print

Achtzehnte Verordnung zur Durchführung des Bundes-Immissionsschutzgesetzes – 18. BImSchV

Auf Grund des § 23 Abs. 1 des Bundes-Immissionsschutzgesetzes in der Fassung der Bekanntmachung vom 14. Mai 1990 (BGBl. I S. 880) verordnet die Bundesregierung nach Anhörung der beteiligten Kreise:

(1) Diese Verordnung gilt für die Errichtung, die Beschaffenheit und den Betrieb von Sportanlagen, soweit sie zum Zwecke der Sportausübung betrieben werden und einer Genehmigung nach § 4 des Bundes-Immissionsschutzgesetzes nicht bedürfen.

(2) Sportanlagen sind ortsfeste Einrichtungen im Sinne des § 3 Abs. 5 Nr. 1 des Bundes-Immissionsschutzgesetzes, die zur Sportausübung bestimmt sind.

(3) 1Zur Sportanlage zählen auch Einrichtungen, die mit der Sportanlage in einem engen räumlichen und betrieblichen Zusammenhang stehen.
2Zur Nutzungsdauer der Sportanlage gehören auch die Zeiten des An- und Abfahrverkehrs sowie des Zu- und Abgangs.

(1) Sportanlagen sind so zu errichten und zu betreiben, daß die in den Absätzen 2 bis 4 genannten Immissionsrichtwerte unter Einrechnung der Geräuschimmissionen anderer Sportanlagen nicht überschritten werden.

(2) Die Immissionsrichtwerte betragen für Immissionsorte außerhalb von Gebäuden

1.
in Gewerbegebieten
tags außerhalb der Ruhezeiten 65 dB(A),
tags innerhalb der Ruhezeiten am Morgen 60 dB(A), im Übrigen 65 dB(A),
nachts 50 dB(A),
1a.
in urbanen Gebieten
tags außerhalb der Ruhezeiten 63 dB(A),
tags innerhalb der Ruhezeiten am Morgen 58 dB(A), im Übrigen 63 dB(A),
nachts 45 dB(A),
2.
in Kerngebieten, Dorfgebieten und Mischgebieten
tags außerhalb der Ruhezeiten 60 dB(A),
tags innerhalb der Ruhezeiten am Morgen 55 dB(A), im Übrigen 60 dB(A),
nachts 45 dB(A),
3.
in allgemeinen Wohngebieten und Kleinsiedlungsgebieten
tags außerhalb der Ruhezeiten 55 dB(A),
tags innerhalb der Ruhezeiten am Morgen 50 dB(A), im Übrigen 55 dB(A),
nachts 40 dB(A),
4.
in reinen Wohngebieten
tags außerhalb der Ruhezeiten 50 dB(A),
tags innerhalb der Ruhezeiten am Morgen 45 dB(A), im Übrigen 50 dB(A),
nachts 35 dB(A),
5.
in Kurgebieten, für Krankenhäuser und Pflegeanstalten
tags außerhalb der Ruhezeiten 45 dB(A),
tags innerhalb der Ruhezeiten 45 dB(A),
nachts 35 dB(A).

(3) Werden bei Geräuschübertragung innerhalb von Gebäuden in Aufenthaltsräumen von Wohnungen, die baulich aber nicht betrieblich mit der Sportanlage verbunden sind, von der Sportanlage verursachte Geräuschimmissionen mit einem Beurteilungspegel von mehr als 35 dB(A) tags oder 25 dB(A) nachts festgestellt, hat der Betreiber der Sportanlage Maßnahmen zu treffen, welche die Einhaltung der genannten Immissionsrichtwerte sicherstellen; dies gilt unabhängig von der Lage der Wohnung in einem der in Absatz 2 genannten Gebiete.

(4) Einzelne kurzzeitige Geräuschspitzen sollen die Immissionsrichtwerte nach Absatz 2 tags um nicht mehr als 30 dB(A) sowie nachts um nicht mehr als 20 dB(A) überschreiten; ferner sollen einzelne kurzzeitige Geräuschspitzen die Immissionsrichtwerte nach Absatz 3 um nicht mehr als 10 dB(A) überschreiten.

(5) 1Die Immissionsrichtwerte beziehen sich auf folgende Zeiten:
2

1. tagsan Werktagen6.00 bis 22.00 Uhr,
 an Sonn- und Feiertagen7.00 bis 22.00 Uhr,
2. nachtsan Werktagen0.00 bis 6.00 Uhr,
 und22.00 bis 24.00 Uhr
 an Sonn- und Feiertagen0.00 bis 7.00 Uhr,
 und22.00 bis 24.00 Uhr,
3. Ruhezeitan Werktagen6.00 bis 8.00 Uhr
 und20.00 bis 22.00 Uhr,
 an Sonn- und Feiertagen7.00 bis 9.00 Uhr,
  13.00 bis 15.00 Uhr
 und20.00 bis 22.00 Uhr.
Die Ruhezeit von 13.00 bis 15.00 Uhr an Sonn- und Feiertagen ist nur zu berücksichtigen, wenn die Nutzungsdauer der Sportanlage oder der Sportanlagen an Sonn- und Feiertagen in der Zeit von 9.00 bis 20.00 Uhr 4 Stunden oder mehr beträgt.

