiene im Sinne von Nummer 2.2.18 (gilt nicht für ein- und ausfahrende Züge und Rangierfahrten). |
| Lr,Tag | Beurteilungspegel für den Beurteilungszeitraum Tag (6 Uhr bis 22 Uhr), in dB, |
| Lr,Nacht | Beurteilungspegel für den Beurteilungszeitraum Nacht (22 Uhr bis 6 Uhr), in dB, |
| Lp,Aeq,Tag, Lp,Aeq,Nacht | äquivalenter Dauerschalldruckpegel von Strecken, in dB, |
| KS = –5 dB | Pegelkorrektur zur Berücksichtigung der geringeren Störwirkung des Schienenverkehrslärms gegenüber dem Straßenverkehr nach Nummer 2.2.18. |
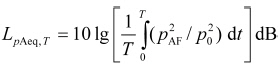
| A-bewerteter Summenschallpegel der längenbezogenen Schallleistung bei der Bezugsgeschwindigkeit v0 = 100 km/h auf Schwellengleis für das Rollgeräusch aufgrund der Radrauheit (Teilquelle m = 2), in dB, | |
| Pegeldifferenz der längenbezogenen Schallleistung bei der Bezugsgeschwindigkeit v0 = 100 km/h auf Schwellengleis für das Rollgeräusch aufgrund der Radrauheit (Teilquelle m = 2), im Oktavband ƒ, in dB, | |
| LEA,ƒ | A-bewerteter Einzelereignispegel je Oktavband, in dB, |
| bƒ,2 | Geschwindigkeitsfaktor für Rollgeräusche (Teilquelle m = 2) nach Tabelle 6, |
| v | Geschwindigkeit während der Vorbeifahrt, in km/h, |
| v0 = 100 km/h | Bezugsgeschwindigkeit, |
| LWA,ƒ,h,m´,Fz | A-bewerteter Oktav-Schallleistungspegel anderer Teilquellen, in dB, |
| bƒ,m´ | Geschwindigkeitsfaktor für andere Teilquellen nach Tabelle 6, |
| m´ | Zähler für Teilquellen ohne m = 2. |
| Spalte | A | B | C |
|---|---|---|---|
| Zeile | Fahrflächenzustand der Schienen | Energetischer Beitrag zur Gesamt- emission |
Pegeldifferenz zur Radrauheit (Teilquelle m = 2) |
| 1 | Sehr glatt | 0 % | –20 dB |
| 2 | Glatt, Grenzwert nach TSI bzw. VDV 154 | 20 % | –7 dB |
| 3 | Glatt, Grenzwert nach DIN EN ISO 3095:2014-7 | 40 % | –4 dB |
| Spalte | A | B | C | D |
|---|---|---|---|---|
| Zeile | 1 Messort, Mittelwert über verschiedene Fz, in dB |
3 Messorte, Mittelwert über verschiedene Fz, in dB |
1 Messort (z. B. TSI, VDV 154), Mittelwert über gleiche Fz, in dB |
|
| 1 | Fahrzeuge mit Scheibenbremsen | 2 | 0 | 3 |
| 2 | Fahrzeuge mit Verbundstoff-Klotzbremsen | 2 | 1 | 4 |
| 3 | Fahrzeuge mit Grauguss-Klotzbremsen | 3 | 2 | 5 |