print

Verordnung über die Ermittlung und Bekanntgabe der Sätze zur Abzinsung von Rückstellungen – RückAbzinsV

Auf Grund des § 253 Absatz 2 Satz 4 und 5 des Handelsgesetzbuchs in der im Bundesgesetzblatt Teil III, Gliederungsnummer 4100-1, veröffentlichten bereinigten Fassung, der durch Artikel 1 Nummer 10 des Gesetzes vom 25. Mai 2009 (BGBl. I S. 1102) neu gefasst worden ist, verordnet das Bundesministerium der Justiz im Benehmen mit der Deutschen Bundesbank:

1Rückstellungen für Verpflichtungen gemäß § 253 Absatz 2 Satz 1 und 2 des Handelsgesetzbuchs werden auf der Grundlage der Abzinsungszinssätze abgezinst, die von der Deutschen Bundesbank nach Maßgabe dieser Verordnung mit zwei Nachkommastellen ermittelt und bekannt gemacht werden.
2Die Zinssätze werden aus einer um einen Aufschlag erhöhten Null-Kupon-Euro-Zinsswapkurve ermittelt.

1Die Null-Kupon-Euro-Zinsswapkurve wird auf der Grundlage von Euro-Festzins-Swapsätzen mit den Laufzeiten ein bis zehn Jahre, zwölf, 15, 20, 25, 30, 40 und 50 Jahre berechnet.
2Die verwendeten Zeitreihen sind veröffentlichte Vortagsendstände für aus einer Reihe von Swap-Anbietern zusammengesetzte beste Geldkurse mit Verzinsung auf der Basis von 30 zu 360 Zinsberechnungstagen.
3Die Swapsätze für die ganzjährigen Laufzeiten zwischen den genannten Laufzeiten werden interpoliert.
4Die Berechnung des Aufschlags erfolgt anhand eines breiten Rendite-Indexes für auf Euro lautende Unternehmensanleihen aller Laufzeiten mit einer hochklassigen Bonitätseinstufung.
5Die Daten können von internationalen Finanzdatenanbietern bezogen werden.
6Es ist ausreichend, die Daten nur eines Finanzdatenanbieters heranzuziehen.

1Die Zins-Swapsätze mit jährlicher Verzinsung werden wie folgt bezeichnet:
2

S t =Festzins-Swapsatz mit Laufzeit t in Jahren,
N t =Null-Kupon-Swapsatz mit Laufzeit t und Zinszahlung erst am Laufzeitende,
Tt 1,t 2 =impliziter Null-Kupon-Termin-Swapsatz mit Laufzeit von 1 bis 2.

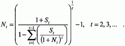
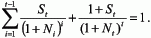
1Die Null-Kupon-Swapsätze werden aus den Festzins-Swapsätzen mit Hilfe der Null-Kupon-Anleihen-Entbündelung (Bootstrapping) abgeleitet, und sind dadurch charakterisiert, dass die Fälligkeitstermine im Jahresabstand aufeinanderfolgen und mit den Kuponterminen zusammenfallen.
2Für den Gegenwartswert eines Festzins-Swaps mit Laufzeit
t
gilt:




2
3 Der Festzins-Swapsatz mit einer Laufzeit von einem Jahr entspricht dem Null-Kupon-Swapsatz mit einer einjährigen Laufzeit;
S
1
=
N
1
.
4Die weiteren ganzjährigen Null-Kupon-Swapsätze werden wie folgt schrittweise berechnet:


(1) Der implizite Termin-Swapsatz aus Null-Kupon-Swapsätzen mit Laufzeitbeginn t über eine Laufzeit von einem Jahr (der Termin-Swapsatz zwischen t und t +1) wird wie folgt berechnet:

(2) 1Für Laufzeiten über zehn Jahre werden nicht alle jährlichen Festzins-Swapsätze verwendet.
2Die dazwischenliegenden ganzjährigen Laufzeiten werden aus den verwendeten Laufzeiten zwölf, 15, 20, 25, 30, 40 und 50 Jahre abgeleitet.
3Für die Interpolation wird die Annahme getroffen, dass die Termin-Swapsätze für die dazwischenliegenden Laufzeiten konstant sind.
4Die fehlenden Null-Kupon-Swapsätze mit Laufzeit
t
 2 werden dann mit der nachstehenden Methode ermittelt.
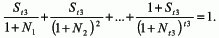
5Der Gegenwartswert eines Festzins-Swaps mit Laufzeit
t
 3 stellt sich wie folgt dar, wobei S
1
, S
2
,…, S
t 1
und S
t 3
sowie N
1
, N
2
,…, N
t 1
bekannt sind,