(6) 1Die Art der in Absatz 2 bezeichneten Gebiete und Anlagen ergibt sich aus den Festsetzungen in den Bebauungsplänen.
2Sonstige in Bebauungsplänen festgesetzte Flächen für Gebiete und Anlagen sowie Gebiete und Anlagen, für die keine Festsetzungen bestehen, sind nach Absatz 2 entsprechend der Schutzbedürftigkeit zu beurteilen.
3Weicht die tatsächliche bauliche Nutzung im Einwirkungsbereich der Anlage erheblich von der im Bebauungsplan festgesetzten baulichen Nutzung ab, ist von der tatsächlichen baulichen Nutzung unter Berücksichtigung der vorgesehenen baulichen Entwicklung des Gebietes auszugehen.

(7) Die von der Sportanlage oder den Sportanlagen verursachten Geräuschimmissionen sind nach dem Anhang zu dieser Verordnung zu ermitteln und zu beurteilen.

Zur Erfüllung der Pflichten nach § 2 Abs. 1 hat der Betreiber insbesondere

1.
an Lautsprecheranlagen und ähnlichen Einrichtungen technische Maßnahmen, wie dezentrale Aufstellung von Lautsprechern und Einbau von Schallpegelbegrenzern, zu treffen,
2.
technische und bauliche Schallschutzmaßnahmen, wie die Verwendung lärmgeminderter oder lärmmindernder Ballfangzäune, Bodenbeläge, Schallschutzwände und -wälle, zu treffen,
3.
Vorkehrungen zu treffen, daß Zuschauer keine übermäßig lärmerzeugenden Instrumente wie pyrotechnische Gegenstände oder druckgasbetriebene Lärmfanfaren verwenden, und
4.
An- und Abfahrtswege und Parkplätze durch Maßnahmen betrieblicher und organisatorischer Art so zu gestalten, daß schädliche Umwelteinwirkungen durch Geräusche auf ein Mindestmaß beschränkt werden.

Weitergehende Vorschriften, vor allem zum Schutz der Sonn- und Feiertags-, Mittags- und Nachtruhe oder zum Schutz besonders empfindlicher Gebiete, bleiben unberührt.

(1) Die zuständige Behörde soll von Nebenbestimmungen zu erforderlichen Zulassungsentscheidungen und Anordnungen zur Durchführung dieser Verordnung absehen, wenn die von der Sportanlage ausgehenden Geräusche durch ständig vorherrschende Fremdgeräusche nach Nummer 1.4 des Anhangs überlagert werden.

(2) Die zuständige Behörde kann zur Erfüllung der Pflichten nach § 2 Abs. 1 außer der Festsetzung von Nebenbestimmungen zu erforderlichen Zulassungsentscheidungen oder der Anordnung von Maßnahmen nach § 3 für Sportanlagen Betriebszeiten (ausgenommen für Freibäder von 7.00 Uhr bis 22.00 Uhr) festsetzen; hierbei sind der Schutz der Nachbarschaft und der Allgemeinheit sowie die Gewährleistung einer sinnvollen Sportausübung auf der Anlage gegeneinander abzuwägen.

(3) 1Die zuständige Behörde soll von einer Festsetzung von Betriebszeiten absehen, soweit der Betrieb einer Sportanlage dem Schulsport oder der Durchführung von Sportstudiengängen an Hochschulen dient.
2Dient die Anlage auch der allgemeinen Sportausübung, sind bei der Ermittlung der Geräuschimmissionen die dem Schulsport oder der Durchführung von Sportstudiengängen an Hochschulen zuzurechnenden Teilzeiten nach Nummer 1.3.2.3 des Anhangs außer Betracht zu lassen; die Beurteilungszeit wird um die dem Schulsport oder der Durchführung von Sportstudiengängen an Hochschulen tatsächlich zuzurechnenden Teilzeiten verringert.
3Die Sätze 1 und 2 gelten entsprechend für Sportanlagen, die der Sportausbildung im Rahmen der Landesverteidigung dienen.

(4) Bei Sportanlagen, die vor Inkrafttreten dieser Verordnung baurechtlich genehmigt oder - soweit eine Baugenehmigung nicht erforderlich war - errichtet waren und danach nicht wesentlich geändert werden, soll die zuständige Behörde von einer Festsetzung von Betriebszeiten absehen, wenn die Immissionsrichtwerte an den in § 2 Abs. 2 genannten Immissionsorten jeweils um weniger als 5 dB(A) überschritten werden; dies gilt nicht an den in § 2 Abs. 2 Nr. 5 genannten Immissionsorten.

(5) Die zuständige Behörde soll von einer Festsetzung von Betriebszeiten absehen, wenn infolge des Betriebs einer oder mehrerer Sportanlagen bei seltenen Ereignissen nach Nummer 1.5 des Anhangs Überschreitungen der Immissionsrichtwerte nach § 2 Abs. 2

1.
die Geräuschimmissionen außerhalb von Gebäuden die Immissionsrichtwerte nach § 2 Abs. 2 um nicht mehr als 10 dB(A), keinesfalls aber die folgenden Höchstwerte überschreiten:

tags außerhalb der Ruhezeiten70 dB(A),
tags innerhalb der Ruhezeiten65 dB(A),
nachts55 dB(A)
und
2.
einzelne kurzzeitige Geräuschspitzen die nach Nummer 1 für seltene Ereignisse geltenden Immissionsrichtwerte tags um nicht mehr als 20 dB(A) und nachts um nicht mehr als 10 dB(A) überschreiten.

(6) In dem in Artikel 3 des Einigungsvertrages genannten Gebiet soll die zuständige Behörde für die Durchführung angeordneter Maßnahmen nach § 3 Nr. 1 und 2 eine Frist setzen, die bis zu zehn Jahre betragen kann.

(7) Im übrigen Geltungsbereich dieser Verordnung soll die zuständige Behörde bei Sportanlagen, die vor Inkrafttreten der Verordnung baurechtlich genehmigt oder - soweit eine Baugenehmigung nicht erforderlich war - errichtet waren, für die Durchführung angeordneter Maßnahmen nach § 3 Nr. 1 und 2 eine angemessene Frist gewähren.

1Die zuständige Behörde kann für internationale oder nationale Sportveranstaltungen von herausragender Bedeutung im öffentlichen Interesse Ausnahmen von den Bestimmungen des § 5 Abs. 5, einschließlich einer Überschreitung der Anzahl der seltenen Ereignisse nach Nummer 1.5 des Anhangs, zulassen.
2Satz 1 gilt entsprechend auch für Verkehrsgeräusche auf öffentlichen Verkehrsflächen außerhalb der Sportanlage durch das der Anlage zuzurechnende Verkehrsaufkommen nach Nummer 1.1 Satz 2 des Anhangs einschließlich der durch den Zu- und Abgang der Zuschauer verursachten Geräusche.

1Die in den Nummern 2.1, 2.3, 3.1 und 3.2 des Anhangs genannten DIN-Normblätter und VDI-Richtlinien sind bei der Beuth Verlag GmbH, Berlin, zu beziehen.
2Die genannten Normen und Richtlinien sind bei dem Deutschen Patentamt archivmäßig gesichert niedergelegt.

Der Bundesrat hat zugestimmt.

Diese Verordnung tritt drei Monate nach der Verkündung in Kraft.

1(Fundstelle des Originaltextes:
2BGBl. I 1991, 1591 - 1596;

bzgl. der einzelnen Änderungen vgl. Fußnote)