1<

2<

3 und
t
 2 –
t
 1

1 sind:




5
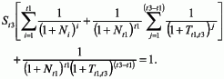
6 Annahmegemäß gilt:






6
7 Der Termin-Swapsatz (
T
t 1,t 3
) wird in der letzten Gleichung, da der Swapsatz mit Laufzeit
t
 3 (
S
t 3
) und die Null-Kupon-Swapsätze
N
1
bis
N
t 1
bekannt sind, mittels eines numerischen Verfahrens (Newton-Verfahren) berechnet.
8Danach wird der Null-Kupon-Swapsatz mit Laufzeit
t
 2 (
N
t 2
) durch das Einsetzen des Termin-Swapsatzes
T
t 1,t 3
in die folgende Gleichung bestimmt:


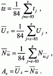
1Zur Berechnung des Aufschlags wird die Rendite des Unternehmensanleihenindexes über die vergangenen 84 Monatsendstände arithmetisch gemittelt.
2Weiterhin wird die durchschnittliche Laufzeit der im Index enthaltenen Anleihen über den gleichen Zeitraum berechnet.
3Für diese durchschnittliche Laufzeit wird der Null-Kupon-Swapsatz ermittelt (bei nicht ganzjährigen Laufzeiten durch lineare Interpolation), auch dieser aus dem arithmetischen Mittel der letzten 84 Monatsendstände der Swapsätze.
4Dann wird der Abstand zwischen der gemittelten Unternehmensanleihenrendite und dem laufzeitgleichen gemittelten Null-Kupon-Swapsatz berechnet.
5Dieser Abstand erhöht als Aufschlag die gemittelte Null-Kupon-Euro-Zinsswapkurve über deren gesamte Laufzeit.
6Dabei sind
U
z
die Rendite des Unternehmensanleihenindexes,
tz
die durchschnittliche Laufzeit der Anleihen des Indexes und
N
tz
der Null-Kupon-Swapsatz mit Laufzeit
t
zum Zeitpunkt
z
.Der Aufschlag (
A
z
) ergibt sich wie folgt:




6
7 Der Abzinsungszinssatz mit Laufzeit
t
zum Zeitpunkt
z
(
AS
tz
) ergibt sich dann als Summe vom jeweiligen gemittelten Null-Kupon-Swapsatz und dem für diesen Zeitpunkt einheitlichen Aufschlag:


Für die Berechnung des Aufschlags bei Rückstellungen für Altersversorgungsverpflichtungen nach § 253 Absatz 2 Satz 1 und 2 des Handelsgesetzbuchs treten bei der Anwendung des § 6 an die Stelle von 84 Monatsendständen 120 Monatsendstände.

Auf Basis der Daten des letzten Handelstages des Monats veröffentlicht die Deutsche Bundesbank monatlich die Null-Kupon-Euro-Zinsswapsätze und die Abzinsungszinssätze für die ganzjährigen Laufzeiten von einem Jahr bis 50 Jahre auf ihrer Internetseite www.bundesbank.de.

Diese Verordnung tritt am Tag nach der Verkündung in Kraft.

1§ 6a in der Fassung des Gesetzes zur Umsetzung der Wohnimmobilienkreditrichtlinie und zur Änderung handelsrechtlicher Vorschriften vom 11. März 2016 (BGBl. I S. 396) ist erstmals auf die Berechnung des Aufschlags zum 17. März 2016 anzuwenden.
2Die Deutsche Bundesbank berechnet die Abzinsungszinssätze für Rückstellungen für Altersversorgungsverpflichtungen nach Maßgabe des § 6a in der ab dem 17. März 2016 geltenden Fassung auch rückwirkend auf Basis der Daten des jeweils letzten Handelstages des Monats ab einschließlich Januar 2015 und veröffentlicht die so berechneten Abzinsungszinssätze zusätzlich auf ihrer Internetseite.

Zuletzt geändert durch Art. 9 G v. 11.3.2016 I 396
Seite zuletzt aktualisiert am 20. Dezember '25