Ermittlungs- und Beurteilungsverfahren

1.
Allgemeines
1.1.
Zuzurechnende Geräusche
Den Sportanlagen sind folgende bei bestimmungsgemäßer Nutzung auftretende Geräusche zuzurechnen:
a)
Geräusche durch technische Einrichtungen und Geräte,
b)
Geräusche durch die Sporttreibenden,
c)
Geräusche durch die Zuschauer und sonstigen Nutzer,
d)
Geräusche, die von Parkplätzen auf dem Anlagengelände ausgehen.
Verkehrsgeräusche einschließlich der durch den Zu- und Abgang der Zuschauer verursachten Geräusche auf öffentlichen Verkehrsflächen außerhalb der Sportanlage durch das der Anlage zuzuordnende Verkehrsaufkommen sind bei der Beurteilung gesondert von den anderen Anlagengeräuschen zu betrachten und nur zu berücksichtigen, sofern sie nicht im Zusammenhang mit seltenen Ereignissen (Nummer 1.5) auftreten und im Zusammenhang mit der Nutzung der Sportanlage den vorhandenen Pegel der Verkehrsgeräusche rechnerisch um mindestens 3 dB(A) erhöhen. Hierbei ist das Berechnungs- und Beurteilungsverfahren der Verkehrslärmschutzverordnung vom 12. Juni 1990 (BGBl. I S. 1036) sinngemäß anzuwenden. Lediglich die Berechnung der durch den Zu- und Abgang der Zuschauer verursachten Geräusche erfolgt nach diesem Anhang.
1.2
Maßgeblicher Immissionsort
Der für die Beurteilung maßgebliche Immissionsort liegt
a)
bei bebauten Flächen 0,5 m außerhalb, etwa vor der Mitte des geöffneten, vom Geräusch am stärksten betroffenen Fensters eines zum dauernden Aufenthalt von Menschen bestimmten Raumes einer Wohnung, eines Krankenhauses, einer Pflegeanstalt oder einer anderen ähnlich schutzbedürftigen Einrichtung;
b)
bei unbebauten Flächen, die aber mit zum Aufenthalt von Menschen bestimmten Gebäuden bebaut werden dürfen, an dem am stärksten betroffenen Rand der Fläche, wo nach dem Bau- und Planungsrecht Gebäude mit zu schützenden Räumen erstellt werden dürfen;
c)
bei mit der Anlage baulich aber nicht betrieblich verbundenen Wohnungen in dem am stärksten betroffenen, nicht nur dem vorübergehenden Aufenthalt dienenden Raum.
Einzelheiten hierzu sind in Nr. 3.2.2.1 geregelt.
1.3
Ermittlung der Geräuschimmission
1.3.1.
Beurteilungspegel, einzelne kurzzeitige Geräuschspitzen
Der Beurteilungspegel Lr kennzeichnet die Geräuschimmission während der Beurteilungszeit nach Nr. 1.3.2. Er wird gemäß Nr. 1.6 mit den Immissionsrichtwerten verglichen.
Der Beurteilungspegel wird gebildet aus dem für die jeweilige Beurteilungszeit ermittelten Mittelungspegel LAm und gegebenenfalls den Zuschlägen KI für Impulshaltigkeit und/oder auffällige Pegeländerungen nach Nr. 1.3.3 und KT für Ton- und Informationshaltigkeit nach Nr. 1.3.4.
Für die Beurteilung einzelner kurzzeitiger Geräuschspitzen wird deren Maximalpegel LAFmax herangezogen.
Für die Beurteilung von Geräuschen bei neu zu errichtenden Sportanlagen sind die Geräuschimmissionen nach dem in Nr. 2 beschriebenen Prognoseverfahren, bei bestehenden Sportanlagen in der Regel nach Nr. 3 durch Messung zu bestimmen.
1.3.2
Beurteilungszeiten Tr
1.3.2.1
Werktags
An Werktagen gilt für Geräuscheinwirkungen
tags außerhalb der Ruhezeiten (8 bis 20 Uhr) eine Beurteilungszeit von 12 Stunden,
tags während der Ruhezeiten (6 bis 8 Uhr und 20 bis 22 Uhr) jeweils eine Beurteilungszeit von 2 Stunden,
nachts (22 bis 6 Uhr) eine Beurteilungszeit von 1 Stunde (ungünstigste volle Stunde).
1.3.2.2
Sonn- und feiertags
An Sonn- und Feiertagen gilt für Geräuscheinwirkungen
tags außerhalb der Ruhezeiten (9 bis 13 Uhr und 15 bis 20 Uhr) eine Beurteilungszeit von 9 Stunden,
tags während der Ruhezeiten (7 bis 9 Uhr, 13 bis 15 Uhr und 20 bis 22 Uhr) jeweils eine Beurteilungszeit von 2 Stunden,
nachts (0 bis 7 Uhr und 22 bis 24 Uhr) eine Beurteilungszeit von 1 Stunde (ungünstigste volle Stunde).
Beträgt die gesamte Nutzungszeit der Sportanlage oder Sportanlagen zusammenhängend weniger als 4 Stunden und fallen mehr als 30 Minuten der Nutzungszeit in die Zeit von 13 bis 15 Uhr, gilt als Beurteilungszeit ein Zeitabschnitt von 4 Stunden, der die volle Nutzungszeit umfaßt.
1.3.2.3
Teilzeiten Ti
Treten während einer Beurteilungszeit unterschiedliche Emissionen, jeweils unter Einschluß der Impulshaltigkeit, auffälliger Pegeländerungen, der Ton- und Informationshaltigkeit sowie kurzzeitiger Geräuschspitzen, auf, ist zur Ermittlung der Geräuschimmission während der gesamten Beurteilungszeit diese in geeigneter Weise in Teilzeiten Ti aufzuteilen, in denen die Emissionen im wesentlichen gleichartig sind. Eine solche Unterteilung ist z.B. bei zeitlich abgrenzbarem unterschiedlichem Betrieb der Sportanlage erforderlich.
1.3.3
Zuschlag Kl,i für Impulshaltigkeit und/oder auffällige Pegeländerungen
Enthält das zu beurteilende Geräusch während einer Teilzeit Ti der Beurteilungszeit nach Nr. 1.3.2 Impulse und/oder auffällige Pegeländerungen, wie z.B. Aufprallgeräusche von Bällen, Geräusche von Startpistolen, Trillerpfeifen oder Signalgebern, ist für diese Teilzeit ein Zuschlag Kl,izum Mittelungspegel LAm,i zu berücksichtigen.
Bei Geräuschen durch die menschliche Stimme ist, soweit sie nicht technisch verstärkt sind, kein Zuschlag Kl,i anzuwenden .
Treten die Impulse und/oder auffälligen Pegeländerungen in der Teilzeit Ti im Mittel höchstens einmal pro Minute auf, sind neben dem Mittelungspegel LAm,i der mittlere Maximalpegel LAFmax,i (energetischer Mittelwert) und die mittlere Anzahl n pro Minute der Impulse und/oder auffälligen Pegeländerungen zu bestimmen. Der Zuschlag Kl,i beträgt dann :
(1)
Sofern Impulse und/oder auffällige Pegeländerungen in der Teilzeit Ti mehr als einmal pro Minute auftreten, ist der Wirkpegel LAFTm,i nach dem Taktmaximalverfahren mit einer Taktzeit von 5 Sekunden zu bestimmen. Dieser beinhaltet bereits den Zuschlag Kl,i für Impulshaltigkeit und/oder auffällige Pegeländerungen ( LAm,i Kl,i für Impulshaltigkeit und/oder auffällige Pegeländerungen (LAm,i + Kl,i = LAFTm,i). Bei Anlagen, die Geräuschimmissionen mit Impulsen und/oder auffälligen Pegeländerungen in der Teilzeit Ti mehr als einmal pro Minute hervorrufen und vor Inkrafttreten dieser Verordnung baurechtlich genehmigt oder - soweit eine Baugenehmigung nicht erforderlich war - errichtet waren, ist für die betreffende Teilzeit ein Abschlag von 3 dB(A) zu berücksichtigen.
1.3.4.
Zuschlag KT,i für Ton- und Informationshaltigkeit
Wegen der erhöhten Belästigung beim Mithören ungewünschter Informationen ist je nach Auffälligkeit in den entsprechenden Teilzeiten Ti ein Informationszuschlag KInf,i von 3 dB oder 6 dB zum Mittelungspegel LAm,i zu addieren. KInf,i ist in der Regel nur bei Lautsprecherdurchsagen oder bei Musikwiedergaben anzuwenden. Ein Zuschlag von 6 dB ist zu wählen, wenn Lautsprecherdurchsagen gut verständlich oder Musikwiedergaben deutlich hörbar sind.
Heben sich aus dem Geräusch von Sportanlagen Einzeltöne heraus, ist ein Tonzuschlag KTon,i von 3 dB oder 6 dB zum Mittelungspegel LAm,i für die Teilzeiten hinzuzurechnen, in denen die Töne auftreten. Der Zuschlag von 6 dB gilt nur bei besonderer Auffälligkeit der Töne. In der Regel kommen tonhaltige Geräusche bei Sportanlagen nicht vor.
Die hier genannten Zuschläge sind so zusammenzufassen, daß der Gesamtzuschlag auf maximal 6 dB begrenzt bleibt:
(2).
1.3.5
Bestimmung der Beurteilungspegel
Die Beurteilungspegel werden für die Beurteilungszeit Tr unter Berücksichtigung der Zuschläge Kl,i für Impulshaltigkeit und/oder auffällige Pegeländerungen und KT,i für Ton- und Informationshaltigkeit nach Gleichung (3) ermittelt:
(3)
mit
a)
für den Tag außerhalb der Ruhezeiten

 an WerktagenT(tief)r = Summe i T(tief)i = 12 h,
 an Sonn- und FeiertagenT(tief)r = Summe i T(tief)i = 9 h,
b)für den Tag innerhalb der Ruhezeiten
  T(tief)r = Summe i T(tief)i = 2 h,
c)für die NachtT(tief)r = Summe i T(tief)i = 1 h
  BGBl. I 1991, 1593)
und LAm,i , Kl,i und KT,i die Mittelungspegel und Zuschläge für Impulshaltigkeit und/oder auffällige Pegeländerungen oder der Abschlag nach Nr. 1.3.3 sowie der Zuschlag für Ton- und Informationshaltigkeit nach Nr. 1.3.4 während der zugehörigen Teilzeiten Ti .
Im Falle von Nr. 1.3.2.2 Satz 2 beträgt Tr = 4 Stunden.
Zur Bestimmung der Beurteilungszeit Tr im Falle von § 5 Abs. 3 sind die Beurteilungszeiten nach Buchstaben a, b oder c um die außer Betracht zu lassenden Teilzeiten Ti nach Nr. 1.3.2.3 (tatsächliche Nutzungszeit) zu kürzen.
1.4
Ständig vorherrschende Fremdgeräusche
Fremdgeräusche sind Geräusche am Immissionsort, die unabhängig von dem Geräusch der zu beurteilenden Anlage oder Anlagen auftreten.
Sie sind dann als ständig vorherrschend anzusehen, wenn der Mittelungspegel des Anlagengeräusches gegebenenfalls zuzüglich der Zuschläge für Impulshaltigkeit und/oder auffällige Pegeländerungen in mehr als 95% der Nutzungszeit vom Fremdgeräusch übertroffen wird.
1.5
Seltene Ereignisse
Überschreitungen der Immissionsrichtwerte gelten als selten, wenn sie an höchstens 18 Kalendertagen eines Jahres in einer Beurteilungszeit oder mehreren Beurteilungszeiten auftreten. Dies gilt unabhängig von der Zahl der einwirkenden Sportanlagen.
1.6
Vergleich des Beurteilungspegels mit dem Immissionsrichtwert
Der durch Prognose nach Nr. 2 ermittelte Beurteilungspegel nach Nr. 1.3.5 ist direkt mit den Immissionsrichtwerten nach § 2 der Verordnung zu vergleichen.
Wird der Beurteilungspegel durch Messung nach Nr. 3 ermittelt, ist zum Vergleich mit den Immissionsrichtwerten nach § 2 der Verordnung der um 3 dB(A) verminderte Beurteilungspegel nach Nr. 1.3.5 heranzuziehen.
2.
Ermittlung der Geräuschimmission durch Prognose
2.1.
Grundlagen
Der Mittelungspegel LAm ist in Anlehnung an VDI-Richtlinie 2714 "Schallausbreitung im Freien" (Januar 1988) und Entwurf VDI-Richtlinie 2720/1 "Schallschutz durch Abschirmung im Freien" (November 1987) zu berechnen.
Für die Berechnung der Mittelungspegel werden für alle Schallquellen die mittleren Schalleistungspegel LWAm, die Einwirkzeiten , die Raumwinkelmaße, gegebenenfalls die Richtwirkungsmaße, die Koordinaten der Schallquellen und der Immissionsorte, die Lage und Abmessungen von Hindernissen und außerdem für schallabstrahlende Außenbauteile von Gebäuden die Flächen S und die bewerteten Bauschalldämm-Maße R'w benötigt.
Als Eingangsdaten für die Berechnung können Meßwerte oder Erfahrungswerte, soweit sie auf den Meßvorschriften dieses Anhangs beruhen, verwendet werden. Wenn aufgrund besonderer Vorkehrungen eine im Vergleich zu den Erfahrungswerten weitergehende dauerhafte Lärmminderung nachgewiesen ist, können die der Lärmminderung entsprechenden Korrekturwerte bei den Eingangsdaten berücksichtigt werden.
Der Mittelungspegel der Geräusche, die von den der Anlage zuzurechnenden Parkflächen ausgehen, ist zu berechnen nach den Richtlinien für den Lärmschutz an Straßen - Ausgabe 1990 - RLS-90, bekanntgemacht im Verkehrsblatt, Amtsblatt des Bundesministers für Verkehr der Bundesrepublik Deutschland (VkBl.) Nr. 7 vom 14. April 1990 unter lfd. Nr. 79. Bei der Bestimmung der Anzahl der Fahrzeugbewegungen je Stellplatz und Stunde ist, sofern keine genaueren Zahlen vorliegen, von bei vergleichbaren Anlagen gewonnenen Erfahrungswerten auszugehen. Die Richtlinien sind zu beziehen von der Forschungsgesellschaft für Straßen- und Verkehrswesen, Alfred-Schütte-Allee 10, 5000 Köln 21.
Der Beurteilungspegel für den Verkehr auf öffentlichen Verkehrsflächen ist zu berechnen nach den Richtlinien für den Lärmschutz an Straßen - Ausgabe 1990 - RLS-90, bekanntgemacht im Verkehrsblatt, Amtsblatt des Bundesministers für Verkehr der Bundesrepublik Deutschland (VkBl.) Nr. 7 vom 14. April 1990 unter lfd. Nr. 79. Die Richtlinien sind zu beziehen von der Forschungsgesellschaft für Straßen- und Verkehrswesen, Alfred-Schütte-Allee 10, 5000 Köln 21.
2.2
Von Teilflächen der Außenhaut eines Gebäudes abgestrahlte Schalleistungen
Wenn sich Schallquellen in einem Gebäude befinden, ist jedes Außenhautelement des Gebäudes als eine Schallquelle zu betrachten. Der durch ein Außenhautelement ins Freie abgestrahlte Schalleistungspegel LWAm ist aus dem mittleren Innenpegel Lm,innen im Raum, den es nach außen abschließt, in ca. 1 m Abstand von dem Element, aus seiner Fläche S (in m2) und aus seinem bewerteten Bauschalldämm-Maß R'w nach der Gleichung
(4)
zu berechnen. Für den mittleren Innenpegel kann von Meß- oder Erfahrungswerten ausgegangen werden. Er kann für einen Raum aus dem Schalleistungspegel LWAm,innen aller Schallquellen im Raum zusammen nach der Gleichung
(5)
berechnet werden, worin T die Nachhallzeit (in s) bei mittleren Frequenzen, V das Volumen (in cbm) und A die äquivalente Absorptionsfläche des Raumes (in qm) bei mittleren Frequenzen ist.
Für Öffnungen ist das bewertete Bauschalldämm-Maß mit Null anzusetzen.
2.3
Schallausbreitungsrechnung
Die Rechnung ist für jede Schallquelle entsprechend VDI-Richtlinie 2714, Abschnitt 3 bis 7, und Entwurf VDI-Richtlinie 2720/1, Abschnitt 3, durchzuführen. Bei den frequenzabhängigen Einflüssen ist von einer Frequenz von 500 Hz auszugehen.
Werden bei der Schallausbreitungsrechnung Abschirmungen berücksichtigt, ist nach Entwurf VDI-Richtlinie 2720/1, Abschnitt 3.1, gegebenenfalls eine feinere Zerlegung in Einzelschallquellen als nach VDI-Richtlinie 2714, Abschnitte 3.3 und 3.4 erforderlich.
Reflexionen, die nicht bereits im Raumwinkelmaß enthalten sind, sind nach VDI-Richtlinie 2714, Abschnitt 7.1, durch die Annahme von Spiegelschallquellen zu berücksichtigen.
Der Mittelungspegel LAm (Sm) von einer Schallquelle an einem Immissionsort im Abstand Sm von ihrem Mittelpunkt ist nach Gleichung (6) zu berechnen:
(6).
Die Bedeutung der einzelnen Glieder in Gleichung (6) ist Tabelle 1 zu entnehmen.
Die Eigenabschirmung von Gebäuden ist in Anlehnung an VDI-Richtlinie 2714, Abschnitt 5.1, durch das Richtwirkungsmaß zu berücksichtigen. Mit DI ≤ -10 dB für die dem Immissionsort abgewandte Seite darf jedoch nur gerechnet werden, wenn sich ihr gegenüber keine reflektierenden Flächen (z.B. Wände von Gebäuden) befinden.
Das Boden- und Meteorologie- Dämpfungsmaß DBM ist nach VDI-Richtlinie 2714, Abschnitt 6.3, Gleichung (7), anzusetzen.
Die Einfügungsdämpfungsmaße De von Abschirmungen sind nach Entwurf VDI-Richtlinie 2720/1, Abschnitt 3, zu berechnen. Dabei ist in Gleichung (5) dieser Richtlinie C(tief)2 = 20 zu setzen. Der Korrekturfaktor für Witterungseinflüsse ist für alle Anlagen nach Abschnitt 3.4.3, Gleichung (7a), zu berechnen.

GrößeBedeutungFundstelle
*A L(tief)WAmmittlerer 
 Schalleistungspegel 
  *G VDI-Richtlinie 2714 */
DIRichtwirkungsmaßAbschnitt 5.1
K(tief)oRaumwinkelmaßAbschnitt 5.2, Gleichung (3) oder Tabelle 2
D(tief)sAbstandsmaßAbschnitt 6.1, Gleichung (4)
D(tief)LLuftabsorptionsmaßAbschnitt 6.2, Gleichung (5) in Verbindung mit Tabelle 3
D(tief)BMBoden- und MeteorologiedämpfungsmaßAbschnitt 6.3,
Gleichung (7) *G VDI-Richtlinie 2720/1 */
D(tief)eEinfügungsdämpfungsmaß von SchallschirmenAbschnitt 3
Tabelle 1: Bedeutung der Glieder in Gleichung (6)
2.4
Bestimmung des Mittelungspegels LAm,i sowie der Zuschläge Kl,i und KT,i in der Teilzeit Ti
Zur Bestimmung des Mittelungspegels LAm,i in der Teilzeit Ti sind die nach Gleichung (6) bestimmten Mittelungspegel aller einwirkenden Schallquellen energetisch zu addieren. Die Zuschläge Kl,i für Impulshaltigkeit und/oder auffällige Pegeländerungen und KT,i für Ton- und Informationshaltigkeit sind entsprechend Nr. 1.3.3 und Nr. 1.3.4 nach Erfahrungswerten zu bestimmen.
2.5
Berechnung der Pegel kurzzeitiger Geräuschspitzen
Wenn einzelne kurzzeitige Geräuschspitzen zu erwarten sind, ist die Berechnung nach Nr. 2.3 statt mit den mittleren Schalleistungspegeln aller Schallquellen mit den maximalen Schalleistungspegeln LWAmax der Schallquellen mit kurzzeitigen Geräuschspitzen zu wiederholen.
3.
Ermittlung der Geräuschimmission durch Messung
3.1
Meßgeräte
Bei Messungen dürfen Schallpegelmesser der Klasse 1 nach DIN IEC 651, Ausgabe Dezember 1981, oder DIN IEC 804, Ausgabe Januar 1987, verwendet werden, die zusätzlich die Anforderungen des Entwurfes DIN 45657, Ausgabe Juli 1989, erfüllen. Schallpegelmesser müssen den eichrechtlichen Vorschriften entsprechen.
3.2
Meßverfahren und Auswertung
3.2.1
Meßwertarten
Meßgröße ist der A-bewertete mit der Zeitwertung F ermittelte Schalldruckpegel LAF(t) nach DIN IEC 651, Ausgabe Dezember 1981. Der Mittelungspegel LAm wird nach DIN 45641, Ausgabe Juni 1990, aus dem zeitlichen Verlauf des Schalldruckpegels oder mit Hilfe von Schallpegelmessern nach DIN IEC 804, Ausgabe Januar 1987, gebildet.
Im Falle von Nr. 1.3.3 sind neben dem Mittelungspegel LAm die Maximalpegel LAFmax der Impulse und/oder auffälligen Pegeländerungen oder aus den im 5-s-Takt ermittelten Taktmaximalpegeln LAFT,5 nach DIN 45641, Ausgabe Juni 1990, der Wirkpegel LAFTm zu bestimmen.
Für die Beurteilung einzelner, kurzzeitiger Geräuschspitzen ist der Maximalpegel LAFmax heranzuziehen.
3.2.2
Ort und Zeit der Messungen
Es ist an den in Nr. 3.2.2.1 genannten Orten und zu den in Nr. 3.2.2.2 genannten Zeiten zu messen.
3.2.2.1
Ort der Messungen
Der Ort der Messungen ist entsprechend Nr. 1.2 zu wählen. Ergänzend gilt:
a)
Bei bebauten Flächen kann abweichend von den Bestimmungen in Nr. 1.2 Buchstabe a das Mikrofon an einem geeigneten Ersatzmeßpunkt (z.B. in einer Baulücke neben dem betroffenen Gebäude) möglichst in Höhe des am stärksten betroffenen Fensters aufgestellt werden, insbesondere wenn der Bewohner nicht informiert oder nicht gestört werden soll.
b)
Bei unbebauten Flächen ist in mindestens 3 m Höhe über dem Erdboden zu messen. Besondere Gründe bei der nach Nr. 1.2 erforderlichen Auswahl des am stärksten betroffenen Randes der Fläche (z.B. Abschattung durch Mauern, Hanglage, geplante hohe Wohngebäude) sind im Meßprotokoll anzugeben.
c)
Sind Messungen in Wohnungen durchzuführen, die mit der zu beurteilenden Anlage baulich aber nicht betrieblich verbunden sind, ist in den Räumen bei geschlossenen Türen und Fenstern und bei üblicher Raumausstattung mindestens 0,4 m von den Begrenzungsflächen entfernt zu messen. Die Messung ist an mehreren Stellen im Raum, in der Regel an den bevorzugten Aufenthaltsplätzen, durchzuführen, und die gemessenen Mittelungspegel sind entsprechend Gleichung (7) in Nr. 3.2.2.2 energetisch zu mitteln.
3.2.2.2
Zeit und Dauer der Messungen
Zeit und Dauer der Messungen haben sich an den für die zu beurteilende Anlage kennzeichnenden Nutzungen unter Berücksichtigung aller nach Nr. 1.1 zuzurechnenden Geräusche zu orientieren. Dabei sollen die bei bestimmungsgemäßer Nutzung der Anlage auftretenden Emissionen, gegebenenfalls getrennt für Teilzeiten Ti mit unterschiedlichen Emissionen, erfaßt werden.
Die Meßdauer ist nach der Regelmäßigkeit des Pegelverlaufs zu bestimmen. Bei Nutzungszyklen soll sich die Meßdauer für eine Messung mindestens über einen typischen Geräuschzyklus erstrecken.
Treten am Meßort Fremdgeräusche auf, ist grundsätzlich nur dann zu messen, wenn erwartet werden kann, daß der Mittelungspegel des Fremdgeräusches während der Meßdauer um mindestens 6 dB(A) unter dem Mittelungspegels des Anlagengeräusches liegt. Ist das Fremdgeräusch unterbrochen und ist in diesen Zeiten das Anlagengeräusch pegelbestimmend, ist in den Pausenzeiten zu messen.
Bei Abständen zwischen Quelle und Immissionsort ab 200 m sind die Messungen in der Regel bei Mitwind durchzuführen. Die Mitwindbedingung ist erfüllt, wenn der Wind von der Anlage in Richtung Meßort in einem Sektor bis zu +- 60 Grad C weht und wenn die Windgeschwindigkeit im Bereich weitgehend ungestörter Windströmungen (z.B. auf freiem Feld) in ca. 5 m Höhe etwa zwischen 1 m/s und 3 m/s liegt. Im Verlauf der Messungen ist darauf zu achten, daß die am Mikrofon auftretenden Windgeräusche die Meßergebnisse nicht beeinflussen.
Bei außergewöhnlichen Wetterbedingungen sollen keine Schallpegelmessungen vorgenommen werden. Außergewöhnliche Wetterbedingungen können beispielsweise stärkerer Regen, Schneefall, größere Windgeschwindigkeit, gefrorener oder schneebedeckter Boden sein.
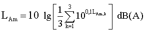
In der Regel sind an jedem Meßort drei unabhängige Messungen durchzuführen und die Mittelungspegel LAm,k aus diesen Messungen nach Gleichung (7) zu mitteln (energetische Mittelung):
(7).
Sofern aus vorliegenden Erkenntnissen bekannt ist, daß der Schwankungsbereich der Mittelungspegel der zu beurteilenden Geräuschimmissionen in der Beurteilungszeit kleiner ist als 3 dB(A), genügt eine einmalige Messung. Dies gilt auch, wenn der aus dem Meßwert für die Geräuschimmission bestimmte Beurteilungspegel um mehr als 6 dB(A) unter oder über dem geltenden Immissionsrichtwert liegt.
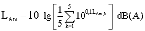
Wenn bei regulärer Nutzung der Anlage innerhalb der Beurteilungszeit der Schwankungsbereich der Mittelungspegel LAm,k aus den drei Einzelmessungen größer ist als 6 dB(A), ist zu prüfen, ob durch getrennte Erfassung von Teilzeiten der Schwankungsbereich auf weniger als 6 dB(A) verringert werden kann. In diesem Fall erfolgt die Bestimmung des Mittelungspegels für jede einzeln erfaßte Teilzeit nach Gleichung (7) aus drei Einzelmessungen. Andernfalls sind an fünf verschiedenen Meßterminen die Mittelungspegel LAm,k zu bestimmen und nach Gleichung (8) energetisch zu mitteln:
(8).
Im Falle von Nr. 1.3.3 Abs. 4 gelten Gleichung (7) und (8) für LAFTm entsprechend.
3.3
Meßprotokoll
Die Meßwerte sind in einem Protokoll festzuhalten. Das Protokoll muß eine eindeutige Bezeichnung der Meßorte (Lageplan) und die erforderlichen Angaben über Nutzungsarten und -dauern, Meßzeit und Meßdauer, Wetterlage, Geräuschquellen, Einzeltöne, Informationshaltigkeit, Impulshaltigkeit, auffällige Pegeländerungen, Fremdgeräusche und verwendete Meßgeräte oder Meßketten sowie gegebenenfalls über Maßnahmen zur Sicherstellung einer ausreichenden Meßsicherheit bei Verwendung von Meßketten enthalten.

1Maßnahmen, die in der Regel keine wesentliche Änderung im Sinne von § 5 Absatz 4 darstellen:
2

Flutlichtanlagen,
nicht überdachte Stellplätze bis insgesamt 100 m2,
nicht überdachte Lagerflächen bis 300 m2,
Einrichtung von Sport- und Spielflächen,
Werbeanlagen,
Zugänge und Zufahrten,
Anlagen zur Nutzung erneuerbarer Energien, insbesondere von Solaranlagen in, an und auf Dach- und Außenwandflächen,
Änderungen der äußeren Gebäudegestaltung,
Nutzungsänderungen durch Solaranlagen an Dach und Wänden,
Auswechseln von Belägen auf Sport- und Spielflächen,
Instandhaltungsmaßnahmen,
Sanierungs- und Modernisierungsmaßnahmen, insbesondere die Umwandlung von Tennen- oder Rasenspielflächen in Kunststoffrasenspielflächen,
Erneuerung von Ballfangzäunen, Einzäunungen, Barrieren, Kantsteinen, Zuschauerplätzen,
Erweiterung der Sanitär- und Umkleidebereiche,
Neubau von Garagen,
Umbau der Spielflächen nach dem Stand der Technik,
Umbau von Anlagen zur Erfüllung immissionsschutzrechtlicher und anderer öffentlich-rechtlicher Anforderungen,
Beregnungsanlagen,
Modifizierung der Sportanlage, insbesondere durch den Neubau von Spiel- und Klettergeräten, Trimm- und Kräftigungsgeräten, Kletterwänden oder Boulebahnen,
Rückbau von Teilen der Anlage,
Lärmschutzmaßnahmen,
Neubau von Vereinsheimen und
Neubau oder Austausch von Lautsprecheranlagen.

Zuletzt geändert durch Art. 1 V v. 8.10.2021 I 4644
Seite zuletzt aktualisiert am 20. Dezember '25